*University College of Pharmaceutical Sciences, Kakatiya university, Warangal 506009
Email: arunabpharm@gmail.com
Received: 04 June 2014 Revised and Accepted: 14 Jul 2014
ABSTRACT
Objective: In continuation of the work on Benzoxazoles present work deals with the synthesis,characterization and evaluation of 2-Amino-N-(substituted alkyl) benzoxazole-5- carboxamides for anti-inflammatory and antioxidant activities.
Methods: Synthetic methodology of benzoxazoles from 4-carbomethoxynitrophenol.Evaluation of compounds for anti-inflammatory activity by carragenean induced rat paw odema method and antioxidant activity by DPPH method.
Results: Among them compounds Vc(R=ethyl), Ve(R=propyl) and Vg (R=diisopropyl) V g (R=propyl) were found to be potent compounds. Compound Vf (R=isopropyl) showed comparatively more percentage of free radical scavenging activity with IC 50 of 4.65 when compared with the standard ascorbic acid.
Conclusion: Vf is considered to be the dual anti-inflammatory and antioxidant agent.
Keywords: Benzoxazole, Synthesis, Antiinflammatory, Antioxidant.
INTRODUCTION
Targets containing the Benzoxazole moiety [1-2] are considered to be important in view of their varied pharmacological properties such as anti-inflammatory[3], COX-2inhibitory[4] analgesic[5] antifungal, antibacterial[6],antitumor[7],antihistaminic, antiparasitic, herbicidal, antiallergic, antihelmintic, anticancer[8-9],antitubercular, anticonvulsant[10], diarrhea-predominant irritable syndrome, hypoglycaemic,HIV-1 reverse transcriptase inhibitor insecticidal, elastase inhibitors,H2-antagonists,have a number of optical applications such as photoluminescents, whitening agents and dye laser. Marketed drugs containing the benzoxazole are ‘boxazomycin B47’ calcymicin, benzoxaprofen, Zoxazolamine, Chloroxazone either isolated from plants or accessed by total synthesis [11-12]. As a part of continuation of the work modifications has done on the previously synthesized molecules in order to reduce side effects and to explore benzoxazoles as anti-inflammatory and antioxidant agents.
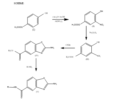
In continuation of such investigations and in a search for less toxic and pharmacologically more potential benzoxazole derivatives we have taken up the synthesis of Benzoxazole carboxamide derivatives involving 5 steps as mentioned in the Figure (1) and their physical data (Table -2)and evaluation for anti-inflammatory,antioxidant activities of some new benzoxazole derivatives [13-15].
MATERIALS AND METHODS
The synthetic methodology involves the nitration of carbomethoxy phenol and subsequent reduction with sodium dithionate and further cyclization with cyanogens bromide and reaction with substitiuted amines produces title compounds.
synthesis of 4-carbomethoxy-2-nitrophenol (ii)
To a solution of aluminium nitrate (0.1M) in acetic acid- acetic anhydride (1:1) mixture (160ml), was added an appropriate phenol (I, 0.1M) in small portions, while cooling and shaking occasionally. The reaction mixture was left at room temperature for 1.5 hours while shaking the contents intermittently to complete the nitration. The resulting brown solution was diluted to complete the nitration with ice-cold water and acidified with concentrated Nitric acid to get a bulky, yellow precipitate. It was filtered, washed with small quantity of methanol and purified by recrystallization from alcohol and yellow coloured crystalline solid was obtained. (yield 85%), m.p 73OC
Synthesis of 4-carbomethoxy-2-aminophenol (iii)
4-Carbomethoxy-2-nitrophenol (II, 0.05M) was dissolved in boiling alcohol (50%, 100ml) and sodium dithionite was added to this boiling alcohol solution until it became almost colourless. Then, the alcohol was reduced to one-third of its volume by refluxing and the residual liquid was triturated with crushed ice. The resulting colourless, shiny product was filtered, washed with cold water and dried in the air. Its purification was effected by recrystallization from benzene to get colourless, shiny scales (80%) m.p 143OC
synthesis of methyl-2-aminobenzoxazole-5-carboxylate (iv)
4-Carbomethoxy-2-aminophenol (III, 1.3 M) was dissolved in 1litre methyl alcohol and cooled the solution to 5OC in chopped ice.A cold suspension of cyanogen bromide (1.5 M) in 1litre of water was added over a period of 5min with rapid stirring. The reaction mixture was stirred for 45min at room temperature, solid sodium bicarbonate (1.3 M) was added in small portions over a period of 1.5 hrs to bring the PH 6.5 -7.0. Stirring was continued for another 1hour. The solid was separated by filtration, washed with cold water and on recrystallization from ethyl alcohol has resulted white solid, yield 70% and m.p is 238OC.
synthesis of 2-amino-n-[substituted alkyl]-benzoxazole-5- carboxamides (v)
A mixture of methyl-2-aminobenzoxazole-5-carboxylate (IV,0.01M) and alkylamine (0.01M) were taken in 50ml of methanol, heated under reflux on a water bath for 24-48hrs. The alcohol was reduced to half of its volume and cooled. The product separated was filtered and washed with small portions of cold alcohol first and then with cold water repeatedly and dried. The product was purified by recrystallization from suitable solvents. The compounds were characterized by spectral data [11-12].
Experiment methods
Acute Toxicity [16]
Healthy and adult male albino swiss mice weighing between 20-25g were used in the present investigation. Animals were fasted for 24hours and divided into group of six each.The test compounds suspended in sodium carboxy methyl cellulose solution (0.1%)were administered intraperitoneally. The control groups of animals received only the vehicle (0.1% sodium carboxymethyl cellulose solution). The animals were observed for 48 hours from the time of administration of test compound to record the mortality.The dose level to be used as the starting dose was selected from one of four fixed levels 5, 50, 300 and 2000 mg/kg body weight. The starting dose level should be that which was most likely to produce mortality in some of the dosed animals. The flow charts of drawn below describe the procedure that should be followed for each of starting doses.
Fig. 1: 2-Amino-N-(substituted alkyl) benzoxazole-5- carboxamides
Animals
All the experiments were carried out using Male Sprawge Dawley rats (250-300g) obtained from animal house, University College of Pharmaceutical Sciences, Kakatiya University, Warangal, India. On arrival the animals were placed at random and allocated to treatment groups in polypropylene cages with paddy husk as bedding. Animals were housed at a temperature of 24 ± 2oC and relative humidity of 30 – 70 %. A 12:12 light: day cycle was followed. All animals were allowed to free access to water and fed with standard commercial rat feed (Hindustan Lever). All the experimental procedures and protocols used in this study were reviewed by the Institutional Animal Ethics Committee, Kakatiya University, Warangal, India.
Vehicle
Test compounds and Indomethacin were suspended in 0.1% w/v carboxymethylcellulose sodium (CMC) and were administered intraperitoneally to animals. Carrageenan was diluted separately in normal saline and injected.
Method [17]
Sprague Dawley rats weighed between 250-300gm and fasted for 24hours before the test. The animals were divided into five groups with six animals in each group. The volume of the right hind paw was measured using plethysmometer. This constituted the initial reading. Compounds were tested in dose of 100mg/kg body weight. Indomethacin (5mg/kg) was used as standard. The compounds were administered as suspension in sodium CMC (0.1%W/V) intraperitoneally one hour before the injection of carrageenan. Control group of animals received a suspension of sodium CMC only. 0.1ml of 1.0%W/V carrageenan suspension in normal saline was injected into the plantar region of the right hind paw. The inflammation produced after injection of the phlogistic agent was measured at two hours intervals for 8hrs.

Statistical Analysis
Dunnets t test.
Antioxidant activity by DPPH method [18]
A simple method that has been developed to determine the antioxidant activity of the drug utilizes the stable 2,2- diphenyl-1-picrylhydrazyl(DPPH) radical. The odd electron in the DPPH free radical gives a strong absorption maximum at 517nm and is purple in colour. The colour turns from purple to yellow as the molar absorptivity of the DPPH radical at 517nm reduces from 9660 to 1640 when the odd electron of DPPH radical becomes paired with hydrogen from a free radical scavenging antioxidant to form the reduced DPPH+H+. The resulting decolourisation is stoichiometric with respect to the number of electrons captured. Antioxidant compounds may be water soluble, lipid soluble, insoluble or bound to cell walls. Hence extraction efficiency is an important factor in quantification of antioxidant activity of foods. Ascorbic acid (as the reference standard) and the sample are reacted with DPPH solution in methanol/water for 30mins at 350C in a test tube and the absorbance changes are measured at 517nm.
Preparation of standard solution
Ascorbic acid was used as standard for antioxidant activity. The weight equivalent to concentrations of 20, 40, 60, 80 and 100 µg/ml was weighed and dissolved in methanol.
Preparation of test solution
Stock solutions of samples were prepared by dissolving 10 mg of test sample in 9.5 ml of methanol and 0.5ml of DMSO to give concentration of 1000µg/ml.From the above stock solutions the concentrations of 20, 40, 60, 80 and 100 µg/ml were prepared by dissolving equivalent quantity in methanol.
Method
The method of Liyana-Pathiana and Shahidi was used for the determination of scavenging activity of DPPH free radical. To 1 ml of 0.135 mM DPPH prepared in methanol was added 1.0 ml of test compounds ranging from 20-100 µg/ml. The reaction mixture was vortexed thoroughly and left in dark at room temperature for 30 min. The absorbance was measured spectrophotometrically at 517 nm. The scavenging ability of the test compounds was calculated using the standard equation. The IC50 values were given in table.
The amount of DPPH radical was calculated following this equation:
% inhibition of DPPH = [A0- As]/A0 × 100
Where A0 is the absorbance of control and As is the absorbance of sample.Standard drug is Ascorbic acid.
RESULTS AND DISCUSSION
Spectral data
2-amino-n-methyl-benzoxazole-5- carboxamides (va)
3405(NH 2), 1685 (C=O), 1621 (C=N), 1138 (C-O-C);1HMR spectrum (DMSO-d6) (δ ppm) at: 8.84(d, 1H, Ar-H), 8.3(d,1H,Ar-H),8.84(d,1H,Ar-H), 7.61(s,1H,NH),6.99(s,1H,NH2) 2.85(s,3H, CH3);MASS: 191.19
2-amino-n-diethyl-benzoxazole-5- carboxamides (vb)
3355(NH 2), 1650 (C=O), 1613(C=N), 1125(C-O-C).1HNMR spectrum (DMSO-d6) (δ ppm) at: 8.84(d, 1H, Ar-H), 8.3(d,1H,Ar-H),8.03(d,1H,Ar-H), 7.45(d,1H,NH), 6.99(s,2H,NH2),2.5(s,6H, (CH3)2), 1.8(S,4H, (CH2)2);MASS: 233
2-amino-n-ethyl-benzoxazole-5- carboxamides (vc)
3405(NH 2), 1685 (C=O), 1621 (C=N), 1138 (C-O-C).1HNMR spectrum (DMSO-d6) (δ ppm) at: 8.75(d, 1H, Ar-H), 8.14(s,1H,Ar-H), 8.02(s,1H,NH),8.00(d,1H,Ar-H),,3.28(s,2H, CH2),1.8(s,3H,CH3);MASS: 205
2-amino-n-dimethyl-benzoxazole-5- carboxamides (vd)
3405(NH 2), 1685 (C=O), 1621 (C=N), 1138 (C-O-C).1HNMR spectrum (DMSO-d6) (δ ppm) at: 8.75(d, 1H, Ar-H), 8.14(s,1H,Ar-H), 8.02(s,1H,NH),8.00(d,1H,Ar-H),,7.00 (s,2H,NH2), 2.93 (s,6H, (CH3)2), 1.8(s,3H,CH3);MASS: 205
2-amino-n-propyl-benzoxazole-5-carboxamides (ve)
3405(NH 2), 1685 (C=O), 1621 (C=N), 1138 (C-O-C).1HNMR spectrum (DMSO-d6) (δ ppm) at: 8.44(s,1H,Ar-H),8.14(d, 1H, Ar-H), 7.8(d,1H,Ar-H),7.6(s,1H,Ar-H),7.0 (s,2H,NH 2 ), 3.20(s,4H,(CH2)2,1.8 (s,4H,(CH2)2) 1.3(s,6H, (CH3) 2 );Mass: m/z 219
2-amino-n-isopropyl-benzoxazole-5-carboxamides (vf)
3405(NH 2), 1685 (C=O), 1621 (C=N), 1138 (C-O-C).1HNMR spectrum (DMSO-d6) (δ ppm) at: 7.9(d, 1H, Ar-H), 7.8(d,1H,Ar-H),7.6(s,1H,Ar-H),7.1 (s,2H,NH2) ),3.94(s,1H,CH)2, 1.3(s,6H, (CH3) 2 ); Mass: m/z 219.
2-amino-n-diisopropyl-benzoxazole-5- carboxamides (vg)
3420(NH 2), 1674 (C=O), 1615 (C=N), 1124 (C-O-C).1HNMR spectrum (DMSO-d6) (δ ppm) at: 8.84 (s,1H,Ar-H), 8.14 (s, 1H, Ar-H), 7.8(d,1H,Ar-H),7.6(s,1H,Ar-H),7.1 (s,2H,NH 2 ), 3.93(s,2H, (CH) 2 ).1.27(s,12H,(CH3)4) Mass: m/z 261
Pharmacological evaluation
The preliminary studies on antiinflammatory and antioxidant activity of the new benzoxazole derivatives have generated some interesting data.
An attempt has been made to infer the ultimate out-come of the present studies basing on this data.
Acute toxicity studies
This study has been worked with the doses 5, 50, 300 and 2000mg/kg (b.w). Mortality of the rats was observed with the dose of 2000 mg/kg (b.w). Again two more test doses that is 500 and 1000 mg/kg (b.w) were administered. Mortality was observed with 1000 mg/kg (b.w) and the test animals were safe at 500 mg/kg (b.w), intra-peritoneally, (b.w=body weight).
Anti-inflammatory Activity
All the synthesized new benzoxazole derivatives were evaluated for anti-inflammatory activity at the concentration of 0.1 M and the results were compared with standard Diclofenac sodium (Table 1) for the period of eight hours with two hours interval. The investigation of antiinflammatory activity revealed that the tested compounds (Figure-2) Vc(R=ethyl), Ve(R=propyl) and Vf (R=diisopropyl) significantly reduced the carrageenan induced inflammation, with per cent inhibition 34.60,35.30,33.33 respectively, there by showed a promising antiinflammatory activity, where as the compound Va (R=methyl),Vd (R=dimethyl) moderately reduced the inflammation with per cent inhibition27.89 and 31.90 respectively. Compound Vb (R=diethyl) Vf (R=isopropyl) with per cent inhibition 22.40 and 23.12 showed very poor anti-inflammatory activity towards carrageenan induced paw edema when compared to the standard drug Indomethacin with per cent inhibition 42.17 at first hour.
Antioxidant activity
All the synthesized new benzoxazole derivatives were evaluated for antioxidant activity(Figure-3) by DPPH method at the concentration of 20,40,60,80,100 µgm/ml concentration and the results were compared with standard Ascorbic acid (Table 3)at 20,40,60,80,100 µg/ml concentration.
Table 1: Anti-inflammatory activity of 2-Amino-N-(substituted alkyl) benzoxazole-5- carboxamides
| S. No. | R | 1hr | 2hr | 3hr | 4hr | |
| Mean ±S.D | Mean ±S.D | Mean ±S.D | Mean ±S.D | |||
| 1 | Va | Methyl | 27.8±0.45 | 41.42±0.05*** | 41.13±0.05*** | 60.4±0.19 |
| 2 | Vb | diethyl | 22.4±0.085 | 28.58±0.14*** | 55.0±0.05 | 38.3±0.28 |
| 3 | Vc | ethyl | 34.6±0.24 | 51.4±0.19 | 35.71±0.12 | 64.9±0.17 |
| 4 | Vd | dimethyl | 31.9±0.35 | 42.14±0.21*** | 60.23±0.16 | 53.23±0.12 |
| 5 | Ve | propyl | 35.3±0.25 | 48.57±0.28 | 51.42±0.15 | 64.74±0.18 |
| 6 | Vf | isopropyl | 23.12±0.24 | 28.57±0.29 | 59.28±0.12 | 31.65±0.12 |
| 7 | Vg | diisopropyl | 33.33 ± 0.60 | 45.71±0.26 | 32.14±0.16 | 64.02±0.19 |
| 8 | Standard | Diclofenac sodium | 42.17±0.25 | 50±0.25 | 65±0.18 | 71.12±0.18 |
Statistical significance: p<0.005 are significant., Number of animals used for the experiment: 06
Table 2: Physical data of 2-Amino-N-(substituted alkyl) benzoxazole-5- carboxamides
| S. No. | R | Mol formula | Mol weight | Melting point 0C | Yield |
| 1 | Va | C9H9N3O2 | 191.19 | 229-232 | 90 |
| 2 | Vb | C12H15N3O2 | 233.27 | 204-206 | 86 |
| 3 | Vc | C10H11N3O2 | 205.21 | 218-221 | 85 |
| 4 | Vd | C10H11N3O2 | 205.21 | 223-225 | 70 |
| 5 | Ve | C11H13N3O2 | 219.24 | 211-214 | 75 |
| 6 | Vf | C11H13N3O2 | 219.24 | 241-244 | 81 |
| 7 | VIg | C14H19N3O2 | 261.15 | 210-213 | 60 |
Table 3: Antioxidant activity of 2-Amino-N-(substituted alkyl) benzoxazole-5- carboxamides
| S. No. | R | IC 50(µg/ml) Mean ±S.D | |
| 1 | Va | Methyl | 12.23±0.34 |
| 2 | Vb | diethyl | 16.43±0.23 |
| 3 | Vc | ethyl | 9.20±0.005 |
| 4 | Vd | dimethyl | 23.56±0.45 |
| 5 | Ve | propyl | 23.60±0.23 |
| 6 | Vf | isopropyl | 4.65±0.29 |
| 7 | Vg | diisopropyl | 11.12±0.27 |
| 8 | Standard | Ascorbic acid | 5.65±0.23 |
Experiment carried out in triplicate
Among all the tested compounds Vg (R=diisopropyl) significantly showed potent antioxidant activity with IC50 4.65, where as the compound whereas rest of the compounds showed moderate antioxidant activity IC50 values in the range of 9.2 to 23.60.
CONCLUSION
Experimental approach for the synthesis was presented. The potential antiinflammatory and antioxidant activity validates the significance of the study. Among the synthesised compounds 2-amino-N-isopropyl-benzoxazole-5-carboxamide (Vf) is considered to be the dual anti-inflammatory and antioxidant agent.
ACKNOWLEDGEMENT
Author AD.P thanks UCPSc, Kakatiya University, Warangal
For providing the facilities to carryout synthetic and evaluation work
CONFLICT OF INTERESTS
Declared None
REFERENCES