
1Medicinal Chemistry Department, Theodor Bilharz Research Institute, Kornaish El-Nile, 12411 Warrak El-Hadar, Imbaba (P. O. 30), Giza, Egypt, 2Horticultural Crops Technology Department, National Research Center, Dokki, Cairo, Egypt
Email: manalayman90@yahoo.com
Received: 09 Feb 2017 Revised and Accepted: 31 Mar 2017
ABSTRACT
Objective: The objective of this study was undertaken to estimate the total phenolic contents (TPCs), in vitro antioxidant of different solvent extracts of M. oleifera leaves, oral acute toxicity and LD50 determination of the 85% methanolic extract as well as the chromatographic isolation and identification of the extract constituents.
Methods: The antioxidant activity of different solvent extracts of Moringa oleifera leaves were estimated using three antioxidant assays and the total phenolic contents (TPCs) were also evaluated using Folin-Ciocalteu’s assay. The n-BuOH extract undergoes further chromatographic isolation owing to the high antioxidant activity using 2, 2'-diphenyl-1-picrylhydrazyl radical (DPPH) method, which resulted in the isolation of seven compounds.
Results: The results showed that the TPCs values of the tested extracts were varied from 309.52 to 43.28 mg gallic acid equivalent/g dry extract. The reducing power antioxidant activities (RPAA) were 0.434, 0.402, 0.395, 0.149, 0.143 and 0.124, while the total antioxidant capacity (TAC) values were 316.43, 203.35, 181.56, 86.70, 76.62 and 50.83 mg ascorbic acid equivalent/g dry extract; for n-BuOH, EtOAc, 85% MeOH, H2O, CH2Cl2, and pet. ether extracts, respectively. The oral acute toxicity study of the 85% methanol extracts of M. oleifera and M. peregrina revealed that; their LD50 values were 3458.3 and 4125 mg/kg respectively, thus the two plants could be classified as slightly toxic in the scale of Hodge and Sterner which reflected their nutrient values as edible plants. The isolated compounds were identified on the basis of their 1H and 13C-NMR spectra as; cis-p-coumaric acid 4-O-(2'-O-β-D-apiofuranosyl)-β-D-glucopyranoside (1), chlorogenic acid (2), niazirin (3), 3,4-dihydroxy-β-phenylethoxy-O-α-L-rhamnopyranosyl-(l→2)-α-L-rhamnopyranosyl-(1→3)-4-O-caffeoyl-β-D-glucopyranoside (4), gallic acid (5), taxifolin (6), and benzyl-carbamo-thioethionate (7).
Conclusion: The M. oleifera leaves showed promising antioxidant activities and slightly toxic behavior.
Keywords: Moringa oleifera (Lam.), In vitro antioxidants, TPCs, Oral acute toxicity, Phenolic compounds
© 2017 The Authors. Published by Innovare Academic Sciences Pvt Ltd. This is an open access article under the CC BY license (http://creativecommons.org/licenses/by/4.0/)
DOI: http://dx.doi.org/10.22159/ijpps.2017v9i5.17834
Moringa oleifera Lam. (Moringaceae) is an important plant, widely spread in different regions around the world including tropical and subtropical zones [1]. M. oleifera is famous by its nutritional values and numerous medicinal benefits. Moreover, from the nutritional values point of view it was reported that the plant contains vital nutrients i.e., amino acids, some minerals, protein, vitamins, and β-carotene [1-3]. In traditional and folk medicine, all parts of the plant were used in the treatment of many diseases and health disorders [4, 5]. Furthermore, different parts of M. oleifera are reported to possess wide range of biological activities i.e., antioxidant [6-8], antitumor [9], antibacterial [8, 10], and hepatoprotective [11, 12]. From phytochemistry point of view, the previous phytochemical investigations were carried on various parts of M. oleifera revealed the isolation of different classes of secondary metabolites i.e., polysaccharide [13], flavonol glycosides [14], sterols and terpenes [15], phenolic acids [16], and flavonol aglycones [17]. Therefore, the current study was undertaken to estimate the total phenolic contents (TPCs), in vitro antioxidant of different solvent extracts of M. oleifera leaves, oral acute toxicity and LD50 determination of the 85% methanolic extract as well as the chromatographic isolation and identification of the most promising extract.
Equipments and chemicals
The NMR spectra were recorded at 500 and 125 MHz for (1H) and (13C) respectively, on a Varian Mercury, JEOL GLM spectrometers relative to TMS in DMSO-d6, δ values are reported in ppm. UV spectra of the extracts and samples were recorded, separately, in MeOH using different diagnostic UV shift reagents using a Shimadzu UV 240 spectrophotometer. Melting points were achieved using a Melt-Apparatus (SMDP3 Stuart Scientific UK). The absorbance measurements for antioxidant activity assay were recorded using the UV-Vis spectrophotometer Spectronic 601 (Milton Roy, USA). Sephadex LH-20 (Pharmacia, Uppsala, Sweden), microcrystalline cellulose (Merck, Darmstadt, Germany), polyamide 6S (Riedel-de Haën AG, Seelze, Germany), and silica gel powder (G 70-230 mesh, Merck) were used for column chromatography (CC). Whatman No. 1 sheets were used for paper chromatography.
Aluminum chloride, Ferric chloride, Ascorbic acid, Gallic acid, Quercetin and Ammonium molybdate were purchased from (merck chemical co.), 2,2'-diphenyl-1-picraylhydrazyl (DPPH) free radical and Folin–Ciocalteu’s reagent (FCR) was purchased from (Sigma-Aldrich Co.), Sugar authentic samples (Merck, Germany), all solvents and acids [Methanol, Petroleum ether, Ethyl acetate, Chloroform, n-butanol, Acetic acid, Sulphuric acid, Pyridine-d5, Aniline phthalate, and Dimethyl sulphoxide (DMSO)] were purchased from (Sigma-Aldrich Co.). This work was being done at Medicinal Chemistry Department, Theodor Bilharz Research Institute (TBRI).
Plant materials
The fresh leaves of Moringa oleifera Lam. (Moringaceae) were collected from El-Sharqya, Egypt during June 2015. The plant was kindly identified and authenticated by Prof. Dr. Wafaa M. Amer, Professor of Plant Taxonomy, Faculty of Science, Cairo University, Giza, Egypt. Voucher specimens (given number Mo 1) will be kept in the Medicinal Chemistry Department, Theodor Bilharz Research Institute (TBRI). The plant material undergoes air-drying in shade place at room temperature and then powdered by the electric mill and kept in tightly closed container in dark then, subjected to the extraction process.
Extraction, fractionation and isolation
The air-dried powdered leaves of M. oleifera L. (1.7 kg) were extracted on cold using aqueous methanol (85%). The crude 85% methanolic extract was concentrated via rotatory evaporator to afford (464 g), defatted using petroleum ether (60-80 °C), and then the residue was dissolved in distilled water and successively extracted with organic solvents including; methylene chloride, ethyl acetate, and n-butanol, to obtain petroleum ether (11 g), methylene chloride (25 g), ethyl acetate (10 g), n-butanol (146 g), and water (250 g) extracts. The n-butanol extract was submitted to column chromatography (120 × 6 cm, 300 g) packed with polyamide column as stationary phase. Elution started with MeOH/H2O gradient, then fractions of 150 ml were collected, concentrated and examined by paper chromatography using solvent systems (n-BuOH: AcOH: H2O; 4:1:5; v/v/v; upper phase; PC; S1) and AcOH: H2O (15:85; v/v; PC; S2). Four major fractions (I-IV) with phenolic nature were eluted within different polarities from the polyamide column using aqueous methanol (MeOH/H2O) as elution system (5:95; 10:90; 20:80 and 30:70 v/v), respectively for the fractions I, II, III and IV. Fraction (I) was purified on Sephadex LH-20 to give compound 1. Fraction (II) was re-chromatographed on Sephadex LH-20 to give compounds 2 and 3. Fraction (III) was undergoing further repeated purification on Sephadex LH-20 to give compounds 4 and 5. Finally, fraction (IV) was subjected to extra purification on Sephadex LH-20 to give compounds 6 and 7. The isolated compounds were identified on the basis of their 1H and 13C-NMR spectra and chemical methods.
Acid hydrolysis for compounds 1, 3 and 4
Complete acid hydrolysis for the glycoside compounds was carried out (2 mg) each was refluxed for 4 h in 10 ml of 2 N HCl. The hydrolysate aglycone was extracted with diethyl ether, and then evaporated to dryness, then was identified by paper chromatography. The sugars in the mother liquor layer were neutralised and were subjected to comparative-paper chromatography (Co-PC) with authentic samples using solvent system [n-BuOH:AcOH:H2O, 4:1:5, upper layer] by using aniline phthalate spray as the detection reagent.
Total phenolic contents (TPCS)
The total phenolic contents of different solvent extracts of M. oleifera leaves were estimated using Folin-Ciocalteu’s reagent according to the reported procedures [18].
In vitro antioxidant activity
Reducing power antioxidant activity (RPAA) assay
The reducing power antioxidant activity of the different extracts was estimated according to the reported procedure [18, 19].
Phosphomolybdenum assay
The total antioxidant capacity (TAC) was determined according to phosphomolybdenum assay [18, 20, 21].
Dot-blot and DPPH staining assay
The antioxidant by dot-blot and DPPH staining was qualitatively estimated according to reported method [18, 22].
Oral acute toxicity study and determination of median lethal dose LD50
This study was designed to assess the acute oral toxicity produced when the test material, M. oleifera and M. peregrina 85% methanol extracts, was administered by oral gavage to mice. The neat test material was administered by oral gavage at different dose levels (250, 500, 1000, 2000, 3000 and 5000 mg/kg body weight) to a total of 6 healthy mice for each concentration. Adult male albino mice weighing (25-30g) were used for the study. Animals were procured from Schistosome Biological Supply Centre (SBSC) at theodor Bilharz Research Institute (TBRI), Imbaba, Giza, Egypt. All the animals were acclimatized for a week under standard husbandry conditions. The animals were housed in polypropylene cages (45×24×15 cm), maintained under the temperature of 25±2 °C and 12 h light/12 h dark condition. The animals had free access to standard pellet diet and water ad libitum was available to the animals throughout the experimental period. The standard pellet diet contained 24% protein, 4% fat, 4.5% fibre and 2% vitamin. For determination of LD50 M. oleifera and M. peregrina methanol extracts were tested on uninfected mice to determine the threshold toxic dose. LD50 of each extract was thus determined using the method described by Wilbrandt (1952). Groups of 6 mice, weighing 20-25 g each, were used. One group was given orally the respective amount of DMSO and left as a control. Different doses expressed by mg/kg (b. wt.) of each extract were administered. The toxic symptoms and mortality rate in each group were recorded after 24 h and 14 d. LD50 of each extract was calculated according to the formula [23]:
LD50 = Dm–Σ(Zxd)/n
Where,
Dm is the minimum dose which kills all animals in the group;
Z is the mean of dead animals in two successive groups;
d is the constant factor between two successive groups;
n is the number of animals of each group; and
Σ is the sum of (Zxd).
Total phenolic contents (TPCS)
The TPCs values of the tested extracts of M. oleifera leaves were varied from 309.52 to 43.28 mg gallic acid equivalent/g dry extract, and were in the order of [n-BuOH (309.52) ˃ EtOAc (207.78) ˃ 85% MeOH (164.49) ˃ H2O (106.04) ˃ CH2Cl2 (64.93) ˃ pet. ether (43.28)] mg gallic acid equivalent/g dry extract. The n-BuOH and EtOAc extracts were found to have high TPCs, water extract showed moderate TPCs value, while CH2Cl2 and pet. ether extracts were found to have low TPCs; compared to 85% MeOH extract of M. oleifera flowers of TPCs 127.70 and 85% MeOH extract of M. peregrina leaves of TPCs 142.85 mg gallic acid equivalent/g dry extract (table 1). Reviewing the literature, revealed that the aqueous extract of fresh fruits of M. oleifera growing in India showed TPCs of 125 mg gallic acid equivalent/g dry extract [24]. Kalpna et al., (2011) reported that the different solvent extracts of M. oleifera growing in India exhibited TCPs of 1.05, 7.34, 29.94, and 16.87 mg gallic acid equivalent/g dry extract, respectively for n-hexane, chloroform, acetone and methanol extracts [25]. Moreover, the TPCs of the water extract of mature and tender leaf M. oleifera growing in India were, 45.81 and 36.02 mg gallic acid equivalent/g dry extract, respectively [26]. On the other hand, the TPCs of the 100% MeOH and water extracts of M. oleifera leaves growing in Egypt were found to be 63.53 and 37.6 mg gallic acid equivalent/g dry extract, respectively [27].
In vitro antioxidant activity
Based on the previous reports, the polyphenolic compounds as a characteristic class of plant secondary metabolites are mainly responsible for the antioxidant potential of the tested extracts due to their high abilities as free radical scavengers [28]. The synergistic effect (Co-activity) play a vital role during the estimation of antioxidant activity of plant extracts as a complex mixture containing a large number of combined compounds. These compounds may be reinforcing each other leading to raising their antioxidant potential and vice versa [20, 29, 30].
Reducing power antioxidant activity (RPAA)
In the current study, the in vitro antioxidant activity of different solvent extracts M. oleifera was evaluated via three antioxidant assays. The reducing power antioxidant activity (expressed in optical density; OD values) were in the order of [n-BuOH (0.434) ˃ EtOAc (0.402) ˃ 85% MeOH (0.395) ˃ H2O (0.149) ˃ CH2Cl2 (0.143) ˃ pet. ether (0.124)], compared to ascorbic acid as a positive control (0.915), 85% MeOH of M. oleifera flowers and 85% MeOH of M. peregrina leaves with OD values of 0.915, 0.174 and 0.384, respectively (fig. 1). The literature survey denoted that the RPAA of 100% MeOH and water extracts of M. oleifera leaves were 271.12 and 134.30 mg equivalent to ascorbic acid/g dry extract [27]. Moreover, the RPAA depends on ability of the tested samples in the reduction of the Fe3+/ferricyanide complex to Fe2+/ferricyanide complex, which can be examined by reading the absorbance (OD value) at 700 nm [18].
Table 1: Total phenolic contents (TPCs) of different solvent extracts of M. oleifera leaves, 85% MeOH extract of M. oleifera flowers and 85% MeOH extract of M. peregrina leaves
| Total phenolic (mg gallic acid equivalent/g dry extract)1±SD | Sample |
| 164.49±2.10 | 85% MeOH, M. oleifera leaves |
| 43.28±1.95 | Pet. Ether |
| 64.93±1.49 | CH2Cl2 |
| 207.78±1.54 | EtOAc |
| 309.52±1.25 | n-BuOH |
| 106.04±1.33 | H2O |
| 127.70±2.12 | 85% MeOH, M. oleifera flowers |
| 142.85±1.65 | 85% MeOH, M. peregrina leaves |
All measurement were carried out in triplicate, and values were expressed as mean±standard deviation (SD) (n=3). 1Total phenolic contents were expressed as mg gallic acid equivalent/g extract.

Fig. 1: Reducing power activity of different solvent extracts of M. oleifera leaves, 85% MeOH extract of M. oleifera flowers and 85% MeOH extract of M. peregrina leaves at concentration 200 μg/ml in comparison to ascorbic acid as positive control, the measurement were carried out in triplicate (n=3)
Total antioxidant capacity (TAC)
In this assay, the mode of action is based on the reduction of MoVI to MoV leading to a green phosphate/MoV complex can be monitored at 765 nm [20, 31]. The results in (table 2) revealed that the high TAC value was recorded with n-BuOH of 316.43 mg ascorbic acid equivalent/g dry extract, followed by 85% MeOH, EtOAc and H2O with TAC values of 203.35, 181.56 and 86.70 mg ascorbic acid equivalent/g dry extract, respectively. On the other hand, the low TAC values were recorded with CH2Cl2 and pet. either with TAC values of 76.62 and 50.83 mg ascorbic acid equivalent/g dry extract, respectively. These above mentioned TAC values were compared with those of 85% MeOH (M. oleifera flowers) and 85% MeOH (M. peregrina leaves) 98.30 and 193.25 mg ascorbic acid equivalent/g dry extract, respectively. It was reported that; the TAC values of the 100% MeOH and H2O extracts of M. oleifera leaves were 324.44 and 153.33 mg ascorbic acid equivalent/g dry extract, which in some agreement with our results [27].
Furthermore, there are many previous reports indicated the presence of a highly positive correlation between the antioxidant activities and total phenolic contents of the tested extracts/fractions [18, 32, 33].
Table 2: Total antioxidant capacity (TAC) of different solvent extracts of M. oleifera leaves, 85% MeOH extract of M. oleifera flowers and 85% MeOH extract of M. peregrina leaves
| Total antioxidant capacity (mg ascorbic acid equivalent/g dry extract)1±SD | Sample |
| 203.35±1.50 | 85% MeOH |
| 50.83±1.44 | Pet. Ether |
| 76.62±1.25 | CH2Cl2 |
| 181.56±1.15 | EtOAc |
| 316.43±1.20 | n-BuOH |
| 86.70±1.40 | H2O |
| 98.30±1.56 | 85% MeOH M. oleifera flowers |
| 193.25±1.65 | 85% MeOH M. peregrina leaves |
All measurement were carried out in triplicate, and values were expressed as mean±standard deviation (n=3), 1Total antioxidant capacity was expressed as mg ascorbic acid equivalent/g dry extract.
Dot-blot and DPPH staining antioxidant activity
The current assay depends on the ability of the antioxidant compounds to act as strong free radical scavengers in a visible model. During the reaction the strong antioxidant agent able to mask the 2, 2'-diphenyl-1-picrylhydrazyl radical (DPPH) displayed by a purple background, then followed by a formation of a wide white zone. The big zone diameter and brightness is a good indicator for the strong antioxidant activity and the tested sample in such case acts as a good free radical scavenger [34]. Accordingly, as shown in (fig. 2) the n-BuOH, 85% MeOH and EtOAc extracts of M. oleifera leaves are good free radical scavengers compared to two well-known standards quercetin and ascorbic acid. Moreover, the 85% MeOH of M. oleifera flowers and 85% MeOH of M. peregrina leaves are considered promising free radical scavengers. The obtained results are in full agreement with the previous studies were done on other plant species [18, 34-37].

Fig. 2: Dot-blot qualitative antioxidant assay of different fractions of M. oleifera leaves in comparison with 85% MeOH of M. oleifera flowers and 85% MeOH of M. peregrina leaves on silica sheet stained with DPPH• solution in methanol against quercetin and ascorbic acid as standards
Oral acute toxicity study and determination of median lethal dose LD50
General sign and behavioral analysis
The toxicological results (tables 3, 4) revealed that there is no any effect was showed for the two tested extracts on the appearance and the general behavioural pattern of mice. No toxic symptoms were observed in any animals, which lived up to 14 d after the administration of each extract at different doses (100, 250, 500, 1000 and 2000 mg/kg body weight) in animals that treated with 85% methanol extracts of M. oleifera and M. peregrina.
The behavioral patterns of animals were observed first 24 h and followed by 14 h after the administration and the animals in both vehicle-treated and M. peregrina extract-treated groups were normal and did not display significant changes in behavior, skin effects, breathing, impairment in food intake and water consumption and hair loss up to 5000 mg/kg body weight. Concerning of animal that treated with 5000 mg/kg body weight of M. oleifera 85% methanol extract some changes in the behavioural patterns of animals were observed like a decrease in impairment in food intake, weight loss and an increase in the activity. A literature survey revealed that many previous toxicological studies were carried out on different Moringa species especially M. oleifera [38-40].
The LD50 of the aqueous methanol extract of M. oleifera leaves was found to be greater than 2000 mg/kg in female wistar albino rats [41], while in the current study the LD50 of the methanolic extract was 3458.3 mg/kg in male wistar albino mice. Kasolo et al., (2011) reported that, the LD50 values of the ethanolic and aqueous extracts of M. oleifera roots growing in Uganda were 17.8 g/kg and 15.9 g/kg, respectively [42]. In another toxicological study done on the ethanolic and aqueous extracts of M. oleifera leaves growing in Uganda, the ethanolic extract showed no any toxicity while the aqueous extract showed mild toxicity in the treated animals during the oral administration [43]. Moreover, the acute oral toxicity study of the methanolic extract of M. oleifera bark revealed that; the LD50 was found to be >2000-5000 mg/kg b. wt [44].
Table 3: Lethal dose LD50 of 85% methanol extract of M. oleifera leaves
| Dose (mg/kg b. wt.) | Number of mice | Number of dead mice | Z | D | (Z)x(d) |
| 250 | 6 | 0 | 0 | 250 | 0 |
| 500 | 6 | 0 | 0 | 375 | 0 |
| 1000 | 6 | 0 | 0 | 750 | 0 |
| 2000 | 6 | 1 | 0.5 | 1500 | 750 |
| 3000 | 6 | 1 | 1 | 2500 | 2500 |
| 5000 | 6 | 2 | 1.5 | 4000 | 6000 |
LD50 = 5000-(9250/6) = 5000-1541.7 = 3458.3 mg/kg
Table 4: Lethal dose LD50 of 85% methanol extract of M. peregrina leaves
| Dose (mg/kg b. wt.) | Number of mice | Number of dead mice | Z | d | (Z)x(d) |
| 250 | 6 | 0 | 0 | 250 | 0 |
| 500 | 6 | 0 | 0 | 375 | 0 |
| 1000 | 6 | 0 | 0 | 750 | 0 |
| 2000 | 6 | 0 | 0 | 1500 | 0 |
| 3000 | 6 | 1 | 0.5 | 2500 | 1250 |
| 5000 | 6 | 1 | 1 | 4000 | 4000 |
LD50 = 5000-(5250/6) = 5000–875 = 4125 mg/kg, the two extracts under investigation could be classified as slightly toxic in the scale of Hodge and Sterner.
Identification of the isolated compounds
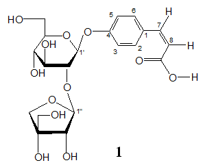
Compound 1 was obtained as pale brown powder, m. p. 233 °C, Rf; 0.86 (S2). It showed yellow colour under UV light. 1H-NMR spectral data (500 MHz, DMSO-d6) revealed to the presence of four aromatic signals characteristic for cinnamoeyl moiety at δ 7.32 (2H, brd, H-2, H-6) and 7.12 (2H, brd, H-3, H-5), two methine protons at δ 6.91 (1H, brd, H-7), 5.32 (1H, d, J=14.35 Hz, H-8), two anomeric protons for glucosyl moiety at δ 4.49 (1H, brs, H-1') and apiofuranosyl moiety at δ 4.91 (1H, brd, H-1''), finally 3.2-3.55 (m, remaining sugars-protons). 13C-NMR spectral data (125 MHz, DMSO-d6) revealed to the presence of twenty carbon resonances; including six aromatic signals characteristic for cinnamoeyl moiety appeared at δ 130.63 (C-1), 129.86 (C-2), 116.90 (C-3), 155.96 (C-4), 116.90 (C-5), and 129.86 (C-6), two methine carbons at δ 128.69 (C-7), 124.88 (C-8) and 178.02 (C-9). Six carbon signals for glucosyl moiety including anomeric carbon resonance at δ 98.82 (C-1'), 81.53 (C-2'), 82.26 (C-3'), 69.93 (C-4'), 73.24 (C-5'), 61.52 (C-6'). Five carbon signals for apiofuranosyl moiety including anomeric carbon resonance at δ 104.73 (C-1''), 72.03 (C-2''), 81.53 (C-3''), 73.24 (C-4'') and 63.48 (C-5'') (table 5). Furthermore, acid hydrolysis of the compound afforded glucose and apiose sugar in the aqueous phase which was confirmed by Co-thin layer chromatography (Co-TLC) with authentic sugar sample. All protons and carbons resonances were in agreement with the reported data [45], therefore, compound 1 was identified as cis-p-coumaric acid 4-O-(2'-O-β-D-apiofuranosyl)-β-D-glucopyranoside.
Compound 2 was obtained as a white powder, m. p. 200-202 °C, Rf; 0.77 (S2). It gave effervescence with sodium bicarbonate indicating its acidic nature; also it showed deep blue spot upon paper chromatography under long UV wavelength. Based on the Co-PC with the authentic sample, compound 2 was identified as chlorogenic acid [46].
Compound 3 was isolated as pale yellow fine crystals, m. p.170-172 °C, Rf; 0.40 (S2). It showed a characteristic spot with fluorescent violet colour under UV light. 1H-NMR spectral data (500 MHz, DMSO-d6) revealed to the presence of a set of protons including two resonances in the aromatic region (AB system); at δ 7.02 ppm (2H, d, J=7.65 Hz, H-2,6), 7.24 ppm (2H, d, J=7.65 Hz, H-3,5), and one characteristic signal for benzylic methylene group at 3.91 ppm (2H, s, H-7), anomeric proton at δ 5.33 ppm (1H, brs, H-1'), signal for methyl group of sugar moitey at 1.05 ppm (3H, d, J=5.75 Hz, CH3-Rha), and 3.58-4.76 ppm (4H, H-2',3',4',5'; rest of sugar protons). 13C-NMR spectral data (125 MHz, DMSO-d6) revealed to the presence of twelve carbon resonances were assigned to six aromatic carbons at δ 155.99 (C-1), 117.43 (C-2,6), 129.86 (C-3,5), 131.0 (C-4), and one methylen carbon at δ 22.12 (C-7), characteristic carbon signal for nitril moiety at δ 124.91 (C-8), anomeric carbon for the rahmonosyl moiety at δ 98.90 (C-1'), the remaining carbons of sugar moieties were appeared at δ 70.68 (C-2'), 70.04 (C-3'), 70.96 (C-4'), 65.80 (C-5'), and the most upfield methyl carbon at δ 18.41 ppm (C-6', CH3-Rha) (table 5). Otherwise, the complete acid hydrolysis of the compound revealed L-rhamnose in the aqueous phase which was detected by Co-thin layer chromatography (Co-TLC) with authentic sugar. All protons and carbons shifts were in full agreement with the literature [47, 48], therefore, compound 3 was identified as 4-[(α-L-rhamnosyloxy) benzyl] nitrile (niazirin).
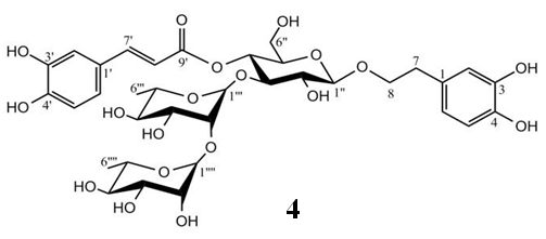
Compound 4 was obtained as pale brown fine crystals, m. p. 287 °C, Rf; 0.76 (S2). It showed a blue colour under long UV wave length. 1H-NMR spectral data (500 MHz, DMSO-d6) revealed the presence of three aromatic protons resonances corresponding to cinnamoeyl moiety [(E)-caffeoyl moiety] at δ 7.73 (1H, brs, H-2'), 7.12 (1H, brd, H-5'), 7.20 (1H, brd, H-6'), two protons at δ 7.87 (1H, d, J =15.5 Hz, H-7') and 6.27 (1H, d, J=15.5 Hz, H-8'), another set of three aromatic protons at δ 6.91 (1H, brs, H-2), 6.65 (1H, brd, H-5), and 6.51 (1H, brd, H-6), the appearance of three aliphatic protons at δ 2.79 (2H, t, H-7), 3.89 (1H, m, H-8a), 4.03 (1H, m, H-8b) is characteristic for the presence of 3,4-dihydroxy phenylethanoid moiety. In, addition, three characteristic signals for three anomeric protons at δ 4.54 (1H, brs, H-1''), 5.61 (1H, d, J=7.65, Hz, H-1'''), and 5.28 (1H, brs, H-1''''). The remaining sugars protons appeared at δ 3.50-3.79 ppm, two methyl protons at δ 0.82 (3H, d, J=5.75, Hz, Rha-6'''), and 1.26 (3H, brd, Rha-6''''). Moreover, the complete acid hydrolysis of the compound afforded D-glucose and L-rhamnose in the aqueous phase which was detected by Co-thin layer chromatography (Co-TLC) with authentic sugar markers. All protons resonances were in agreement with the reported data [49], therefore, compound 4 was identified as 3,4-dihydroxy-β-phenylethoxy-O-α-L-rhamnopyranosyl -(l→2)-α-L-rhamnopyranosyl-(1→3)-4-O-caffeoyl-β-D-glucopyranoside (phlinoside C).
Compound 5 was obtained as a white powder; m. p. 250-252 °C, Rf; 0.75 (S1) and 0.55 (S2). It gave a dark violet spot under long UV wavelength; also it showed effervescence with sodium bicarbonate indicating its acidic nature [46]. According to the Co-PC with the authentic sample, compound 5 was identified as gallic acid.
Compound 6 was obtained as a dark yellow powder; m. p. 232-234 °C, Rf; 0.03 (S2). It gave a dark yellow spot under long UV light not affected with AlCl3. Based on the Co-PC with the authentic sample, compound 6 was identified as taxifolin [46].
Compound 7 was isolated as pale brown fine needles, m. p. 60-62 °C, Rf; 0.82 (S2). It showed a blue color under long UV light. 1H-NMR spectral data (500 MHz, DMSO-d6) revealed the presence of five aromatic signals characteristic for mono-substituted phenyl ring at δ 7.48 (1H, m, H-2), 7.67 (1H, m, H-3), 7.48 (1H, m, H-4), 7.67 (1H, m, H-5), and 7.48 (1H, m, H-6). Two methylene groups appeared at δ 4.09 (2H, brd, H-7), and 3.13 (2H, brd, H-9), and characteristic signal for amino proton at δ 5.66 (1H, brs, N-H). All protons resonances were in agreement with the reported data [50], therefore, compound 7 was identified as benzyl-carbamothioethionate.







Fig. 3: Chemical structures of the compounds isolated from M. oleifera leaves
Table 5: 1H and 13C NMR spectral data (500/125 MHz-DMSO-d6) of compounds 1 and 3
| Position | Compound 1 | Compound 3 |
| δH ppm1and J in Hz2 | δC ppm | |
| 1 | - | 130.63 |
| 2 | 7.32, brd | 129.86 |
| 3 | 7.12, brd | 116.90 |
| 4 | - | 155.96 |
| 5 | 7.12, brd | 116.90 |
| 6 | 7.32, brd | 129.86 |
| 7 | 6.91, brd | 128.69 |
| 8 | 5.32, d, J=14.35 | 124.88 |
| 9 | - | 178.02 |
| 1' | 4.49, brs | 98.82 |
| 2' | - | 81.53 |
| 3' | - | 82.26 |
| 4' | - | 69.93 |
| 5' | - | 73.24 |
| 6' | - | 61.52 |
| 1'' | 4.91, brd | 104.73 |
| 2'' | 72.03 | |
| 3'' | 81.53 | |
| 4'' | 73.24 | |
| 5'' | 63.48 | |
| Rest sugar protons | 3.2-3.55, m | - |
1δ: Chemical shifts in ppm, 2J: Coupling constant in Hz.
Antioxidant activity of the isolated compounds
Phenolic antioxidants plant-source has gotten a lot of consideration now for their anticancer activities. Antioxidants organization may, therefore, help to eliminate ROS and accordingly enhance the clinical outcome. It is believed that dietary antioxidants can improve cell protection and help to prevent oxidation harm to cellular ingredients.
The isolated compounds were investigated as free radical scavengers via DPPH method. The results in (table 6) showed that; the SC50 values of the isolated compounds were 8.45, 6.25, 5.75, 4.35 and 10.65 μg/ml, respectively for the compounds 1, 2, 4, 5 and 6; compared to 8.25 μg/ml of ascorbic acid as standard, while there is no any activity was recorded with the compounds 3 and 7.
Gallic acid possesses an antioxidant capacity correlated to the three hydroxyl groups and the OH group at para-position to the carboxylic group is fundamental for its activity [51].
Orthodiphenolic functionalities likewise influenced the structure-antioxidant activity relationships of phenolic compounds, including gallic acid and chlorogenic acid; it could well guarantee a relatively total spin density delocalization [52], this leads to these compounds possess higher antioxidant activities than that within a single free-OH group on the ring; thus causes the stability for the formed radical.
Chlorogenic acid (CGA), which is cinnamic acid derivative with biological effects mostly, related to its antioxidant activity, it has a vicinal hydroxyl groups on an aromatic deposit, and it showed antioxidant activities in vitro, which is responsible to scavenge reactive oxygen species (ROS), it can immediately interact with peroxyl radical, scavenging and changing over it into a great less active material with quinonic structure [51, 53], moreover, caffeic acid has a stronger antioxidant activity than that of chlorogenic acid.
It was illustrated, that; the antioxidant property of phenolic compounds increases within the increasing in the number of hydroxyl groups connected to the aromatic ring as well as steric freedom [54, 55]. Clearly, the para-substituted hydroxyl group was observed to be highly proficient in radical scavenging activity. Also, the hydroxyl groups serve out to stabilizing the antioxidant radical formed [56-58]. Literature reported that the presence of hydroxyl group ortho-to phenol causes stabilization to the radical formed and consequently a lowering in hydrogen bond dissociation and hence showed an increase in antioxidant capacity [56]. The causes of free radical-scavenging activity powerful of taxifolin are firstly; its conjugation structures and resonance stability of its phenolic rings. Accordingly, two radicals are probable by the removal of a hydrogen atom from the corresponding orto-or meta-OH groups from taxifolin molecule, thus the hydroxyl groups at positions-C-3', 4' in flavonoids molecule are the most important strong antioxidant active place.
Table 6: Free radical scavenging antioxidant activity (DPPH) of the isolated compounds (1-7) from M. oleifera leaves
| Compound | 1DPPH SC50 [μg/ml] |
| 1 | 8.45±1.84 |
| 2 | 6.25±1.24 |
| 3 | 2N. D. |
| 4 | 5.75±1.29 |
| 5 | 4.35±1.79 |
| 6 | 10.65±0.95 |
| 7 | N. D. |
| Ascorbic acid | 8.25±1.45 |
All data are expressed as mean±standard deviation (n = 3), DPPH values are expressed as μg compound/ml (μg/ml), 1SC50: Sample concentration required for scavenging of 50% of the free radical, 2N. D.: Not detected.
Our study presented seven compounds, most of the isolated compounds were observed to be a powerful antioxidant and antiradical agents in different in vitro bioassays when contrasted with standard antioxidant compounds. This study is a good indicator for the ability to use the Egyptian M. oleifera leaves as a good source of naturally occurring antioxidant agents and also it's possible to safely use in medicinal and nutritional supplements.
All authors have none to declare
How to cite this article