
1Department of Pharmaceutical Chemistry, Kuvempu University, Post Graduate Centre, Kadur 577548, Chikkamagalur Dist., Karnataka St. India, 2Department of Post Graduate Studies and Research in Biochemistry, Jnana Sahyadri, Kuvempu University Shankaraghatta 577451, Shivamogga Dt., Karnataka State, India
Email: satya1782005@gmail.com
Received: 07 Feb 2017 Revised and Accepted: 31 Mar 2017
ABSTRACT
Objective: Synthesis of novel 2-(1-benzofuran-2-yl)-N'-[(3Z)-2-oxo-1, 2-dihydro-3H-indol-3-ylidene] quinoline-4-carbohydrazide and its derivatives for antimicrobial and antitubercular activity.
Methods: Synthesis was carried out using the general method and the structures were confirmed by IR, 1H-NMR, [13]C-NMR and mass spectral analysis. The antibacterial activity was carried by agar well diffusion method, antifungal activity was performed by poison food technique and antitubercular activity was carried out by Microplate Alamar Blue Assay (MABA) method with the help of H37Rv. In silico absorption, distribution, metabolism, excretion, toxicity (ADMET) study of the drug, likeliness was carried out in ACD/lab-2.
Results: The results revealed that at 25 mg/ml concentration, compounds 3a and 5a showed good antibacterial activity at 3.5±0.1, 3.8±0.3, 3.6±0.2 respectively against E. coli, K. pneumonia and S. typhimurium, when compared with drug streptomycin with similar concentration. The percentage of inhibition found at 50 µg/ml concentration, compounds 2b and 6a exhibited good antifungal activity at 53±1.15, 57±1.52 against A. flavus and C. neoformans, compared with standard drug fluconazole. The increase in activity was found to be dose dependent. The analogue 2a showed good antitubercular activity at 12.5±0.5 µg/ml, compounds 2b, 3a, 4a-b, 5a-b and 6a-b exhibited significant activity at 25±0.57 µg/ml and compound 3b showed moderate activity at 50±0.57 µg/ml. The mean value of P<0.05 were considered to be statistically significant. The absorption, distribution, metabolism, excretion and toxicity studies of the entitled molecules were analyzed and found to be in acceptable range.
Conclusion: The study reveals that compounds containing benzofuran coupled nitrogen heterocycles are essential for activity as they possess excellent drug-like characteristics, suggesting to be potentially best inhibitor of H37Rv strain. The in silico ADME analysis also revealed that all the compounds were in acceptable range to obey the pharmacokinetic parameters.
Keywords: Benzofuran, Quinoline, Isatin, Antimicrobial, Antitubercular, ADMET and MABA method
© 2017 The Authors. Published by Innovare Academic Sciences Pvt Ltd. This is an open access article under the CC BY license (http://creativecommons.org/licenses/by/4.0/)
DOI: http://dx.doi.org/10.22159/ijpps.2017v9i5.17564
INTRODUCTION
Tuberculosis (TB), an airborne infectious disease caused predominantly by Mycobacterium tuberculosis (Mtb), is a global health problem and a leading cause of death among adults in the developing world. According to the World Health Organization (WHO), one-third of the world's population is infected with M. tuberculosis (Mtb) [1]. The number of new cases arising each year is increasing globally, posting a continued health and financial burden in various parts of the world, particularly Asia and Africa [2]. When coupled with the emergence of multidrug-resistant strains of M. tuberculosis (MDR-TB)/the scale of the problem becomes clear, as it will inevitably become even more difficult to treat TB [3]. This has spurred new efforts to find new anti-tuberculosis drug candidates with novel modes of action, develop pipelines for drug discovery and try to find new regimens that can considerably shorten the duration of effective therapy which would improve patient compliance and slow down the emergence of drug resistant strains [4-9]. Benzofuran is widespread interest in the field of synthetic chemistry and natural products has attracted due to their biological activities and their potential applications as pharmacological agents. Several benzofuran ring systems bearing various substituents at the C-2 position are widely distributed in nature [10-12].
The quinoline nucleus occurs in numerous natural compounds (cinchona alkaloids) and pharmacologically active substances displaying a wide range of biological activity [13]. The biological activity of quinoline compounds has been found to possess antibacterial, antifungal antitubercular, antiasthmatic, anti-inflammatory and antihypertensive properties. In addition to the medicinal applications, quinolines have been employed in the study of bioorganic and bioorganometallic processes [14].
Schiff bases are characterized by the–N=CH–(imine) group, which is an important in elucidating the mechanism of transamination and racemization reactions in biological systems [15]. Due to the great flexibility and varied structural aspects, a wide range of Schiff bases have been synthesized from a variety of compounds such as aminothiazole, 2-hydroxy-1-napthalaniline, amino sugars, aromatic aldehydes, ketones, isatin, a triazole ring, thiosemicarbazides, amino acids and pyrazolone [16-18] etc. Antibacterial, antifungal, antitubercular, antitumor and anticancer activities of some Schiff bases have been reported, and they are active against a wide range of organisms [19]. Some Schiff bases bearing aryl groups or heterocyclic residues possessing excellent biological activities have attracted the attention of many researchers in recent years [20]. The Schiff bases formed from aromatic aldehydes, ketones and their derivatives are quite stable. Many Schiff bases are known to be medicinally important and are used to design medicinal compounds [21].
Recognizing these facts and in continuation to our research activities towards the development of anti-infective agents [22-24]. Multi-component reactions (MCRs) have been used to produce the large-scale production of drug candidates. The MCRs provides medicinal chemists with a powerful tool to create novel chemical diversity, matching the space of biological targets with relevant chemistry. The discovery of novel MCRs has become an increasingly active area of research, yielding novel chemical scaffolds for drug discovery efforts [25].
In the present work, we synthesised 2-(1-benzofuran-2-yl) quinoline-4-carboxylic acid by using 2-acetyl benzofuran and isatin. The carboxylic acid functionality of 2-(1-benzofuran-2-yl) quinoline-4-carboxylic acid was further used in the synthesis of methyl ester using methyl alcohol in acidic medium. The carboxylate treated with hydrazine hydrate it yields the carbohydrazide, which upon reaction with substituted isatins generates the title compounds for screening antimicrobial and antitubercular activity. Hence, the present study was initiated with the aim of investigating the antimicrobial and antitubercular activity. The preliminary in silico ADMET studies for the potential drug likeliness of the compounds were investigated.
MATERIALS AND METHODS
Materials
Chemicals used in the synthesis of compounds were from Alfa Aesar and Spectrochem Pvt. Ltd. The solvents were of reagent grade and when necessary, they were purified and dried by the standard methods. Melting points (M. Pt.) of the synthesized compounds were determined with the help of Raga digital melting point apparatus and are uncorrected; Infrared data were recorded on a Bruker spectrophotometer using KBr pellets. 1H and 13C NMR spectra were recorded on Bruker AVANCE II 400 and 100 MHz instruments using DMSO-d6/CDCl3 as a solvent and TMS as an internal standard; chemical shifts are expressed as δ values (ppm).
The J values are expressed in Hertz (Hz). Mass spectra (MS) were recorded in JEOL GCMATE II LC–Mass spectrometer using electron impact ionisation (EI) technique. Analytical thin-layer chromatography (TLC) was performed on precoated TLC sheets of silica gel 60 F254 (Merck, Darmstadt, Germany), visualized by long and short wavelength UV lamps. Column chromatographic purifications were performed on Merck silica gel (100-200 mesh).
Procedure for synthesis of 2-(1-benzofuran-2-yl) quinoline-4-carbohydrazide 1(a-b)
The compound 1(a-b) was synthesized by earlier reported method [26]. A mixture of methyl 2-(1-benzofuran-2-yl) quinoline-4-carboxylates (0.5 mmol) and hydrazine hydrate (1 mmol) was taken into 30 ml of dry ethanol in a 50 ml round bottom flask and refluxed for 4 h. After completion of the reaction the obtained white solid mass was filtered in the hot condition and washed with cold ethanol followed by recrystalized with methyl alcohol (Yield a)-80 % and b) 72 %, m. p. a) 260-264 °C and b) 317-320 °C).
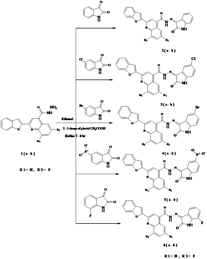
General procedure for the synthesis of (1-benzofuran-2-yl)-N'-[(3Z)-2-oxo-1, 2-dihydro-3H-indol-3-ylidene] quinoline-4-carbo-hydrazide and its derivatives 2(a-b), 3(a-b), 4(a-b), 5(a-b) and 6(a-b)
Accurately weighed equimolar amount of 2-(1-benzofuran-2-yl) quinoline-4-carbohydrazide 1(a-b) 0.050 g (1.5 mmol) and substituted isatins (1.5 mmol) into the round bottom flask containing 10 ml of ethanol, then add catalytic amount of glacial acetic acid and the reaction mixture was refluxed for about 12 to 14 h. The progress of the reaction was monitored by TLC, after completion of the reaction the solid obtained was filtered, washed with water, dried and recrystalized using ethanol.
2-(1-benzofuran-2-yl)-N'-[(3E)-2-oxo-1, 2-dihydro-3H-indol-3-ylidene] quinoline-4-carbohydrazide (2a)
Mp: 305-308 °C; Yield: 79 %; IR (KBr: νmax/cm-1): 3305 (N-H Stretch of amide and isatin), 1705 (C = O Stretch of amide and isatin); 1H-NMR (DMSO-d6, δ, ppm, 400 MHz): 13.66 (s, 1H, N-H of amide), 11.32 (s, 1H, N-H of isatin), 8.44 (s, 1H, Ar-H), 8.26-8.32 (t, 1H, J = 24 Hz, Ar-H), 8.18-8.20 (d, 1H, J = 8, 4 Hz, Ar-H), 7.92 (s, 1H, Ar-H), 7.78-7.80 (d, 1H, J = 8 Hz, Ar-H), 7.73-7.75 (d, 1H, J = 8 Hz, Ar-H), 7.66-7.68 (d, 1H, J = 8 Hz, Ar-H), 7.41-7.45 (t, 2H, J = 16 Hz, Ar-H), 7.31-7.33 (t, 1H, J = 8 Hz, Ar-H), 7.14 (s, 1H, Ar-H), 6.87-6.95 (m, 2H, Ar-H). 13C-NMR (DMSO-d6, δ, ppm, 100 MHz): 161.47 (C=O carbon), 157.15, 155.51, 154.47, 153.68, 152.92, 150.09, 149.55, 148.34, 147.87, 146.47, 141.64, 137.69, 135.01, 131.53, 128.69, 126.87, 126.08, 124.71, 122.71, 118.66, 116.50, 112.14, 109.87 and 108.51; MS: m/z = 443(M+1).
2-(1-benzofuran-2-yl)-8-fluoro-N'-[(3E)-2-oxo-1, 2-dihydro-3H-indol-3-lidene] quinoline-4-carbohydrazide (2b)
Mp: 272-275 °C; Yield: 81 %; IR (KBr: νmax/cm-1): 3320 (N-H Stretch of amide and isatin), 1708 (C = O Stretch of amide and isatin); 1H-NMR (DMSO-d6, δ, ppm, 400 MHz): 13.65 (s, 1H, N-H of amide), 11.31 (s, 1H, N-H of isatin), 8.53 (s, 1H, Ar-H), 8.01 (s, 1H, Ar-H), 7.96 (s, 1H, Ar-H), 7.78-7.80 (d, 1H, J = 8 Hz, Ar-H), 7.74-7.76 (d, 2H, J = 8 Hz, Ar-H), 7.68-7.71 (d, 2H, J = 12 Hz, Ar-H), 7.42-7.46 (t, 2H, J = 8 Hz, Ar-H), 7.41-7.45 (t, 2H, J = 16 Hz, Ar-H), 7.31-7.33 (t, 1H, J = 8 Hz, Ar-H), 7.14 (s, 16H, Ar-H), 7.31-7.35 (t, 1H, J = 16 Hz, Ar-H), 7.13 (s, 1H, Ar-H), 6.88-6.93 (d, 2H, J = 20 Hz, Ar-H). 13C-NMR (DMSO-d6, δ, ppm, 100 MHz): 168.75 (C=O carbon), 163.05, 159.03, 155.60, 151.28, 148.58, 145.68, 143.31, 140.57, 135.45, 132.87, 128.61, 127.33, 126.96, 125.37, 124.22, 122.85, 121.61, 117.96, 115.56, 112.21, 111.73, 109.74, 108.81,104.58 and 102.07.
2-(1-benzofuran-2-yl)-N'-[(3E)-5-chloro-2-oxo-1, 2-dihydro-3H-indol-3-lidene] quinoline-4-carbohydrazide (3a)
Mp: 290-293 °C; Yield: 83 %; IR (KBr: νmax/cm-1): 3285 (N-H Stretch of amide and isatin), 1716 (C = O Stretch of amide and isatin); 1H-NMR (DMSO-d6, δ, ppm, 400 MHz): 13.55 (s, 1H, N-H of amide), 11.56 (s, 1H, N-H of isatin), 8.42 (s, 1H, Ar-H), 8.19-8.21 (d, 1H, J = 8 Hz, Ar-H), 7.92 (s, 3H, Ar-H),7.71-7.80 (m, 4H, Ar-H), 7.43-7.46 (t, 2H, J = 12 Hz, Ar-H), 7.32-7.36 (t, 1H, J = 16 Hz, Ar-H), 6.94-6.96 (d, 1H, J = 16 Hz, Ar-H) 7. 13C-NMR (DMSO-d6, δ, ppm, 100 MHz): 162.87 (C=O carbon), 155.53, 154.47, 148.33, 141.99, 135.14, 131.99, 131.46, 130.04, 128.68, 127.31, 126.70, 125.56, 124.16, 123.77, 122.71, 118.54, 117.14, 113.30, 112.14, 108.00 and 105.43; MS: m/z = 467 (M+1).
2-(1-benzofuran-2-yl)-N'-[(3E)-5-chloro-2-oxo-1, 2-dihydro-3H-indol-3-ylidene]-8-fluoroquinoline-4-carbohydrazide (3b)
Mp: 282-285 °C; Yield: 83 %; IR (KBr: νmax/cm-1): 3362 (N-H Stretch of amide and isatin), 1691 (C = O Stretch of amide and isatin); 1H-NMR (DMSO-d6, δ, ppm, 400 MHz): 13.70 (s, 1H, N-H of amide), 11.65 (s, 1H, N-H of isatin), 8.48 (s, 1H, Ar-H), 8.04 (s, 1H, Ar-H), 7.91 (s, 1H, Ar-H), 7.75-7.77 (d, 1H, J = 8 Hz, Ar-H), 7.72 (s, 1H, Ar-H), 7.68-7.70 (d, 2H, J = 8 Hz, Ar-H), 7.40-7.43 (t, 2H, J = 12 Hz, Ar-H), 7.28-7.32 (t, 1H, J = 16 Hz, Ar-H),6.91 (s, 1H, Ar-H). 13C-NMR (DMSO-d6, δ, ppm, 100 MHz): 162.80 (C=O carbon), 159.03, 156.48, 155.58, 154.13, 148.49, 141.91, 138.63, 132.05, 128.60, 127.34, 126.90, 125.34, 124.19, 122.81, 121.02, 118.12, 115.64, 115.45, 113.27, 112.17, 108.68 and 106.39; MS: m/z = 486 (M+1).
2-(1-benzofuran-2-yl)-N'-[(3E)-5-bromo-2-oxo-1, 2-dihydro-3H-indol-3-idene] quinoline-4-carbohydrazide (4a)
Mp: 220-223 °C; Yield: 85 %; IR (KBr: νmax/cm-1): 3296 (N-H Stretch of amide and isatin), 1708 (C = O Stretch of amide and isatin); 1H-NMR (DMSO-d6, δ, ppm, 400 MHz): 13.35 (s, 1H, N-H of amide), 11.65 (s, 1H, N-H of isatin), 10.01 (s, 1H, Ar-H), 8.13-8.20 (m, 3H, Ar-H), 7.49 (s, 1H, Ar-H), 7.90-7.94 (m, 1H, Ar-H), 7.88 (s, 1H, Ar-H), 7.81-7.86 (m, 1H, Ar-H), 7.70-7.79 (m, 5H, Ar-H), 7.30-7.35 (m, 1H, Ar-H). 13C-NMR (DMSO-d6, δ, ppm, 100 MHz): 165.98 (C=O carbon), 155.55, 154.67, 148.36, 148.28, 142.51, 131.07, 129.77, 128.72, 128.00, 126.56, 125.98, 124.38, 124.10, 122.65, 116.72, 112.11, and 107.57.
2-(1-benzofuran-2-yl)-N'-[(3E)-5-bromo-2-oxo-1, 2-dihydro-3H-indol-3-ylidene]-8-fluoroquinoline-4-carbohydrazide (4b)
Mp: 280-283 °C; Yield: 87 %; IR (KBr: νmax/cm-1): 3278 (N-H Stretch of amide and isatin), 1685 (C = O Stretch of amide and isatin); 1H-NMR (DMSO-d6, δ, ppm, 400 MHz): 13.64 (s, 1H, N-H of amide), 11.64 (s, 1H, N-H of isatin), 8.55 (s, 1H, Ar-H), 7.98 (s, 1H, Ar-H), 7.73-7.82 (m, 1H, Ar-H), 7.45-7.48 (t, 1H, J = 12 Hz, Ar-H), 7.34-7.37 (t, 1H, J = 12 Hz, Ar-H), 7.11 (s, 1H, Ar-H). 13C-NMR (DMSO-d6, δ, ppm, 100 MHz): 163.06 (C=O carbon), 159.03, 156.48, 155.61, 154.14, 142.31, 138.67, 135.07, 133.06, 128.61, 126.96, 125.36, 124.77, 124.23, 122.86, 121.61, 120.65, 118.21, 115.54, 112.19, 108.74 and 103.97; MS: m/z = 530 (M+1).
2-(1-benzofuran-2-yl)-N'-[(3E)-5-nitro-2-oxo-1, 2-dihydro-3H-indol-3-ylidene] quinoline-4-carbohydrazide (5a)
Mp: 300-303 °C; Yield: 83 %; IR (KBr: νmax/cm-1): 3308 (N-H Stretch of amide and isatin), 1691 (C = O Stretch of amide and isatin); 1H-NMR (DMSO-d6, δ, ppm, 400 MHz): 8.40 (s, 1H, Ar-H), 8.17-8.19 (d, 1H, J = 8 Hz, Ar-H), 7.86 (s, 2H, Ar-H), 7.75-7.76(d, 1H, J = 4 Hz, Ar-H),7.67 (s, 2H, Ar-H), 7.40 (s, 1H, Ar-H), 7.30 (s, 1H, Ar-H), 7.13 (s, 1H, Ar-H); MS: m/z = 478 (M+1).
2-(1-benzofuran-2-yl)-N'-[(3E)-5-nitro-2-oxo-1, 2-dihydro-3H-indol-3-ylidene]-8-fluoroquinoline-4-carbohydrazide (5b)
Mp: 299-302 °C; Yield: 78 %; IR (KBr: νmax/cm-1): 3325 (N-H Stretch of amide and isatin), 1691 (C = O Stretch of amide and isatin); 1H-NMR (DMSO-d6, δ, ppm, 400 MHz): 13.45 (s, 1H, N-H of amide), 11.94 (s, 1H, N-H of isatin), 8.48 (s, 1H, Ar-H), 8.29 (s, 1H, Ar-H), 8.03 (s, 1H, Ar-H), 7.78 (s, 1H, Ar-H), 7.72-7.76 (d, 1H, J = 16 Hz, Ar-H), 6.94-7.10 (m, 7H, Ar-H). 13C-NMR (DMSO-d6, δ, ppm, 100 MHz): 163.21 (C=O carbon), 159.29, 159.03, 158.91, 158.54, 158.16, 156.47, 155.60, 154.09, 148.34, 143.35, 128.39, 126.93, 125.31, 124.21, 122.84, 121.52, 120.68, 118.18, 117.07, 115.67, 115.50, 114.19, 112.17, 112.04 and 108.70; MS: m/z = 496 (M+1).
2-(1-benzofuran-2-yl)-N'-[(3E)-5-fluoro-2-oxo-1, 2-dihydro-3H-indol-3-lidene] quinoline-4-carbohydrazide (6a)
Mp: 165-168 °C; Yield: 73 %; IR (KBr: νmax/cm-1): 3320 (N-H Stretch of amide and isatin), 1693 (C = O Stretch of amide and isatin); 1H-NMR (DMSO-d6, δ, ppm, 400 MHz): 13.60 (s, 1H, N-H of amide), 11.86 (s, 1H, N-H of isatin), 8.42 (s, 1H, Ar-H), 8.18-8.20 (d, 1H, J = 8Hz, Ar-H), 7.88-7.91 (m, 2H, Ar-H), 7.77-7.79 (d, 1H, J = 18 Hz, Ar-H), 7.72-7.74(d, 1H, J = 8Hz, Ar-H), 7.70 (s, 1H, Ar-H), 7.54 (s, 1H, Ar-H), 7.41-7.45 (t, 1H, J = 16Hz, Ar-H), 7.31-7.34 (t, 1H, J = 12Hz, Ar-H), 7.26 (s, 1H, Ar-H), 7.10 (s, 1H, Ar-H). 13C-NMR (DMSO-d6, δ, ppm, 100 MHz): 162.90 (C=O carbon), 155.51, 154.47, 148.60, 148.33, 146.17, 133.19, 131.48, 130.03, 128.69, 126.71, 125.56, 124.16, 123.76, 122.71, 119.08, 113.39, 112.14, and 108.00; MS: m/z = 451 (M+1).
2-(1-benzofuran-2-yl)-8-fluoro-N'-[(3E)-5-fluoro-2-oxo-1, 2-dihydro-3H-indol-3-ylidene] quinoline-4-carbohydrazide (5b)
Mp: 231-234 °C; Yield: 80 %; IR (KBr: νmax/cm-1): 3454 (N-H Stretch of amide and isatin), 1712 (C = O Stretch of amide and isatin); 1H-NMR (DMSO-d6, δ, ppm, 400 MHz): 8.49 (s, 1H, Ar-H), 8.03 (s, 2H, Ar-H), 7.19 (s, 2H, Ar-H), 7.76-7.78 (d, 1H, J = 8 Hz, Ar-H), 7.69-7.71 (d, 3H, J = 8 Hz, Ar-H), 7.51 (s, 1H, Ar-H), 7.40-7.44 (t, 1H, J = 16 Hz, Ar-H), 7.29-7.33 (t, 2H, J = 16 Hz, Ar-H), 7.14(s, 2H, Ar-H), 6.69 (s, 2H, Ar-H);MS: m/z = 469 (M+1).
Biological activities
Antibacterial activity
The antibacterial activity of the synthesized molecules were carried out by using different gram-ve bacteria such as Escherichia coli (ATCC No. 25922), Klebsiella pneumonia (ATCC No. 700603) and Salmonella typhimurium (ATCC No. 14028) (gram-negative), the bacterial strains were obtained from the Department of Microbiology, Kuvempu University, Karnataka India. The chemical stock solution of synthesized compounds was prepared at a different concentration of 25 and 50 mg/ml by using dimethyl formamide (DMF). The antibacterial activity was carried out by agar well diffusion method [27] which is a simple susceptibility screening method. Each microorganism was suspended in nutrient broth and diluted approximately colony forming unit (cfu)/ml. They were ‘flood-inoculated’ onto the surface of the nutrient agar and then dried. The 6 mm diameter wells were cut from the agar using a sterile cork borer, 0.1 ml of the test compound solution were delivered into the wells and were incubated for 24 h. at 37 °C. Antibacterial activity was evaluated by measuring the zone of inhibition against the test organism by using standard drug streptomycin.
Table 1: Physical constant of 2-(1-benzofuran-2-yl)-N'-[(3Z)-2-oxo-1, 2-dihydro-3H-indol-3-ylidene] quinoline-4-carbohydrazide and its derivatives 2(a-b), 3(a-b), 4(a-b), 5(a-b) and 6(a-b)
| S. No. | Sample code | R | R1 | M. For. | M. Wt. | M. Pt. °C |
| 1 | 2a | H | H | C26H16N4O3 | 432.43 | 305-308 |
| 2 | 2b | H | F | C26H15FN4O3 | 450.42 | 272-275 |
| 3 | 3a | H | H | C26H15ClN4O3 | 466.87 | 290-293 |
| 4 | 3b | H | F | C26H14ClFN4O3 | 484.86 | 282-285 |
| 5 | 4a | H | H | C26H15BrN4O3 | 511.32 | 220-223 |
| 6 | 4b | H | F | C26H14BrFN4O3 | 529.31 | 280-283 |
| 7 | 5a | H | H | C26H15N5O5 | 477.00 | 300-303 |
| 8 | 5b | H | F | C26H14FN5O5 | 495.41 | 299-302 |
| 9 | 6a | H | H | C26H15FN4O3 | 450.42 | 165-168 |
| 10 | 6b | H | F | C26H14F2N4O3 | 468.41 | 231-234 |
M. For.-Molecular formula, M. Wt.-Molecular weight, M. Pt.-Melting point.
Antifungal activity
The antifungal activity of synthesized compounds was performed by poisoned food techniques against Aspergillus flavus and Cryptococcus neoformans by potato dextrose agar medium. The potato dextrose agar medium was sterilized by autoclave at 121 °C (15 lb/sq. inch), for 15 min. A 30 ml of molten potato dextrose agar medium is inoculated with respective fungus (5 mm disc of the fungus grown) was transferred, aseptically into each sterilized petri plate 10 cm diameter. The petridishes were incubated at a temperature of 28±1 °C. The zone of inhibition was measured by using ‘antibiotic zone reader’. The diameter reading is noted to determine the minimum mycelial growth inhibition (MGI) [28].
Minimum mycelial growth inhibition (MGI) = [(Dc-Dt)/Dc] X 100
Where Dc and Dt are average diameters of the fungal colony of control and test samples respectively.
Antitubercular activity
The antitubercular screening of synthesized molecules was carried on M. tb H37RV strain, by Microplate Alamar Blue Assay (MABA) method [29], using nontoxic and thermally stable reagent. In comparison to fluorometric MABA and BACTEC methods, visual MABA is an inexpensive, alternative, providing identical and rapid results without the use of specialized equipment. The procedure for assay involves by taking 200 µl of sterile deionized water and was introduced into all outer perimeter wells of sterile 96 well plate to avoid evaporation of medium in test wells during incubation. The 96 well plate received 100 µl of the Middle brook 7H9 broth and serial dilutions of the compounds. The final drug concentrations tested were of 100 to 0.8 µg/ml and incubated at 37 °C for five days. After incubation, 25 µl of freshly prepared 1:1 mixture of almar blue reagent and 10 % tween-80 was added to the plate and further incubated for 24 h. After 24 h. the change in color was observed and the concentrations of the compounds inhibited were recorded. The minimum inhibitory concentration (MIC) is the lowest drug concentration that stopped a colour change from blue (no growth) to pink (growth). The drugs pyrazinamide, ciprofloxacin and streptomycin were used as a positive standard for comparison.
In silico studies
ADME-toxicity prediction
The molecular descriptors of synthesized compounds (2a-b, 3a-b, 4a-b, 5a-b and 6a-c) were predicted by pharmacokinetics parameter such as ADMET. The ADMET/SAR [30] helps to evaluate biologically active molecules and eliminate a biologically poor molecule, an active lead molecule which contains undesirable functional groups based on Lipinski rule. The statistical calculation for lead molecules includes surface area, geometry and fingerprint properties which help to understand biologically important end points. Aqueous solubility (PlogS), Blood-brain barrier penetration (QlogBB), intestinal absorption (logHIA), hepatotoxicity, Caco-2 cell permeability (QPPCaco) also helps to predict the toxicity of lead molecules [31] with intraperitoneal, oral, intravenous and subcutaneous. The in silico study enables to decide the safety and efficacy of active molecules take up the molecule for in-depth studies.
RESULTS AND DISCUSSION
Chemistry
(1-benzofuran-2-yl)-N'-[(3Z)-2-oxo-1, 2-dihydro-3H-indol-3-ylidene] quinoline-4-carbohydrazide and its derivatives 2(a-b), 3(a-b), 4(a-b), 5(a-b) and 6(a-b) were obtained by 2-(1-benzofuran-2-yl) quinoline-4-carbohydrazide 1(a-b) 0.050 g (1.5 mmol) and substituted isatin (1.5 mmol) into the round bottom flask containing 10 ml of ethanol, then add catalytic amount of glacial acetic acid as presented in scheme-1.
The physical data of the compounds were presented in table-1. The structures of compounds were confirmed by IR, 1H-NMR, 13C-NMR and mass spectral analysis. The IR spectrum of 2a exhibited absorption band at 3305.99 cm-1 for NH stretching frequency of amide and isatin. The absorption band at 1705.07 cm-1 corresponds to C=O stretching of amide and isatin. In the 1H NMR spectrum, the compound 2a showed a singlet peaks at δ 13.66 and 11.32 ppm due to NH protons of amide and isatin.
The peaks between δ 6.87-8.44 ppm corresponding to aromatic protons. Similarly, 13C-NMR spectrum of compound 2a showed a peak at 161.47 ppm corresponding to the C=O carbon of amide and isatin, the peak between δ 157.15-108.51 ppm corresponding to aromatic carbons. Further, the mass spectrum of compound 2a showed a molecular ion peak M+1 at m/z 443, which confirms its molecular weight.

Scheme 1: Synthesis of 2-(1-benzofuran-2-yl)-N'-[(3Z)-2-oxo-1, 2-dihydro-3H-indol-3-ylidene] quinoline-4-carbohydrazide and its derivatives 2(a-b), 3(a-b), 4(a-b), 5(a-b) and 6(a-b)
Antibacterial activity
The in vitro antibacterial activity of synthesised entitled compounds was determined by the agar well diffusion method. In this study, E. coli (ATCC. 25922), K. pneumonia (ATCC. 700603) and S. typhirium (ATCC. 14028) (Gram negative) were selected because of its infectious nature. The test compounds were dissolved in dimethylformamide (DMF) at concentrations of 25 and 50 mg/ml as shown in table 2.
Table 2: Antibacterial activities (zone of inhibition in cm) of 2-(1 benzofuran-2-yl)-N'-[(3Z)-2-oxo-1, 2-dihydro-3H-indol-3-ylidene] quinoline-4 carbohydrazide and its derivatives 2(a-b), 3(a-b), 4(a-b), 5(a-b) and 6(a-b)
| Samples code | E. coli | K. pneumonia | S. typhimurium | |||
| 25 mg/ml | 50 mg/ml | 25 mg/ml | 50 mg/ml | 25 mg/ml | 50 mg/ml | |
| 2a | 2.3±0.1 | 3.2±0.1 | 3.4±0.2 | 3.5±0.15 | 3.5±0.2 | 4.0±0.1 |
| 2b | 2.0±0.15 | 2.8±0.2 | 3.1±0.15 | 3.6±0.20 | 3.5±0.15 | 3.8±0.1 |
| 3a | 3.5±0.1 | 3.7±0.15 | 3.0±0.1 | 3.6±0.20 | 3.4±0.26 | 3.8±0.15 |
| 3b | 2.5±0.26 | 2.8±0.20 | 3.2±0.15 | 3.5±0.20 | 2.5±0.15 | 3.5±0.15 |
| 4a | 1.7±0.55 | 2.7±0.1 | 2.6±0.15 | 3.4±0.1 | 3.2±0.1 | 3.8±0.15 |
| 4b | 1.8±0.17 | 2.8±0.1 | 3.2±0.2 | 3.1±0.1 | 2.6±0.2 | 3.4±0.3 |
| 5a | 2.4±0.15 | 3.5±0.15 | 3.8±0.3 | 4.2±0.23 | 3.6±0.20 | 4.0±0.15 |
| 5b | 2.8±0.1 | 3.6±0.20 | 3.2±0.15 | 3.8±0.3 | 2.7±0.15 | 3.7±0.15 |
| 6a | 3.2±0.15 | 3.4±0.32 | 2.7±0.11 | 3.2±0.20 | 3.1±0.25 | 3.6±0.25 |
| 6b | 1.4±020 | 2.8±0.1 | 3.7±0.20 | 4.0±0.20 | 2.3±0.20 | 2.9±0.2 |
| Streptomycin | 2.5±0.26 | 3.6±0.3 | 3.2±0.3 | 3.8±0.15 | 3.0±0.15 | 3.5±0.20 |
Values are expressed as mean±SD (n=3). Values are significant with each other at P<0.05 (Duncan’s multiple range test).
The molecule 5b (The molecule having fluoro substitution at 8th position of quinoline ring and nitro substitution at 5th position of the isatin ring) shown potent activity against all the tested bacterial species as compared with standard drug streptomycin. The molecules such as 3a (chloro substitution at 5th position of the isatin ring) and 6a (fluoro substitution at 7th position of isatin ring) displayed persuasive activity against E. coli compared with a standard drug. The molecules such as 5a (nitro substituted isatin) and 6b (fluoro substitution at 8th position of quinoline and 7th position of isatin) exhibited promising activity against K. pneumonia as compared with standard, while the molecules such as 2a (unsubstituted Schiff base), 2b (fluoro substitution at 8th position of quinoline ring), 3a (chloro substation at 5th position of isatin ring), 4a (bromo substation at 5th position of isatin ring), 5a (nitro substation at 5th position of isatin ring) and 6a (fluoro substation at 7th position of isatin ring) exhibited potent activity against S. typhimurium as compared with standard molecule. While the remaining molecules are good to moderate activity against all the tested bacterial species.
The above results indicate that coupled heterocyclic moieties are essential for antimicrobial activity. The isatin ring substituted with electron withdrawing groups (2a, 3a, 4a, 5a-b and 6a) were the most active against Escherichia coli, Klebsiella pneumonia and Salmonella typhimurium; this might be due to the presence of electron withdrawing nitro and halogen groups on the 5th and 7th position of the isatin ring. The lipophilic nature of nitro and halogen substituted molecules enables greater penetration into the cell membrane and or might be involved in the inhibition of certain enzymes responsible in the synthesis of cell membrane composition [32]. The other derivatives were found to be less potential even though the presence of halogen substitution on isatin might be because of the bulky nature in the case of bromine substitution and varying in the position of fluorine substitution which might not have significant contribution in interacting with proteins/enzymes involved in the synthesis of cell wall/membranes.
Antifungal activity
The in vitro antifungal activity was carried out against A. flavus and C. neoformans. The test compounds were dissolved in dimethyl sulphoxide (DMSO) and the activity was determined by the poisoned food technique at concentrations of 50 and 100 µg/ml. The antifungal result is shown in table 3.
Table 3: Antifungal activities of 2-(1 benzofuran-2-yl)-N'-[(3Z)-2-oxo-1, 2-dihydro-3H-indol-3-ylidene] quinoline-4 carbohydrazide and its derivatives 2(a-b), 3(a-b), 4(a-b), 5(a-b) and 6(a-b)
| Samples code | A. flavus % inhibition | C. neoformans % inhibition | ||
| 50 µg/ml | 100 µg/ml | 50 µg/ml | 100 µg/ml | |
| 2a | 25±0.57 | 68±1.5 | 42±1.5 | 83±1.15 |
| 2b | 53±1.15 | 68±1.5 | 34±0.57 | 73±1.5 |
| 3a | 35±1.5 | 57±0.9 | 41±0.57 | 68±0.57 |
| 3b | 34±0.9 | 62±0.57 | 24±1.0 | 57±0.9 |
| 4a | 52±0.57 | 68±057 | 42±1.5 | 63±1.0 |
| 4b | 49±0.9 | 69±1.0 | 39±1.5 | 48±2.0 |
| 5a | 18±1.5 | 37±1.5 | 32±0.57 | 72±2.08 |
| 5b | 52±1.5 | 78±1.7 | 45±1.52 | 67±1.0 |
| 6a | 32±1.5 | 58±1.15 | 57±1.52 | 88±1.0 |
| 6b | 43±2.0 | 67±1.15 | 29±1.0 | 57±1.15 |
| Fluconazole | 31±2.0 | 68±0.57 | 43±1.0 | 72±1.5 |
Values are expressed as mean±SD (n=3). Values are significant with each other at P<0.05 (Duncan’s multiple range test).
The molecules such as 2b (fluoro substitution at 8th position of the quinoline ring), 4a (bromo substitution at 5th position of the isatin ring), 4b (fluoro substitution at 8th position of the quinoline ring and bromo substitution at 5th position of the isatin ring) and 5b (fluoro substitution at 8th position of the quinoline ring and nitro substitution at 5th position of the isatin ring) are shown potent activity against A. flavus as compared with standard drug fluconazole.
While the molecule such as 6a (fluoro substitution at 7th position of the isatin ring) showed promising activity against C. neoformans as compared with a standard drug. While the other molecules are shown good to moderate activity against all the fungal species.
The results indicate that heterocycles coupled with isatin Schiff base moieties are vital for antifungal activity. The isatin substituted with electron withdrawing groups (2a, 2b, 4a, 5b and 6a) is the most active against A. flavus and C. neoformans; this might be due to the presence of electron withdrawing nitro and halogen groups on the 5th and 7th position of the isatin ring and also halogens which are present on the benzofuran coupled quinoline. The presence of these groups has a greater chance of disrupting the integrity of the cell membrane which allows the loss of cell contents or by inhibition the synthesis of cell membrane precursor [32].
In vitro antitubercular activity
The title compounds were further tested for in vitro antimycobacterial screening against Mycobacterium tuberculosis H37Rv, using microplate alamar blue assay (MABA), according to the reported method [29] taking pyrazinamide, ciprofloxacin and streptomycin have standard for comparison.
The 2-(1 benzofuran-2-yl)-N'-[(3Z)-2-oxo-1, 2-dihydro-3H-indol-3-ylidene] quinoline-4 carbohydrazide and its derivatives 2(a-b), 3(a-b), 4(a-b), 5(a-b) and 6(a-b) showed antitubercular activity with MIC value ranging from 12.5 to 50 μg/ml and the results are reported in table 4.
Table 4: In vitro antitubercular activity of-(1 benzofuran-2-yl)-N'-[(3Z)-2-oxo-1, 2-dihydro-3H-indol-3-ylidene] quinoline-4 carbohydrazide and its derivatives 2(a-b), 3(a-b), 4(a-b), 5(a-b) and 6(a-b)
| S. No. | Sample code | MIC (μg/ml) |
| 1 | 2a | 12.5±0.5 |
| 2 | 2b | 25±0.57 |
| 3 | 3a | 25±0.57 |
| 4 | 3b | 50±0.57 |
| 5 | 4a | 25±0.57 |
| 6 | 4b | 25±0.57 |
| 7 | 5a | 25±0.57 |
| 8 | 5b | 25±0.57 |
| 9 | 6a | 25±0.57 |
| 10 | 6b | 25±0.57 |
| Std–I Pyrazinamide | 3.125±0.20 | |
| Std–II Ciprofloxacin | 3.125±0.20 | |
| Std–III Streptomycin | 6.250±0.12 |
Values are expressed as mean±SD (n=3). Values are significant with each other at P<0.05 (Duncan’s multiple range test).
Among the tested compounds, 2a (un-substituted Schiff base) showed activity with a MIC value 12.5 μg/ml, which showed good activity as compared with standard drugs. While the molecules such a 2b, 3a, 4a, 4b, 5a, 5b, 6a, and 6b which exhibits activity with a MIC value 25 μg/ml, and the molecule 3b display activity with a MIC value 50 μg/ml, which showed moderate activity as compared with standard drugs.
The quinoline derivatives carrying benzofuran coupled at second position, carbohydrazide moiety and isatin Schiff bases, respectively, with the hope that newly designed molecules would exhibit enhanced activity. The only molecules having functionalities on isatin imparts lipophilic behaviours and their size and shape might be the best fit for the involvement in the inhibition of enzymes such as DNA gyrase, catalase-peroxidase, malate synthase and aryl amine transferase which are directly and indirectly involved in anti-TB action.
The other derivatives having halogen substitution (Br and F) have not shown a considerable degree of activity this might be because of their size and shape, which play an important role in drug binding and their effectiveness [33-37].
Statistical analysis
All quantitative measurements were expressed as mean±SD for standard drugs. The data were analyzed using one-way analysis of variance (ANOVA) followed by Duncan’s Multiple Range Test (DMRT) by using statistical package of social science (SPSS) version 10.0 for Windows. A difference in the mean values of P<0.05 was considered to be statistically significant.
Pharmacokinetic properties
In silico ADMET results
The compounds with poor bioavailability show less efficiency against disease. To solve this problem, predicting bioavailability properties will be of great advantage for drug development. Hence, using computer-based methods like ADMET and SAR [30] tools the molecular descriptors and drug likeliness properties were studied. The pharmacokinetic properties are represented in table 5. The partition coefficient of blood/brain barrier penetration (logB/B) was computed and access with central nervous system (CNS). The CNS activity was computed on-2 (inactive) to+2 (active) which showed all the molecules are displayed within the acceptable range.
Table 5: LD50 ADME-TOX Parameters of substituted (1 benzofuran-2-yl)-N'-[(3Z)-2-oxo-1, 2-dihydro-3H-indol-3-ylidene] quinoline-4 carbohydrazide and its derivatives 2(a-b), 3(a-b), 4(a-b), 5(a-b) and 6(a-b) using ACD/I-Lab 2.0
| Ligands | Intraperitoneal | Oral | Intravenous | Subcutaneous |
| 2a | 830 (0.54) | 1300 (0.13) | 67(0.2) | 160 (0.22) |
| 2b | 970(0.46) | 1100(0.13) | 69(0.18) | 210(0.23) |
| 3a | 1200(0.41) | 16000.17 | 87(0.22) | 180(0.22) |
| 3b | 1400(0.35) | 1300(0.17) | 84(0.23) | 220(0.2) |
| 4a | 1100(0.36) | 1100(0.04) | 86(0.23) | 210(0.2) |
| 4b | 1300(0.32) | 920(0.03) | 100(0.17) | 290(0.19) |
| 5a | 1000(0.4) | 1200(0.22) | 73(0.24) | 150(0.17) |
| 5b | 1200(0.34) | 1000(0.22) | 81(0.22) | 190(0.18) |
| 6a | 1000(0.48) | 960(0.11) | 62(0.19) | 220(0.23) |
| 6b | 1200(0.38) | 530(0.24) | 62(0.17) | 250(0.21) |
| Pyrazinamide | 2000(0.83) | 540(0.28) | 170(0.56) | 1000(0.71) |
| Ciprofloxacin | 930(0.72) | 3500(0.78) | 120(0.86) | 1400(0.58) |
| Streptomycin | 310(0.76) | 880(0.53) | 110(0.67) | 400(0.52) |
| Fluconazole | 1200(0.73) | 1000(0.51) | 580(0.47) | 2700(0.23) |
Estimated LD50-mouse value in mg/kg after Intraperitoneal, Oral, Intravenous and Subcutaneous administration, The drugs with a moderate effect on reliability index (>0.5), The drugs with borderline effect on reliability index (>0.3,<0.5).
The interpretation of test compounds with the reference molecule (pyrazinamide, ciprofloxacin, streptomycin and fluconazole) show that the compounds 2(a-b), 3(a-b), 4(a-b), 5(a-b) and 6(a-b) were in good, acceptable range and hence, they can be used to make an oral formulation for absorption and to carry by transport proteins and metabolizing by the enzymes to maintain homeostatic condition. The intestinal absorption (logHIA) and Caco-2 cell permeability (PCaco-2) in between the range of-2 poor absorption and+2 more absorption show that the compounds are more permeable in the intestine and helps for good transport of drug metabolic compounds [31].
The reference range of -5 (poor) to +1 (good) and substrate inhibitor from 0 to 1 in which the reference and test compounds 2(a-b), 3(a-b), 4(a-b), 5(a-b) and 6(a-b) showed good acceptable range. While the reference compound, as well as test compounds, came within the acceptable range as represented in table 6.
Table 6: ADME and pharmacological parameters prediction for the ligands (1 benzofuran-2-yl)-N'-[(3Z)-2-oxo-1, 2-dihydro-3H-indol-3-ylidene] quinoline-4 carbohydrazide and its derivatives 2(a-b), 3(a-b), 4(a-b), 5(a-b) and 6(a-b) by using ADMET/SAR toolbox
| Ligand | PlogBBa | logHIAc | PCacb | logpGI (substrate)d |
logpGI (non-inhibitor)e |
PlogSf | logpapg |
| 2a | 0.9179 | 0.9896 | 0.5983 | 0.8586 | 0.8211 | -3.8048 | 0.8245 |
| 2b | 0.9199 | 0.9911 | 0.6063 | 0.8590 | 0.8318 | -3.9629 | 0.8685 |
| 3a | 0.9004 | 0.9911 | 0.5972 | 0.8602 | 0.7685 | -4.2350 | 0.9477 |
| 3b | 0.9199 | 0.9957 | 0.6008 | 0.8571 | 0.8235 | -4.1361 | 0.8988 |
| 4a | 0.8970 | 0.9873 | 0.6056 | 0.8578 | 0.8300 | -4.1580 | 0.8942 |
| 4b | 0.9164 | 0.9939 | 0.6079 | 0.8548 | 0.8442 | -4.0418 | 0.8508 |
| 5a | 0.7529 | 0.8685 | 0.5692 | 0.8452 | 0.9139 | -3.5226 | 0.7256 |
| 5b | 0.7550 | 0.8885 | 0.5830 | 0.8403 | 0.8931 | -3.7414 | 0.7363 |
| 6a | 0.9199 | 0.9911 | 0.6063 | 0.8590 | 0.8318 | -3.9629 | 0.8685 |
| 6b | 0.9199 | 0.9911 | 0.6063 | 0.8590 | 0.8318 | -3.9629 | 0.8685 |
| Pyrazinamide | 0.9745 | 0.7222 | 0.9813 | 0.8760 | 0.9731 | -0.8476 | 1.3021 |
| Ciprofloxacin | 0.9655 | 0.8956 | 0.9795 | 0.9116 | 0.9231 | -3.4638 | 0.8090 |
| Streptomycin | 0.9712 | 0.6968 | 0.8824 | 0.8177 | 0.9230 | -2.0122 | -0.5128 |
| Fluconazole | 0.9382 | 0.9894 | 0.8867 | 0.6008 | 0.8782 | -1.8626 | 1.3598 |
aPredicted blood/brain barrier partition coefficient (1-high penetration, 2-medium penetration and 3-Low penetration). bPredicted Caco-2 cell permeability in nm/s (acceptable range: -1 is poor, 1is great). cPredicted Human intestinal absorption in nm/s (acceptable range: 0 poor,>1 great). dPredicted P-glycoprotein substrate in nm/s (acceptable range of-5 is poor, 1 is great). ePredicted P-glycoprotein inhibitor in nm/s (accepted range: 0 to 1), fPredicted aqueous solubility, (Concern value is 0-2 highly soluble). gPredicted probability of Caco-2 cell permeability in cm/s (Concern value is-1 to 1).
CONCLUSION
A simple and effective approach was described for the synthesis of (1 benzofuran-2-yl)-N'-[(3Z)-2-oxo-1, 2-dihydro-3H-indol-3-ylidene] quinolone-4 carbohydrazide and its derivatives 2(a-b), 3(a-b), 4(a-b), 5(a-b) and 6(a-b) in good yield. Analogues were made to predict ADMET/SAR in silico, the synthesized molecules are in the acceptable range were further screened for antimicrobial and antitubercular activity. The present work indicates that synthesized molecules were found to possess good antitubercular and potent antimicrobial activity. The above results indicate that the core moiety benzofuran, quinoline and isatin are essential for antimicrobial and antitubercular activity. The fluoro substitution at 8th position of the quinoline ring and nitro, bromo, fluoro substituted on isatin ring is essential for the activity. The results provide useful information for operating as a positive reinforcement of the tendency to use antimicrobial and antitubercular properties as a guideline of the rational design of this class of compounds.
Dr. N. D. Satyanarayan is the mentor involved in designing and in the generation of new benzofuran quinoline Schiff base analogues, he is the supervisor of the overall work. Mr. S. Santoshkumar was mainly involved in synthesis/characterization of entitled molecules, Mr. Anantacharya R. carried out in silico ADMET studies and their interpretation and Mr. Sameer P. Was instrumental in carrying out in vitro antimicrobial results.
ACKNOWLEDGEMENT
The authors are thankful to Kuvempu University, for providing necessary facilities to carry out the present work and the authors are also thankful to Dr. K. G. Bhat, Department of Microbiology and Molecular Biology, Maratha Mandal's Nathajirao G. Halgekar Institute of Dental Sciences and Research Centre, Belagavi, Karnataka, India for providing antitubercular data.
CONFLICT OF INTERESTS
The authors declare that there is no conflict of interest.
REFERENCES
How to cite this article