Int J Pharm Pharm Sci, Vol 6, Issue 7, 572-575Original Article

SYNTHESIS, CHARACTERIZATION AND IN VITRO MICROBIAL EVALUATION OF REGIOISOMERS OF ALLYL PHENYL ETHERS DERIVED 1, 2, 4-TRIAZOLES

KUMARASWAMY B, RANJITH KUMAR T, NARSIMHA S, VASUDEVA REDDY N*

Department of Chemistry, Kakatiya University, Warangal- 506009 India
Email: vasujac3@gmail.com

Received: 27 May 2014 Revised and Accepted: 09 Jul 2014


ABSTRACT

Objective: Synthesis and antimicrobial evaluation of regioisomers of allyl phenyl ethers derived 1, 2, 4-triazoles.

Methods: A series of new 1,2,4-triazole derivatives of allyl phenyl ethers were synthesized by reacting a mixture of regio isomers 1-(3-bromo-2-methoxypropoxy)-arene and 1-(2-bromo-3-methoxypropoxy)-arene with 1,2,4-triazole in presence of K2CO3 and DMF at 80oC in good yields. Allyl phenyl ethers 1(a-f) were synthesized by refluxing the substituted phenols with allyl bromide in the presence of K2CO3 and acetone in excellent yields. The newly synthesized compounds were characterized by IR, 1HNMR, Mass spectral studies and elemental analysis. These compounds were also screened for their In-vitro antibacterial and antifungal activities.

Results: Allyl phenyl ethers derived 1,2,4-triazol derivatives were synthesized in good yields.

Conclusion: Preliminary results revealed that some of the synthesized compounds were showed promising antibacterial and antifungal activity.

Keywords: 1, 2, 4-triazole, Antibacterial activity and Antifungal activity.


INTRODUCTION

Nowadays research is concentrated towards the introduction of new and safe therapeutic agents of clinical importance. The heterocyclic compounds are enjoying their importance as being the center of activity. The nitrogen containing heterocyclic compounds were found in abundance in most of the medicinal compounds. The presence of three nitrogen hetero-atoms in five membered ring systems defines an interesting class of compounds, the triazoles. 1,2,4-Triazole derivatives are known to exhibit a wide range of biological activities, such as antibacterial [1–4], antifungal [4–5], analgesic [6], anticancer [7-8], antiviral [9], antitubercular [10-11], anti-inflammatory [12], anticonvulsant [13-14], antidepressant [15] and central nervous system (CNS) [16]. Therefore, the synthesis of some new 1,2,4-triazole derivatives attracts much interest in heterocyclic chemistry. Keeping in view of the above facts and our search on biologically potent molecules, we herein report the synthesis of some new allyl phenyl ethers derived 1,2,4-triazoles and their microbial activity.

MATERIALS AND METHODS

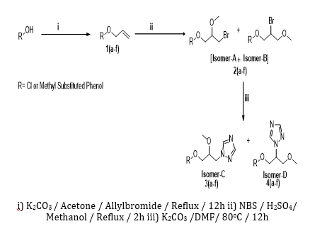
The chemicals/reagents used were purchased from sigma-aldrich chemicals (India) and Merck Chemicals (India). Reactions were monitored by pre-coated TLC (silica gel GF 254 [E.Merck]) plates. The IR spectra were recorded by using Perkin Elmer FTIR spectrometer using a thin film on KBr pellets and frequencies were expressed in cm-1. The 1HNMR spectra were recorded on Brucker 300 and 400MHz spectrometer using TMS as internal standard. The Chemical shifts values were reported in ppm and given in δ units. The Mass spectra were recorded by the EI process. The elemental analysis were performed on Perkin Elmer CHNS/O analyzer 2400. The synthetic route for 1, 2, 4-triazole derivatives of allyl aryl ethers was depicted in scheme 1.The substituted Phenols were used as starting materials. The reaction of substituted phenols with allyl bromide in the presence of K2CO3 and acetone yielded O-allyl ethers 1(a-f) in excellent yields [17-20]. The reaction of allyl aryl ethers 1(a-f) with N-Bromosuccinimide and a catalytic amount of H2SO4 in methanol at reflux temperature yielded a mixture of regioisomers (Markovnikov’s –anti Markovnikov’s products) [21-22]. Though Markovnikov’s rule predicts the major formation of isomer-A, the formation of isomer-B must be allowed due to the steric hindrance of Phenolic group. The separation of regioisomers was not achieved at this stage. The mixture of regioisomers were carried to further reaction with 1,2,4-triazole in presence of K2CO3 and DMF to afford 1-[3-(Aryloxy)-2-methoxypropyl]-1H-1,2,4-triazole and 1-(1-(Aryloxy)-3-methoxypropan-2-yl)-1H-1,2,4-triazole [23-25]. The positional isomers of 1,2,4-triazole derivatives were separated by NP-HPLC method using a gradient mixture of n-hexane and isopropanol as eluent.

General procedure for O-allylation

To a suspension of substituted phenols (1.0 equiv) and K2CO3 (2.5 equiv) in acetone (10 mL) was added allylbromide (1.05 equiv) and refluxed for 12h. After completion of the reaction, the suspension was filtered. The solvent was evaporated to dryness, quenched with water (10 mL) and extracted with ethyl acetate (3X10 mL). The combined organic layer thus obtained was washed with brine, dried over anhydrous Na2SO4 and evaporated in reduced pressure to afford the crude. The crude was purified by column chromatography on silica gel (60-120 mesh) using (10-15%) ethyl acetate-hexane mixture as eluent to afford the pure products 1(a-f). The spectral data of O-allyl ethers 1(a-f) were matched with literature values [18].

General procedure for synthesis of 1-(3-bromo-2-methoxy propoxy)-arene and 1-(2-bromo-3-methoxypropoxy)-arene 2(a-f)

To a stirred solution of 1(a-f) (5.93 mmol) in methanol (10 mL) was added N-Bromosuccinamide (5.93 mmol) followed by catalytic amount of H2SO4 at 00C. Then reaction mass was refluxed for 2h. The reaction was monitored by TLC. Then, the solvent was evaporated under reduced pressure to afford crude oil. The crude was diluted with ice cold water (20 mL) and extracted with ethyl acetate (3X20 mL). The combined extracts were washed with saturated NaHCO3 solution, brine, dried over Na2SO4 and evaporated under reduced pressure to afford a mixture of positional isomers 2(a-f) as oils in good yields. Since these two regioisomers are not separable by Column Chromatography, the crude was used in the next step without further purification.

General procedure for synthesis of 1-[3-(aryloxy)-2-methoxy propyl]-1H-1,2,4-triazole 3(a-f) and 1-[1-(aryloxy)-3-methoxy propan-2-yl]-1H-1,2,4-triazole 4(a-f)

To a stirred solution of 2(a-f) (1.78 mmol) in DMF (5 mL), was added 1,2,4-triazole (1.78 mmol) and K2CO3 (3.57 mmol). The reaction was stirred at 80oC for 12 h. The reaction was monitored by TLC. Then, the reaction mixture was diluted with ice cold water (10 mL) and extracted with ethyl acetate (3X10 mL). The combined extracts were washed with brine, dried over anhydrous Na2SO4 and concentrated under reduced pressure to afford a mixture of regioisomers (Isomer-C and Isomer-D). The regioisomers were separated by NP-Preparative HPLC method using a gradient mixture of (20-25%) 2-propanol in n-hexane as an eluent.

Scheme 1: Synthetic route for allyl phenyl ethers derived 1, 2, 4-triazole derivatives 3(a-f) and 4(a-f).

Spectral data

2,4-dichlorophenyl prop-2-en-1-yl ether, 1a [18]: Yield:62%; Yellow oil: BP: 116-118/8 (OC/Torr): 1H NMR (CDCl3, 300MHz): δ 7.4 (s, 1H), 7.20-7.18 (m, 1H), 6.9-6.8 (m, 1H), 6.2-6.1 (m, 1H), 5.5-5.4 (m, 1H), δ 5.3-5.2 (m, 1H), 4.6-4.5 (m, 2H). EI-MS (m/z): 203 (M+H+)

3,4-dichlorophenyl prop-2-en-1-yl ether, 1b [18]: Yield:75%; Yellow oil: BP: 123-124/10 (OC/Torr): 1H NMR (CDCl3, 300MHz): δ 7.35-7.30 (m, 1H), 7.05 (s, 1H), 6.8-6.75 (m, 1H), 6.05-5.95 (m, 1H), 5.42-5.38 (m, 1H), 5.31-5.29 (m, 1H), 4.51-4.50 (m, 2H); EI-MS (m/z): 203 (M+H+)

2,6-dichlorophenyl prop-2-en-1-yl ether, 1c [18]: Yield: 78%; Oil: BP: 123-124/18 (OC/Torr): 1H NMR (CDCl3, 300MHz): δ 7.4-7.3 (m, 2H), 7.1-6.98 (m, 1H), 6.2-6.1 (m, 1H), 5.5-5.4 (m, 1H), 5.3-5.25 (m, 1H), 4.60-4.58 (m, 2H); EI-MS (m/z): 203 (M+H+)

3-chlorophenyl prop-2-en-1-yl ether, 1d [18-19]: Yield: 66%; Oil: BP: 98-99/11 (OC/Torr): 1H NMR (CDCl3, 300MHz): δ 7.3-7.2 (m, 1H), 7.0-6.98 (m, 1H), 6.9 (s, 1H), 6.81-6.79 (m, 1H), 6.2-6.1 (m, 1H), 5.5-5.4 (m, 1H), 5.3-5.25 (m, 1H), 4.4-4.38 (d, 2H); EI-MS (m/z): 169 (M+H+)

4-chlorophenyl prop-2-en-1-yl ether, 1e [18]: Yield: 70%; Oil; BP: 97-98/10 (OC/Torr): 1H NMR (CDCl3, 300MHz): δ 7.3-7.2 (m, 2H), 6.9-6.8 (m, 2H), 6.1-5.98 (m, 1H), 5.42-5.25 (m, 2H), 4.57-4.50 (m, 2H); EI-MS (m/z): 169 (M+H+)

3,5-dimethylphenyl prop-2-en-1-yl ether, 1f [18]: Yield: 70%; Oil; BP: 98-99/9(OC/Torr): 1H NMR (CDCl3, 300MHz): δ 6.6 (s, 1H), 6.59 (s, 2H), 6.18-6.0 (m, 1H), 5.41-5.38 (m, 1H), 5.3-5.2 (m, 1H), 4.57-4.50 (m, 2H), 2.3 (s, 6H); EI-MS (m/z): 163 (M+H+)

1-(3-bromo -2-methoxypropoxy)-2,4-dichlorobenzene and 1-(2-bromo-3-methoxypropoxy)-2,4-dichlorobenzene, 2a: Oil; Yield 76%; 1H NMR (CDCl3, 300MHz): δ 7.39 (s, 1H), 7.20-7.19 (m, 1H), 6.91-6.85 (m, 1H), 4.39-4.22 (m, 2H), 4.2-4.1(m, 1H), 3.9-3.8 (m, 2H), 3.7-3.6 (m,1H), 3.55 (s, 1H), 3.43( s, 2H); EI-MS (m/z): 313 (M+H+)

4-(3-bromo-2-methoxypropoxy)-1,2-dichlorobenzene and 4-(2-bromo-3-methoxypropoxy)-1,2-dichlorobenzene, 2b: Oil; Yield 73%; 1H NMR (CDCl3, 300MHz): δ 7.36-7.30 (m, 1H), 7.1(s, 1H), 6.80-6.76 (m, 1H), 4.3-4.2 (m, 2H), 4.1-4.05 (m, 1H), 3.8-3.7 (m, 2H), 3.60-3.56 (m, 1H), 3.54 (s, 1H), 3.43 (s, 2H); EI-MS (m/z): 313 (M+H+)

2-(3-bromo-2-methoxypropoxy)-1,3-dichlorobenzene and 2-(2-bromo-3-methoxypropoxy)-1,3-dichlorobenzene, 2c: Oil; Yield 78%;1H NMR (CDCl3, 300MHz): δ 7.30-7.31(m, 2H), 7.1-7.0 (m, 1H), 4.4-4.2 (m, 2H), 4.1-4.05 (m, 1H), 3.82-3.57 (m, 6H), 3.56 (s, 1H), 3.41(s, 2H); EI-MS (m/z): 313 (M+H+)

Table 1: It Represents molecular formulas and yields of final compounds.

S. No R/(Ar-OH) Formula of Isomer-C 3(a-f) Formula of Isomer-D 4(a-f) Yield (%)
1 2,4-Cl 3a/C12H13Cl2N3O2 4a/C12H13Cl2N3O2 75
2 3,4-Cl 3b/C12H13Cl2N3O2 4b/C12H13Cl2N3O2 73
3 2,6-Cl 3c/C12H13Cl2N3O 2 4c/C12H13Cl2N3O2 80
4 3-Cl 3d/C12H14ClN3O2 4d /C12H14ClN3O2 78
5 4-Cl 3e/C12H14ClN3O2 4e/C12H14ClN3O2 85
6 3,5-CH3 3f/C14H19N3O2 4f/C14H19N3O2 82

1-(3-bromo-2-methoxypropoxy)-3-chlorobenzene and 1-(2-bromo-3-methoxypropoxy)-3-chlorobenzene, 2d: Oil; Yield 71%; 1H NMR (CDCl3, 400MHz): δ 7.30-7.20 (m, 1H), 7.0-6.9 (m, 1H), 6.9 ( s,1H), 6.80-6.78 (m, 1H), 4.4-4.3 (m, 2H), 4.2-4.1 (m, 1H), 3.9-3.8 (m, 2H), 3.7-3.6 (m, 1H), 3.58 (s, 1H), 3.41(s, 2H); EI-MS (m/z): 279 (M+H+)

1-(3-bromo-2-methoxypropoxy)-4-chlorobenzene and 1-(2-bromo-3-methoxypropoxy)-4-chlorobenzene, 2e: Oil; Yield 72%; 1H NMR (CDCl3, 300MHz): δ 7.25 (m, 2H), 6.85 (m, 2H), 4.3-4.2 (m, 2H), 4.1-4.05 (m, 1H), 3.8-3.6 (m, 3H), 3.56 (s, 1H), 3.41(s, 2H); EI-MS (m/z): 279 (M+H+)

1-(3-bromo-2-methoxypropoxy)-3,5-dimethylbenzene and 1-(2-bromo-3-methoxypropoxy) -3,5-dimethylbenzene, 2f: Oil; Yield 75%; 1H NMR (CDCl3, 400MHz): δ 6.75 (s, 3H), 4.4-4.3 (m, 2H), 4.2-4.1 (m, 1H), 3.9-3.8(m, 2H), 3.7-3.6 (m, 1H), 3.56 (s, 1H), 3.41(s, 2H), 2.3 (s, 6H); EI-MS (m/z): 273 (M+H+)

1-[3-(2,4-dichlorophenoxy)-2-methoxypropyl]-1H-1,2,4-triazole, 3a: Semisolid; FT-IR(KBr, cm-1): 3053, 2931, 1503, 1482, 1288, 1132, 1105,1012,746; 1HNMR (CDCl3, 300MHz): δ 8.4 (s, 1H), 8.15 (s, 1H), 7.4 (s, 1H), 7.22-7.18 (m, 1H), 6.86-6.82 (m, 1H), 4.62-4.56 (m, 1H), 4.5-4.44 (m, 1H), 4.1-3.98 (m, 3H), 3.43 (s, 3H); EI-MS (m/z): 302 (M+H+, 100%), 304 (63%). Anal.Cald.for C12H13Cl2N3O2: C, 47.70; H, 4.34; Cl, 23.47; N, 13.91; O, 10.59; Found: C, 47.71; H, 4.33; Cl, 23.48; N, 13.89; O, 10.58

1-[1-(2,4-dichlorophenoxy)-3-methoxypropan-2-yl]-1H-1,2,4-triazole, 4a: Semisolid, FT-IR (KBr, cm-1): 3053, 2931, 1503, 1482, 1288, 1132, 1105, 1012, 746; 1H NMR (CDCl3, 300MHz): δ 8.7 (s, 1H), 8.15 (s, 1H), 7.35(s, 1H), 7.2-7.15 (m, 1H), 6.85-6.80 (m, 1H), 5.0-4.95 (m, 1H), 4.45-4.38 (m, 2H), 3.98-3.92 (m, 2H), 3.4 (s, 3H); EI-MS (m/z): 302 (M+H+, 100%), 304 (63%); Anal.Cald.for C12H13Cl2N3O2: C, 47.70; H, 4.34; Cl, 23.47; N, 13.91; O, 10.59; Found: C, 47.71; H, 4.35; Cl, 23.46; N, 13.90; O, 10.60

1-[3-(3,4-dichlorophenoxy)-2-methoxypropyl]-1H-1,2,4-triazole, 3b: Semisolid: FT-IR (KBr, cm-1): 3053, 2931, 1503, 1482, 1288, 1132, 1105, 1012, 746; 1H NMR (CDCl3, 300MHz): δ 8.18 (s, 1H), 7.98 (s, 1H), 7.38-7.36 (m, 1H), 7.05 (s, 1H), 6.8-6.78 (m, 1H), 4.5-4.4 (m, 1H), 4.4-4.3 (m, 1H), 4.1-3.9 (m, 3H), 3.4 (s, 3H); EI-MS (m/z): 302 (M+H+, 100%), 304 (63%); Anal.Cald.for C12H13Cl2N3O2: C, 47.70; H, 4.34; Cl, 23.47; N, 13.91; O, 10.59; Found: C, 47.71; H, 4.34; Cl, 23.46; N, 13.90; O, 10.58

1-[1-(3,4-dichlorophenoxy)-3-methoxypropan-2-yl]-1H-1,2,4-triazole, 4b: Viscous gum: FT-IR (KBr, cm-1): 3053, 2931, 1503, 1482, 1288, 1132, 1105, 1012, 746; 1H NMR (CDCl3, 300MHz): δ 8.25 (s, 1H), 7.98 (s, 1H), 7.38-7.22 (m, 1H), 7.0 (s, 1H), 6.8-6.7 (m, 1H), 4.9-4.8 (m, 1H), 4.4-4.3 (m, 2H), 3.9-3.8 (m, 2H), 3.4 (s, 3H); EI-MS (m/z): 302 (M+H+, 100%), 304 (63%); Anal.Cald.for C12H13Cl2N3O2: C, 47.70; H, 4.34; Cl, 23.47; N, 13.91; O, 10.59; Found: C, 47.70; H, 4.35; Cl, 23.49; N, 13.92; O, 10.60

1-[3-(2,6-dichlorophenoxy)-2-methoxypropyl]-1H-1,2,4-triazole, 3c: Semisolid; FT-IR(KBr, cm-1): 3053, 2931, 1503, 1482, 1288, 1132, 1105, 1012, 746; 1H NMR (CDCl3, 300MHz): δ 8.21 (s, 1H), 7.98 (s, 1H), 7.38-7.1 (m, 2H), 7.10-7.05 (m, 1H), 4.70-4.61 (m, 1H), 4.6-4.5 (m, 1H), 4.3-4.2 (m, 1H), 4.1-3.9 (m, 2H), 3.4 (s, 3H); EI-MS (m/z): 302 (M+H+,100%), 304 (63%); Anal.Cald.for C12H13Cl2N3O2: C, 47.70; H, 4.34; Cl, 23.47; N, 13.91; O, 10.59; Found: C, 47.70; H, 4.33; Cl, 23.48; N, 13.92; O, 10.58.

1-[1-(2,6-dichlorophenoxy)-3-methoxypropan-2-yl]-1H-1,2,4-triazole, 4c: Gum; FT-IR(KBr, cm-1): 3053, 2931, 1503, 1482, 1288, 1132, 1105, 1013, 751; 1H NMR (CDCl3, 300MHz): δ 8.5 (s, 1H), 7.98 (s, 1H), 7.38-7.22 (m, 2H), 7.1-7.0 (m, 1H), 4.9-4.8 (m, 1H), 4.4-4.3 (m, 2H), 3.9-3.8 (m, 2H), 3.4 (s, 3H); EI-MS (m/z): 302 (M+H+,100%), 304 (63%); Anal.Cald.for C12H13Cl2N3O2: C, 47.70; H, 4.34; Cl, 23.47; N, 13.91; O, 10.59; Found: C, 47.72; H, 4.36; Cl, 23.49; N, 13.93; O, 10.62.

1-[3-(3-chlorophenoxy)-2-methoxypropyl]-1H-1,2,4-triazole, 3d: Semisolid; FT-IR (KBr, cm-1): 3051, 2930, 1504, 1488, 1282, 1133, 1106, 1012, 741; 1H NMR (CDCl3, 300MHz): δ 8.19 (s, 1H), 7.98 (s, 1H), 7.3-7.2 (m, 1H), 7.0-6.98 (m, 1H), 6.9 (s, 1H), 6.81-6.79 (m, 1H), 4.5-4.3 (m, 2H), 4.1-3.9 (m, 3H), 3.4 (s, 3H); EI-MS (m/z): 268 (M+H+, 100%), 270 (32%); Anal.Cald.for: C12H14ClN3O2: C, 53.84; H, 5.27; Cl, 13.24; N, 15.70; O, 11.95; Found; C, 53.85; H, 5.28; Cl, 13.25; N, 15.72; O, 11.96

1-[1-(3-chlorophenoxy)-3-methoxypropan-2-yl]-1H-1,2,4-triazole, 4d: Gum; FT-IR (KBr, cm-1): 3051, 2930, 1504, 1488, 1282, 1133, 1106, 1012, 741; 1H NMR (CDCl3, 300MHz): δ 8.5 (s, 1H), 7.98 (s, 1H), 7.3-7.2 (m, 1H), 7.0-6.98 (m, 1H), 6.9 (s, 1H), 6.81-6.79 (m, 1H), 4.9-4.8 (m, 1H), 4.4-4.3 (m, 2H), 3.92-3.8 (m, 2H), 3.39 (s, 3H); EI-MS (m/z): 268 (M+H+, 100%), 270 (32%); Anal.Cald.for: C12H14ClN3O2: C, 53.84; H, 5.27; Cl, 13.24; N, 15.70; O, 11.95; Found; C, 53.86; H, 5.29; Cl, 13.23; N, 15.73; O, 11.97

1-[3-(4-chlorophenoxy)-2-methoxypropyl]-1H-1,2,4-triazole, 3e: Semisolid; FT-IR (KBr, cm-1): 3051, 2930, 1504, 1488, 1282, 1133, 1106, 1012, 741; 1H NMR (CDCl3, 300MHz): δ 8.19 (s, 1H), 7.99 (s, 1H), 7.3-7.2 (m, 2H), 6.9-6.8 (m, 2H), 4.5-4.3(m, 2H), 4.1-3.9 (m, 3H), 3.39 (s, 3H); EI-MS (m/z): 268 (M+H+, 100%), 270 (32%); Anal.Cald.for: C12H14ClN3O2: C, 53.84; H, 5.27; Cl, 13.24; N, 15.70; O, 11.95; Found; C, 53.85; H, 5.28; Cl, 13.25; N, 15.72; O, 11.96

1-[1-(4-chlorophenoxy)-3-methoxypropan-2-yl]-1H-1,2,4-triazole, 4e: Gum; FT-IR (KBr, cm-1): 3051, 2930, 1504, 1488, 1282, 1133, 1106, 1012, 741; 1H NMR (CDCl3, 400MHz): δ 8.3 (s, 1H), 8.0 (s, 1H), 7.3-7.2 (m, 2H), 6.9-6.8 (m, 2H), 4.9-4.8 (m, 1H), 4.4-4.3 (m, 2H), 3.9-3.8 (m, 2H), 3.39 (s, 3H); EI-MS (m/z): 268 (M+H+, 100%), 270 (32%); Anal.Cald.for: C12H14ClN3O2: C, 53.84; H, 5.27; Cl, 13.24; N, 15.70; O, 11.95; Found; C, 53.87; H, 5.28; Cl, 13.23; N, 15.71; O, 11.96

1-[3-(3,5-dimethylphenoxy)-2-methoxypropyl]-1H-1,2,4-triazole, 3f: Semisolid; FT-IR (KBr, cm-1): 3056, 2929, 1506, 1486, 1278, 1136, 1107, 1013, 745; 1H NMR (DMSO, 300MHz): δ 8.5 (s, 1H), 7.98 (s, 1H), 6.58 (s, 3H), 4.5-4.35 (m, 2H), 4.1-4.0 (m, 1H), 4.0-3.8 (m, 2H), 3.3 (s, 3H), 2.22 (s, 6H); EI-MS (m/z): 262 (M+H+, 100%); Anal.Cald.for: C14H19N3O2; C, 64.35; H, 7.33; N, 16.08; O, 12.25; Found; C, 64.36; H, 7.35; N, 16.07; O, 12.26

1-[1-(3,5-dimethylphenoxy)-3-methoxypropan-2-yl]-1H-1,2,4-triazole, 4f: Semisolid; FT-IR (KBr, cm-1): 3055, 2930, 1504, 1488, 1282, 1133, 1106, 1012, 745; 1H NMR (DMSO, 300MHz): δ 8.3 (s, 1H), 8.0 (s, 1H), 6.78 (s, 3H), 4.9-4.8 (m, 1H), 4.4-4.3 (m, 2H), 3.9-3.8 (m, 2H), 3.3 (s, 3H), 2.22 (s, 6H); EI-MS (m/z): 262 (M+H+, 100%); Anal.Cald.for: C14H19N3O2; C, 64.35; H, 7.33; N, 16.08; O, 12.25; Found; C, 64.37; H, 7.35; N, 16.08; O, 12.28

RESULTS AND DISCUSSION

Antibacterial activity

The antibacterial activity of all the synthesized compounds were examined against different Gram‐positive (Bacillus subtilis and Staphylococcus aureus) and Gram‐negative (Escherichia coli and Salmonella typhi) organisms by measuring zone of inhibition. The antibacterial activity was performed by Agar diffusion method at the concentration level of 100μg/ml. Ciprofloxacin (A) was used as standard drug at a concentration of 100 μg/ml. Nutrient agar was used as culture media and DMSO was used as solvent control. The results of the antibacterial activity are shown in Table 2.

Antifungal activity

The antifungal activity of all the synthesized compounds were examined against Aspergillus niger and Candida albicans by measuring zone of inhibition. The antifungal activity was performed by Agar diffusion method at the concentration level of 100μg/ml. Ketoconazole (B) was used as standard drug at a concentration of 100μg/ml. Sabouraud dextrose agar was used as culture media and DMSO was used as solvent control. The results of the antifungal activity are shown in Table 2.

Table 2: Zone of inhibition (mm) data of synthesized compounds

S. No. Compound B. subtilis S. aureus E. coli S. typhi A. niger C. albicans
1 3a 13 12 14 12 15 13
2 3b 14 13 14 11 14 12
3 3c 14 13 15 12 15 13
4 3d 11 10 12 11 10 09
5 3e 12 11 10 11 10 08
6 3f 09 08 08 07 09 07
7 4a 14 13 15 12 15 14
8 4b 13 12 14 13 14 13
9 4c 14 13 15 14 15 13
10 4d 11 10 10 11 12 11
11 4e 10 11 11 12 12 11
12 4f 08 07 07 06 08 09
13 A 16 15 17 16 - -
14 B - - - - 18 16

A=Ciprofloxacin and B=Ketoconazole.

CONCLUSION

It would be seen from Table 2 that the compound 3(a-c) and 4(a-c) exhibit significant antibacterial activity against both Gram negative and Gram Positive organisms and the rest of the compounds show poor antibacterial activity against Gram negative and Gram Positive organisms. Table 2 also indicates that the significant antifungal activity is exhibited by the compounds 3(a-c) and 4(a-c) and the rest of the compounds showed no significant antifungal activity against both fungi. It clearly indicates that the compounds 3(a-c) and 4(a-c) with dichloro substitution exhibited highest microbial activity among all the rest of the compounds.

CONFLICT OF INTERESTS

Declared None

ACKNOWLEDGEMENT

The authors are thankful to Head of the Department, Kakatiya University, Warangal for providing necessary research facilities and also to the Director, IICT, for providing spectral data.

REFERENCES

  1. Patil BS, Krishnamurthy G, Bhojya Naik HS, Latthe PR, Ghate M. Synthesis, characterization and antimicrobial studies of 2-(4-methoxy-phenyl)-5-methyl-4-(2-arylsulfanyl-ethyl)-2,4-dihydro-[1,2,4] triazolo-3-ones and their corresponding sulfones. Eur J Med Chem 2010;45(8):3329-34.
  2. Bayrak H, Demirbas A, Demirbas N, Karaoglu SA. Synthesis of some new 1,2,4-triazoles starting from isonicotinic acid hydrazide and evaluation of their antimicrobial activities. Eur J Med Chem 2009;44(11):4362-6.
  3. Padmavathi V, Thriveni P, Sudhakar Reddy G, Deepti D. Synthesis and antimicrobial activity of novel sulfone-linked bis heterocycles. Eur J Med Chem 2008;43(5):917-24.
  4. Soni B, Ranawat MS, Sharma R, Bhandari A, Sharma S. Synthesis and evaluation of some new benzothiazole derivatives as potential antimicrobial agents. Eur J Med Chem 2010;45(7):2938-42.
  5. Xu J, Cao Y, Zhang J, Yu S, Zou Y, Chai X, et al. Design, synthesis and antifungal activities of novel 1,2,4-triazole derivatives. Eur J Med Chem 2011;46(7):3142-8.
  6. Tozkpran B, Kupeli E. Yesilada E and Ertan M. Preparation of 5-aryl-3-alkylthio-l,2,4-triazoles and corresponding sulfones with antiinflammatoryanalgesic activity. Bioorg Med Chem 2007;15:1808-14.
  7. Holla BS, Veerendra B, Shivananda M.K and Poojary B. Synthesis characterization and anticancer activity studies on some Mannich bases derived from 1,2,4-triazoles. Eur J Med Chem 2003;38(7-8):759-67.
  8. Duran A, Dogan HN, Rollas S. Synthesis and preliminary anticancer activity of new 1,4-dihydro-3-(3-hydroxy-2-naphthyl)-4-substituted-5H-1,2,4-triazoline-5-thiones. Farmaco (Societa chimica italiana:1989) 2002;57(7):559-64.
  9. Abdel-Aal MT, El-Sayed WA, El-Kosy SM, El-Ashry ESH. Synthesis and antiviral evaluation of novel 5-(N-Aryl-aminomethyl-1,3,4-oxadiazol-2-yl)hydrazines and their sugars, 1,2,4-triazoles, tetrazoles and pyrazolyl derivatives. Arch Pharm 2008;341(5):307-13.
  10. Kucukguzel I, Kucukguzel S. I. Rollas and M. Kiraz Some 3-thioxo alkylthio 1,2,4-triazoles with a substituted thiourea moiety as possible anti mycobacterials. Bioorg Med Chem Lett 2001;11:1703-7.
  11. Foroumadi A, Kiani Z, Soltani F. Antituberculosis agents VIII. Synthesis and in vitro antimycobacterial activity of alkyl alpha-[5-(5-nitro-2-thienyl)-1,3,4-thiadiazole-2-ylthio]acetates. Farmaco (Societa chimica italiana:1989) 2003;58(11):1073-6.
  12. Labanauskas L, Udrenaite E, Gaidelis P, Brukstus A. Synthesis of 5-(2-,3-and 4-methoxyphenyl)-4H-1,2,4-triazole-3-thiol derivatives exhibiting anti-inflammatory activity. Farmaco (Societa chimica italiana:1989) 2004;59(4):255-9.
  13. Almasirad A,Sayyed A,Tabatabai, Faizi M, Abbas K, Mehrabi N, Dalvandi A and Abbas S . Synthesis and anticonvulsant activity of new 2-substituted-5-[2-(2-fluorophenoxy)phenyl]-1,3,4-oxadiazoles and 1,2,4-triazoles. Bioorg Med Chem Lett 2004;14:6057-9.
  14. Kucukguzel SG, Kucukguzel I. Rollas S. Synthesis of some 3-(aryl alkyl thio)-4-alkyl/aryl-5-(4-amino phenyl)-, 4H-1,2,4-triazole derivatives and their anticonvulsant activity. IFarmaco 2004 ;59:893-901.
  15. Varvaresou A, Siatra-Papastaikoudi T, Dalla Tsotinis A, Tsantili-Kakoulidou A, Vamvakides A. Synthesis, lipophilicity and biological evaluation of indole-containing derivatives of 1,3,4-thiadiazole and 1,2, 4-triazole. Farmaco (Societa chimica italiana:1989) 1998;53(5):320-6.
  16. Modzelewska-Banachiewicz B, Banachiewicz J, Chodkowska A, Jagiełło-Wójtowicz E, Mazur L. Synthesis and biological activity of new derivatives of 3-(3,4-diaryl-1,2,4-triazole-5-yl)propenoic acid. Eur J Med Chem 2004;39(10):873-7.
  17. Yoshida M, Higuchi M, Shishido K. Stereoselective construction of substituted chromans by palladium-catalyzed cyclization of propargylic carbonates with 2-(2-hydroxyphenyl)acetates. Organic letters 2009;11(20):4752-5.
  18. Esko Taskinen. Thermodynamic, spectroscopic and density functional theory studies of allyl aryl and prop 1-enyl aryl ethers Part 1 Thermodynamic data of isomerization J Chem Soc PerkinTrans 2;2001:1824-34.
  19. Satyanarayana V, Prasad Rao Ch, Krupadanam G.L.D and Srimannarayana G. A. new and facile synthesis of choman-3-ols 3,4- dihydro-2H-[1]-benzopyran-3-ols. Synth Commun 1991;21: 1455-64.
  20. Fernando F. Huerta, Ortiz, Rosa, Yus, Miguel, Huerta. Intramolecular carbolithiation promoted by a DTBB-catalysed chlorine-lithium exchange. Tetrahedron 2003;59:8525-42.
  21. Gottardi-Dubosclard, Christine. Selective Side-chain Halogenoalkoxylation of Unsaturated(Meth)acrylic Esters. J Chem Research Miniprint 1997;8:1901-16.
  22. Fort, Yves, Mandelaire and Arnaud. TwoStep Synthesis of New Bifunctional Meth acrylic Monomers. Synth Commun 1998;28:583-92.
  23. Shi Y, Zhou C-H. Synthesis and evaluation of a class of new coumarin triazole derivatives as potential antimicrobial agents. Bioorg Med Chem Lett 2011;21(3):956-60.
  24. Damu,Guri L.V ,Jingsong,Wang, Qinqpeng, Zhang et al.A series of napthalimide azoles:Design,synthesis and bioactive evaluation as potential antimicrobial agents. Sci China Chem2013;56:952-69.
  25. Zhang, Yi-Yi;Zhou, Cheng-He;Zhou, Xiang-Dong;Mi, Jia-Li. Synthesis of novel flucona zoliums and their evaluation for antibacterial and antifungal activities. Eur J Med Chem 2011;46:4391-402.