Int J Pharm Pharm Sci, Vol 6, Issue 9, 34-41Review Article

ANTICANCER ACTIVITIES OF THIOSEMICARBAZIDES/THIOSEMICARBAZONES: A REVIEW

SHEFALI ARORA, SHILPI AGARWAL, SHAILEY SINGHAL*

1Department of Chemistry, University of Petroleum & Energy Studies, Dehradun 248007 (Uttarakhand), India, 2Energy Acres, PO Bidholi, Via Prem Nagar, Dehradun-248007 (Uttarakhand), India
Email: shailey@ddn.ac.in

Received: 15 Jul 2014 Revised and Accepted: 01 Sep 2014


ABSTRACT

There have been tremendous development in the chemotherapy of cancer and researches are still developing new and more effective drugs to combat this disease. Thiosemicarbazides and thiosemicarbazone possess a wide range of biological applications. This key biological role is often related with their capability to inhibit the enzyme ribonucleotide reductase, similar to what is observed with potent anticancer drugs such as triapine and methisazone. Recent studies have revealed that thiosemicarbazones can inhibit topoisomerase II enzyme. This review discusses current advances of an emerging ‘new wave’ of thiosemicarbazide/thiosemicarbazone and their metal complexes as potent anticancer agents, mode of action and toxicity caused by them.

Keywords: Anticancer, Antineoplastic, Antitumor, Thiosemicarbazide, Topoisomerase.


INTRODUCTION

Thiosemicarbazones and their metal complexes present a wide range of applications that stretch from their use in analytical chemistry, through pharmacology to nuclear medicine[1–4]. The presence of amide, imine and thione groups makes them potential polydentate ligands[5] and it is not surprising that numerous thiosemicarbazone complexes have been prepared and characterized [6]. In addition, in the last few years there has been a growing attention towardsthiosemicarbazones related to their range of biological properties, specifically as antifungal, antiviral, antibacterial and anticancer agents [7-15].

Cancer is an important area of interest in the life sciences as it has been a major killerdisease throughout human history. It is not one disease, but a large group of diseases characterized by uncontrolled growth and spread of abnormal cells. Heterocyclic molecules are well known to play a critical role in health care and pharmaceutical drug design. Currently a number of heterocyclic compounds are available commercially as anticancer drugs and great efforts have been put to the identification of novel anticancer targets for novel anticancer drug discovery.

For the survival of any organism, there should be a delicate balance between cell growth and death. This balance can get disturbed in a number of ways, which may lead to abnormal growth of tissue [16] leading to a lethal tumor or cancer [17]. According to WHO, cancer is a leading cause of death worldwide and accounted for 7.6 million deaths in 2008 and the same are projected to continue to rise to over 11 million in 2030. Antineoplastic or anticancer drugs prevent or inhibit the maturation and proliferation of neoplasms. They travel the body and destroy cancer cells. Many of the side effects associated with antineoplastic agents occur because treatment destroys the body's normal cells in addition to cancerous cells [18].

Cancer is a multi-step disease incorporating physical, environmental, metabolic, chemical and genetic factors, which play a direct and/or indirect role in the induction and deterioration of cancers. Emergence of resistance to anticancer drugs poses a major clinical challenge in successful treatment of cancer since some tumor cells develop a particular phenotype, called multidrug resistance (MDR), which makes these cells resistant to other classes of anticancer agents to which the tumor cells have not been treated previously. MDR cell lines have been shown to display a complex spectrum of biochemical and cytogenetic changes such as the over-expression of p-glycoprotein, increased levels of glutathione related enzymes, down regulation of mono-oxygenases, and altered expression of protein kinase C [19].

Biological properties of thiosemicarbazones have been studied since 1956 when Brockman etaIreported the antitumour properties of thiosemicarbazones derived from 2-formylpyridine. The nature of the substituent attached at 4-N influences the biological activity, while the acid character of the 3NH allows the ligand to be anionic and conjugation to be extended to include the thiosemicarbazones moiety. It has been proposed that this conjugated system enhances the antitumor activity.

Metal thiosemicarbazonate complexes are also potential anticancer and chemotherapeutic agents which exhibit inhibitory activities against most of the cancers through inhibition of a crucial enzyme obligatory for DNA biosynthesis and cell division, viz. ribonucleotide diphosphate reductase (RDR) [20]. Some thiosemicarbazones even increase their antitumour activity by their ability to form chelates with specific metal ions [21]. It was reported that the anticancer activities of thiosemicarbazones were closely related to the parent aldehyde or ketone group, metal chelation ability and terminal amino substitution. Among them, the parent aldehyde or ketone group was considered critical for the anticancer activity of thiosemicarbazones. Heterocyclic thiosemicarbazone showed higher activity compared with aromatic thiosemicarbazones[22].

All prophecies made by scientists in the last century that cancer will be curable in the 21stcentury turned out to be wrong. Although the long-term goal still remains to make this life threatening disease curable one day, we have to accept at present that our understanding to do so is yet not comprehensive enough. The short-term goal is, thus, to turn the deadly disease into a chronic one so as to elongate the survival time of the cancer patients with a maximum of life quality. In order to reach this short-term goal, two features of cancer have to be taken into account. First, the growth of the tumor must not exceed a certain size, so that the related organ is not seriously affected in its function. Second, the spreading of the tumor and the development of (micro-) metastases must be inhibited. In this review, work done by various researchers in light of thiosemicarbazides/thisemicarbazones and their derivatives as potential antineoplastic agents has been summarized. Concern has also been given to the mode of action and side effects caused by the usage of anticancer drugs (generally) affecting the normal metabolism of the body.

Different derivatives of thiosemicarbazide as anti-cancer agents

Thiosemicarbazide is an important structural motif that has the potential to display chemical functionality in biologically active molecules. Optimization of this structure can result in groundbreaking discovery of new class of anticancer agents.

SAR (Structural Activity Relationship) studies showed that a large number of thiosemicarbazones of N-heterocyclic compounds have low π-electron density at the side chain part and the ring N-atom should be reasonably a good electron pair donor to transition metals to form co-ordination compounds [23]. Thiosemicarbazones in their neutral or deprotonated form, behave as a N,N,S-thiodentate chelate towards metal ions essential for life. It displays antiproliferative activity on different tumors cell lines and has been a common feature of all compounds with carcinogenic potency. A strong correlation was found between tumor growth rate and the enzyme Ribonucleoside Diphosphate Reductase (RDR) [24]. So, it has been suggested that an inhibitor to RDR would be a good agent for the treatment of cancer.

Moore et. al found that the antitumor activity of thiosemicarbazone compounds is due to their ability to inhibit ribonucleotide reductase (RR), a necessary enzyme for DNA synthesis [25].

Yousef et. al (2011) [26] synthesized a series of thiosemicarbazide derivatives by the reaction of 4-(2-pyridyl)-3-thiosemicarbazide with phenyl isothiocyanate, benzoyl isothiocyanate, phenyl isocyanate and 4-pyridyl isothiocyanate. The products were N1-phenyl-N2-(pyridin-2-yl) hydrazine-1,2-bis (carbothioamide) (H2PPS), N-phenyl -2-(pyridine-2-ylcarbamothioyl) hydrazine carboxamide (H2PBO), 1-(amino (thioformyl)-N-phenylform)-4-(pyridine-2-yl)thiosemicarbazide (H2APO) and 1-(aminoN-(pyridine-3-yl)methanethio)-4-(pyridine-yl)thiosemicarbazide (H2PPY) respectively.

Among these compounds, H2PPY was found to remarkably prolong the lifespan of Ehrlich Ascites Carcinoma (EAC) bearing rats and brought their altered haemoglobin and RBC values to near normal values. In addition to this, In vivo studies were also made inducing hepatocellular carcinoma (HCC) in rats. H2PPY showed a substantial improvement on both biochemical and histopathological parameters. In the EAC bearing rats, cells were present in the peritoneal cavity and the compounds were administered directly into the peritoneum. The presence of two pyridine moieties and two –SH equivalent groups (C=S) in H2PPY enhanced the antitumor activity significantly and therefore was found to contribute towards the activity among the tested compounds.

Zhang et. al. in 2011 [27] synthesized a number of chalconethiosemicarbazide derivatives (Ia-Ix) (Table 1) having the general formula

Structure of chalconethiosemicarbazide derivatives (Ia-Ix)

Table 1: It shows various derivatives of chalconethiosemicarbazide [27]

Compound R1 R2 R3 R4 R5
Ia F H H H H
Ib Cl H H H H
Ic Br H H H H
Id OMe H H H H
Ie H H F H H
If H H OMe H H
Ig H H NO2 H H
Ih H F H H H
Ii H Cl H H H
Ij H Br H H H
Ik H Me H H H
Il H OMe H H H
Im H NO2 H H H
In H Ph H H H
Io H OCH2Ph H H H
Ip H H H H H
Iq H H H H Br
Ir H H H H Me
Is H H H H OMe
It H H H H Cl
Iu H H H Cl Cl
Iv H F H H Br
Iw Cl H H H OMe
Ix A Ring= H H

The compounds were evaluated for their biological activities as potent anticancer polymerization inhibitors and antiproliferative activity against human hepatocellular liver carcinoma (HepG2) cell. Most of the compounds exhibited remarkable effects on antiproliferative activities and also displayed potent inhibitory effect on the activity of EGFR kinase, but compound Irwith p-substituted methyl group at B ring, was found to be most potent for that.

The results of EGFR inhibitory activity of the tested compounds were corresponding to the structural relationships of their anticancer activities. Magdy et. al synthesized different thio semicarbazide derivatives of 4-(3-(Benzofuran-2-yl)-1-phenyl-1H-pyrazol-4-yl)-2-hydrazinyl-1,6-dihydro-6-oxopyrimidine-5-carbonitrile, among which some were found to be quite effective against human liver carcinoma cell line (HEPG2).

The studies showed that the heterocyclic rings such as hydrazinyl as side chain inthiosemicarbazide derivatives were essential for the antitumor activity [28].

Aysel et. al studied thiosemicarbazone derivatives of some Schiff bases and found their antitumor activity [29]. The derivatives were found to help in decreasing the level of lipid peroxidation in tissues which otherwise forms carcinogenic products.

Hitesh et. al synthesized [30] a series of thiosemicarbazones of 1-(5-chloro-1H-benzimidazol-2-yl)ethanone (IIa-e) and studied their in vitro antitumor activity against 60 human cell lines derived from nine clinically isolated cancer types (e. g. Leukemia, lung, colon, CNS, melanoma, ovarian, renal, prostate and breast) according to a standard protocol established at the National Cancer Institute, Bethesda, MD, USA.

Where, R = H (a); R = C6H5 (b); R = CH2CH3 (c); R = C4H9 (d); R = C6H11 (e)

They found that compound II(b), a phenyl substituted agent showed remarkable activity against most of all the cancer cell lines. At a concentration of log10(-4.3) M, cell arrest was observed for various cell lines. Compound II(b) showed 100% inhibition for cell line NCI-H460 (non-small lung cancer), SW-620 (colon cancer), SK-MEL-5 (melanoma), RXF-393 (renal cancer) and DU-145 (prostate cancer). In ovarian cancer, maximum 96% inhibition for OVCAR-4 cell line, in breast cancer 91% growth inhibition for MDA-MB-468 cell line and in leukemia, maximum 49% inhibition for HL-60(TB) cell line was noticed.

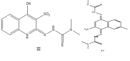
Serda et. al designed two new anticancer agents (III and IV) by combining active moieties of known potency, quinoline and thiosemicarbazonebioeffectors [31]. The compounds were found to exhibit interesting anticancer activities against HCT116 cancer cells.

Metal complex of thiosemicarbazide/thiosemicarbazone and their derivatives

Metal thiosemicarbazides and thiosemicarbazone complexes are emerging as new class of experimental anticancer chemotherapeutic agents which show inhibitory activities against cancer. As thiosemicarbazones are nitrogen and sulfur atom donor ligands particularly for transition metal ions [32-34], remarkable biological activities are observed for these compounds, related to their metal complexing ability in enzymes. Some pharmaceutically promising thiosemicarbazide derivatives have additional functional groups which are not co-ordinated to their “primary” metal ion. Thus biological activity also depends on the non-coordinating groups. There has been a stronger focus in recent years on substituted ligands, serving an important purpose in complexation with metal ions. They have been used as drugs and are reported to possess a wide variety of biological activities against bacteria, fungi and certain type of tumors and are also a useful model for bioinorganic processes [35-36]. The suggestions that thiosemicarbazones act as iron chelators, interfers with DNA synthesis to prevent its production led to a lot of interest in their complexation as well as their pharmaceutical importance [37]. Thiosemicarbazone complexes possess imine group (-N=CH-) which imparts the biological activity and chelating properties towards the central metal atom. As potential antitumor agents, copper complexes of aromatic thiosemicarbazones affected the complicated mechanism of leukemic transformations by inhibiting the replication and triggering apoptotic processes [38].

Some promising novel phytochemicals quercetin thio semi carbozone(QTSC) copper(II)metal complex, quercetin 3-O-glucoside thiosemicarbozone (QOTSC) Copper(II)metal complex and their rutin have been synthesized and characterized by Subrahmanyam Naiduet al.[39] as anti-oxidant, anti-tumor, anti-cancer, anti-viral, anti-malarial, anti-fungal, and anti-microbial agents. In vitro, anticancer activity was also carried out against some cancer cell lines. The spectral and other data indicates that all the Cu(II) metal complexes are tetrahedral and octahedral(rutin) structure. Theyalso synthesized the schiffs bases of certain of the constituents viz. flavanoids / phytochemicals and later synthesized their transition metal complexes especially with Platinum, Gold, Palladium, Ruthenium, Cobalt, Iron, Nickel, Zinc and Chromium. The precursors, the derivatives/analogues and the transition metal complexes, all were excellent candidates as anticancer drugs.

Due to the anti-proliferative properties of cobalt-thiosemicarbazone complexes, the production of [55Co](III)-bis-(2-acetylpyridine thiosemicarbazone) ([55Co](III)[APTS]2) was investigated [40]. Co-55 (T1/2=17.53 hr) was produced by 150 μA irradiation of a natural nickel target by 15 MeV protons. 55Co was separated from the irradiated target material using a two-step method with a radiochemical yield of >95% followed by radionuclidic and chemical purity control. [55Co](III)chloride was mixed with 2 acetyl pyridinethiosemicarbazone for 30 min at room temperature to yield [55Co](III)[APTS]2 (radiochemical purity> 98% shown by RTLC/HPLC). A specific activity of about 10–20 Ci/mmol was obtained. The final solution was diluted in normal saline to 5% ethanolic solution for biological evaluation. The stability of the final product was checked in the absence and presence of human serum at 37°C. The partition co-efficient of the final complex at pH 7 was 1.00±0.08. A significant tumor accumulation (%ID/g; 3.5%) was observed in tumor tissue 21hr post injection in fibrosarcoma-bearing mice by biodistribution studies. Co-incidence imaging also demonstrated tumor uptake from 21–35hr however 35 hr tumor uptake is more specific and significant.

David et al. [41] discovered that the metal-chelating compound Dp44mT is a di-2-pyridylketone thiosemicarbazone (DpT) which displays potent and selective antitumor activity. This compound is receiving translational attention, but its mechanism is poorly understood. Studies using the lysosomotropicfluorochromeacridine orange established that the copper–Dp44mT complex (Cu[Dp44mT]) disrupted lysosomes. This was confirmed with pepstatin A–BODIPY FL, which showed redistribution of cathepsin D to the cytosol with ensuing cleavage of the proapoptotic BH3 protein Bid. Redox activity of Cu[Dp44mT] caused cellular depletion of glutathione, and lysosomal damage was prevented by co-treatment with the glutathione precursor N-acetylcysteine. Copper binding was essential for the potent antitumor activity of Dp44mT, as coincubation with nontoxic copper chelators markedly attenuated its cytotoxicity. Topoisomerase II (Topo II), an ATP-dependent enzyme is an important chemotherapeutic target in the treatment of cancer and regulates the conformational changes in DNA topology necessary for transcription, replication and chromosome condensation and segregation [42-43]. Currently, six Topo II inhibitors (etoposide, teniposide, doxorubicin, daunorubicin, idarubicin, and mitoxantrone) are prescribed as highly anti-neoplastic drugs in clinical use. Efforts have been made by many research groups to find new chemicals with improved bioactivity.

It has been reported that thiosemicarbazones (TSCs) are potent antitumor agents that inhibit Topo-II. The relationship between the In vitro and In vivo behavior of novel 64Cu-thiosemicarbazide complexes and the expression of Topo-II activity has been developed by Wei and group [44]. They prepared four 4N-azabicyclo[3.2.2]nonanethiosemicarbazide derivatives (V-VIII) and radiolabeled them with 64Cu successfully to form lipophilic cations.

All the four compounds were examined by PET (positron emission tomography), which is a noninvasive imaging technique that delineates physiologic processes, complementing the high-resolution anatomic images of MRI and CT that can reveal important information about location of disease. Physiologic information from PET can significantly aid the diagnosis of disease and help direct treatment for individual patients. Of the 4 ligands examined in this study (V-VIII), VII had significantly higher growth-inhibitory activities when complexed with nonradioactive copper with IC50 value of 0.004 µmol/l in HT29 cells [44].

Synthesis, charecterization and nuclease activity of Au(III)-complexes of alloxanthiosemicarbazone (All. Tsc) and substituted thiosemicarbazones have been reported [45]. Some hitherto unknown complexes of alloxanthiosemicarbazone and substituted thiosemicarbazones with Au(III) have been synthesized and characterized by elemental analysis, spectral viz. FT-IR, NMR, UV-VIS, mass, magnetic, thermal and conductance studies. All the complexes were crystalline powders decomposed by mineral acids and tetrahedral in shape. The ligand, its schiff’sbases and metal chelates were screened in-vitro for anticancer activity against some cancer cell lines.

Zheng et al..reported the synthesis, crystal structure and antitumor study of an Iron(III) complex of 2-acetylpyrazine N(4)-methylthiosemicarbazone. The title complex [Fe(C8H10N5S)2]Cl has been synthesized from 2-acetylpyrazine N(4)-methylthiosemicarbazone and FeCl3.6H2O and characterized by elemental analysis, IR spectroscopy and single-crystal X-ray diffraction. The complex consists of discrete monomeric molecules with octahedrallyhexaco-ordinated iron(III) ions, in which two 2-acetylpyrazine 4-methylthiosemicarbazone units act as meridional NNS tridentate ligands co-ordinated to the central iron atom viapyrazine nitrogen, azomethine nitrogen and sulfur atoms. Hydrogen bonds link the complex components to stabilize the crystal structure. The antitumor activity of the title complex was tested against K562 leucocythemia and BEL7402 liver cancer cell lines. The complex exhibits higher antitumor activity as compared to the free ligand[46].

Arsenic compounds are natural substances used in China for medical treatment for more than twenty-five centuries. Particularly, arsenic trioxide (As2O3) has been used for ten years in patients with acute promyelocytic leukemia (APL). It is apparent that arsenic trioxide is a successful treatment for APL. Furthermore, arsenic trioxide is safe and effective not only in patients with leukemia, but also in patients with many other malignancies [47]. There is promising evidence of the activity of arsenic trioxide plus ascorbic acid in refractory/relapsed myeloma. The mechanism of potentiation by ascorbic acid is due to intracellular glutathione depletion. This treatment has acceptable toxicity and ascorbic acid does not alter the pharmacokinetics of arsenic trioxide [48].

Due to the anti-proliferative properties of platinum group-thiosemicarbazone complexes, the production of 191Os-labeled 2-acetyl pyridine 4-N-methylthiosemicarbazone (191Os-APMTS) was investigated [49]. 191Osmium (T½= 15.4d) was produced via 190Os(n,γ)191Os nuclear reaction using enriched target irradiated with thermal neutrons. Reaction of in-house synthesized 2-acetylpyridine thiosemicarbazone (APMTS) with 191Os yielded [191Os]APMTS checked by ITLC followed by stability, partition co-efficient and bio-distribution determination. The complex was prepared with a radiochemical purity of more than 95% (RTLC) and specific activity of 21.5 GB/mM and was stable in the formulation and presence of human serum at 37°C for up to 48hr. The partition coefficient was determined (log P. 1.23). The bio-distribution study up to 4 days demonstrated significant tissue uptake differences in the bone, blood, heart and thyroid. This is the first Os-191 labeled thiosemicarbazone designed as an in-vivo therapeutic radionuclide generator. Further investigation is ongoing on the evaluation of the complex in tumor bearing animals.

Pt(II), Pt(IV), Pd(II) and Pd(IV) complexes with 3-amino-α-tetralonespiro-5’-hydantoin as carrier ligand were synthesized [50] and characterized by elemental analysis, IR and 1H NMR spectra. A cis-square planar structure of all the complexes (cis-[ML2Cln], where M is Pt(II), Pt(IV), Pd(II), Pd(IV), n = 2 or 4)was demonstrated with ligands coordinated via-NH2 group. Cytotoxic activity of the complexes were determined In vitro by MTT method against SKW-3 human tumor cell line. All studied complexes evoked concentration-dependent cytotoxic effects, which were much more manifested at micromolar concentrations. The IC50 values of the tested metal complexes showed that Pt(II) complex with 3-amino-α-tetralonespiro-5’-hydantoin has higher cytotoxic activity than the palladium complexes with the same ligand, which confirmed the higher activity of platinum complexes than corresponding palladium complexes.

The preparation of palladium(II)complexes of 3,5-diacyl-1,2,4-triazole bis(thiosemicarbazone) (H2L2) [PdCl2(H2L2)], 2,6-diacylpyridine bis(thiosemicarbazone) (H2L3) [PdCl2(H2L3)]and benzyl bis(thiosemicarbazone)(H2L4) [PdCl2(H2L4)]was described. The crystal and molecular structure of PdL4-DMF (Lsbideprotonated form of benzyl bis(thiosemicarbazone))was determined by single-crystal X-ray diffraction: green triclinic crystal, as 10.258(5), bs10.595(5), cs11.189(5)A°, as 97.820(5), bs108.140(5), gs105.283(5)8, space group P1, Zs1. The palladium atom is tetra co-ordinated by four donor atoms (SNNS) from L4 to form a planar tricyclic ligating system. Cytotoxic activity of compound against several human, monkey and murine cell lines sensitive (HeLa, Vero and Pam 212)and resistant to cis-DDP (Pam-ras) suggests that compoundsmight be endowed with important antitumor properties since it shows IC50 values in a mM range similar to those of cis-DDP [cis-diamminedichloroplatinum(II)]. Moreover, compoundsdisplay notable cytotoxic activity in Pam-rascells resistant to cis-DDP (IC50 values of 78 mMvs 156 mM, respectively). On the other hand, the analysis of the interaction of this novel Pd-thiosemicarbazone compound with DNA secondary structure by means of circular dichroism spectroscopy indicates that it induces the double helix conformational changes different from those induced by cis-DDP[51].

Synthesis, characterization and nuclease activity of Ru(III)-complexes of isatinthiosemicarbazone (Is. Tsc) and substituted thiosemicarbazoneswas investigated by Kalyaniet al. [52]. Some extremely novel and hitherto unknown complexes of isatinthiosemicarbazone and substituted thiosemicarbazones with Au(III) have beensynthesized and characterized by elemental analysis by spectral (FT-IR, NMR,UV-Vis, mass), magnetic, thermal and conductance studies. All complexes arecrystalline powders decomposed by mineral acids. The spectral and other dataindicate that all the Ru(III) complexes are tetrahedral. The ligand, its Schiff’sbases and metal chelates would be screened in-vitro for anticancer activityagainst some cancer cell lines.

Gangadharanet al. [53] investigated the synthesis, thermal and antitumour studies of Th(IV) complexes with furan-2-carboxaldehyde4-phenyl-3-thiosemicarbazone. The composition and structure of the metal complexes were proposed based on elemental analysis, molar conductivity measurements, FTIR and 1H-NMRspectroscopy. The Schiff base behaves as a neutral bidentate ligandcoordinating through the azomethine N and the thio keto S atoms. From variousstudies, complexes were ascertained the general formula [ThL2X4] and[ThL2Y2], where X represents NO3, NCS, CH3COO, CH3CHOHCOO,ClO4 and Y represents SO42–and C2O42–. The thermal behavior of nitrato andoxalato complexes was studied and kinetic and thermodynamic parameters were calculated using the Coats-Redfern Equation. The ligand and a representativecomplex [ThL2(NO3)4] were screened In vitrofor their antitumouractivity against human cervical cancer cell line (HeLa).

Inorganic complexes of uranyl with N-donor ligands were synthesized and characterized by FTIR and UV, ¹HNMR, ¹³CNMR spectra, TG/DTG measurements and some physical properties [54]. The results of simultaneous TG-DTG-DTA analyses of the complexes show that the final degradation product for these complexes is UO3. The antitumor activity of used ligands and their complexes against a panel of human tumor cell lines (HT29:Hauman colon adenocarcinoma cell line T47D: human breast adenocarcinoma cell line) were studied and determined by MTT (3-[4,5-dimethylthiazol-2-yl]-2,5-diphenyltetrazolium bromide) assay. These data suggest that some of these compounds provide good models for further design of potent antitumor materials. Also the results show that chelation causes drastic change in the biological properties of the ligands and also the metal moiety. So the toxic effects of uranyl can be prevented by using chelating agent and complexation of the potentially multidentate ligands.

Computational Studies

Computational drug design is a new and advanced approach to predict the promising chemical species against a particular type of micro-organism. It also helps to understand how disease and infection are controlled at the molecular and physiological level and ultimately to target specific entities based on this knowledge. Many researchers have put forth their success stories in the use of Computer Aided Drug Design (CADD) for optimizing the lead and explaining the mechanism of action of specific entities for a number of targets, but very few references are available for thiosemicarbazide/thiosemicarbazone as lead compound in this direction.

The mode of inhibitory action of 4-ethoxycarbonylmethyl-1-(piperidin-4-ylcarbonyl)-thiosemicarbazideHydrochloride (IX) was examined by performing docking simulations with ATP-binding domain of hTopoIIα(PDB: 1ZXM) and DNA binding site of hTopoIIβ (PDB id: 3QX3) using the FlexX program, which has been shown to be reliable enough to carry out binding mode analysis of ligands in ATP binding pocket of hTopoIIα [55]. Compound (IX) was docked into the DNA and ATP binding sites, respectively, wherein in both the cases, crystallographic water molecules were treated rotatable and displaceable. Their contribution to binding was found negligible in all cases and its free energies of binding obtained from the Hyde scoring function [56-57], was 9 kJ/mol in the DNA active site, while −20 kJ/mol in the ATP binding site Results clearly indicated that M has greater affinity toward the ATP binding site than to the DNA binding pocket of hTopoIIα and is an even more effective inhibitor than AMPPNP. (IX)formed 11 hydrogen bonding interactions with water molecules, Gly164, Asn163, Arg162, Glu87, Gly166, Tyr165 and hydrophobic interactions with Gly160, Gly161, Asn91.

Followed by docking studies, (IX) has been subjected to a preliminary MTT assay in estrogen receptor-positive (MCF-7) and estrogen receptor-negative (MDA-MB-231) breast cancer cells and was found to decrease the number of viable cells in both the types. The inhibitory activities (IC50) of compound M on MDA-MB-231 and MCF-7 were 146±2 and 132±2 μM, respectively. Further, cytotoxicity of (IX) was more pronounced at shorter times in MDA-MB-231 than in MCF-7.

The studies were corroborated by a cell proliferation assay in which the profiles of DNA synthesis were found to be similar in MCF-7 and MDA-MB-231. The concentration of (IX) required to inhibit [3H]-thymidine incorporation into DNA by 50 % (IC50) in MDA-MB-231 was found to be 123±2 μM, suggesting a lower cytotoxic potency compared to chlorambucil (IC50056±2 μM). The concentrations of (IX) and chlorambucil required for 50 % inhibition of [3H]-thymidine incorporation into DNA in breast cancer MCF-7 cells (IC50) were 124±2 μM and 65±2 μM, respectively [58].

Mode of action of anticancer drugs

Cancer is the uncontrolled growth of cells coupled with malignant behavior: invasion and metastasis (among other features) [59] and is caused by the interaction between genetic susceptibility and environmental factors [60-61]. The available anticancer drugs have distinctly different mechanisms of action which may vary at different drug concentrations and in their effects on different types of normal and neoplastic cells. There are very few demonstrable biochemical differences between cancerous cells and normal cells. For this reason the effectiveness of many anticancer drugs is limited by their toxicity to normal rapidly growing cells in the intestinal and bone marrow areas. It is important to know that how anticancer drugs act at the cellular level to inhibit the growth of, or to destroy, susceptible cells. Most chemotherapeutic drugs work by impairing mitosis (cell division), effectively targeting fast-dividing cells and are cytotoxic in nature. As chemotherapy affects cell division, tumors with high growth rates are more sensitive to chemotherapy, as a larger proportion of the targeted cells are undergoing cell division at any time. Malignancies with slower growth rates, such as indolent lymphomas, tend to respond to chemotherapy much more modestly [62]. The role of anticancer drugs is to slow and hopefully stop the growth and spreading of cancer. There are three possible ways which can be helpful in meeting the goals associated with the use of the most commonly-used anticancer agents.

1. Damaging the DNA of the affected cancer cells.

2. Inhibition of the synthesis of new DNA strands to stop the cell from replicating, which permits the tumor to grow.

3. Stopping mitosis of the original cell into two new cells.

In a broader sense, the mode of action and action sites for anticancer drugs in the body can be depicted in fig. 1 [63].

Damaging the DNA of the affected cell

These agents chemically damage DNA and RNA and disrupt the replication of DNA by either totally stopping replication or manufacturing useless DNA or RNA w. r. t. the growth of malignant cells. Examples of drugs in this class include cisplatin (Platinol®) and 7) antibiotics-daunorubicin (Cerubidine®), doxorubicin (Adriamycin®) and etoposide (VePesid®).

Inhibition of the synthesis of new DNA strands

Folic acid, heterocyclic bases and nucleotides are the building blocks for DNA and are made naturally within the cells. Agents under this category block one or other step in the formation of nucleotides, not permitting the synthesis of DNA and RNA in turn stopping the process of replication. Examples of drugs in this class include methotrexate (Abitrexate®), fluorouracil (Adrucil®),hydroxyurea (Hydrea®) and mercaptopurine (Purinethol®).

Stopping mitosis of the original cell into two new cells

Mitotic spindles help the cell to split. These drugs disrupt the formation of these spindles and therefore interrupt cell division. Examples of drugs in this class include: vinblastine (Velban®), vincristine (Oncovin®) and pacitaxel (Taxol®).

Toxicity by Anticancer Drugs

Toxicity is the side effect caused by the drugs administered for the treatment of a particular disease. Various chemotherapeutic agents alone or in combination are used for the treatment of variety of neoplastic diseases in conjunction with surgery, radiotherapy and immunotherapy. Clinically useful antineoplastic agents exhibit selective toxicity to malignant cells. The antineoplastic agents have lowest therapeutic indices of any drug and as such they cause frequent and predictable multi-system toxicity [64]. Approaches to the reduction of chemotherapy-induced toxicity include dose reduction, use of alternate drugs or their analogues, growth factors, and cytoprotective agents [64]. Common toxicities encountered are haematological, gastrointestinal, skin and hair follicle toxicity, nervous system toxicity, local toxicity, metabolic abnormalities, hepatic toxicity, urinary tract toxicity, cardiac toxicity, pulmonary toxicity, gonadal toxicity etc. [65]. Acute and chronic marrow damage [66], deprivation of formed elements, incidence of life threatening haemorrhage and infection [67] are the common side effects under haematological toxicity and can be managed by reducing the dose quantity or even hospitalization depending upon the stage of toxicity caused to the patient. Common drugs responsible for these side effects are oxaliplatin, cyclophosphamide, cytarabine, ifosamide and many others. Anaemia in cancer patients is also multifactorial including blood loss [68] and the symptoms are associated with mild to moderate anaemia, negatively affecting person’s normal functional ability and quality of life. Cisplatine, altretamine, topotecan, docetaxel, cytarabine and paclitaxel are anticancer drugs responsible for anemia. Anorexia, nausea and vomiting are frequently observed after chemotherapy. Commonly nausea begins 4 to 6 hrs after treatment and lasts for 1 to 2 days. In patients whose cancer has resulted in debility or immobility, or in those who require narcotic analgesics, constipation can be a particular problem. Many medications can cause constipation. Constipation may also develop in patients who have received neurotoxic chemotherapeutic agents. Decreased bowel motility due to intra-abdominal disease, hypercalcemia or dehydration can also contribute to constipation [69]. Chemotherapy, radiotherapy, cancer itself, medications, supplemental feedings, anxiety and infection with bacteria like Clostridium difficile are the main causes of diarrhea. Methotrexate, cytarabine, nitrosourea, paclitaxel, irinotecan and floxuridine are anticancer drugs causing diarrhoea. Chemotherapy induced hair loss is not necessarily a serious physiologic complication but psychologically it can be one of the most devastating side effects. It is due to toxic effect of drug on rapidly dividing hair bulb. It can cause severe emotional impacts in some patients. It is dose dependant. Other terminal hair follicles such as those of eyebrows, eyelashes, beard, auxiliary and pubic hairs are variably affected. The hair usually regrows normally after completion of therapy. The anticancer drugs causing hair follicle toxicity are Paclitaxel, Ifosamide, etoposide, methotrexate, doxorubicine, Daunorubicine, cyclophophamaide and vincristine[70]. The incidence of neurotoxicity associated with chemotherapy is increasing because of greater use of high dose chemotherapy. Vincristine is the most important antineoplastic agent that has a dose limiting neurotoxicity. Paresthesia of hands and feet, loss of deep tendon reflexes and weakness are the most common symptoms in almost all patients.

Accidental extravasations (reaction due to leakage or infiltration of drug into the subcutaneous tissues) have been reported in 0.1 to 0.6% of patients. Cancer patients are more prone to drug extravasations because of many reasons during treatment, one being multiple over puncture. Doxorubicin, daunorubicin, mechlorethamine, mitomycin, vinblastine, vincristine and iodorubicin are major drugs causing extravasations. Urinary tract toxicity varies from renal tubular damage by Cisplatin and methotrexate to haemorrhagic cystitis (10%) by cyclophosphamide [71]. An increased incidence of bladder carcinoma is associated with prolonged use of these drugs. Chemotherapeutic drugs can damage directly or indirectly, lung tissue both of endothelial and epithelial cells [72]. Clinical presentations of pulmonary toxicity are acute pneumonitis, pulmonary fibrosis, hypersensitivity pneumonitis, non-cardiogenic pulmonary edema. Hypersensitivity and metabolic disorders are the other side effects associated with anticancer drugs.

CONCLUSION

The anticancer effects of thiosemicarbazones were once solely attributed to the inhibition of ribonucleotide reductase, an enzyme involved in the rate-limiting step of DNA synthesis. However, the mechanism behind this inhibition was initially not described. The ability of thiosemicarbazones to chelate metal ions has now been recognized as a major factor in their antiproliferative effects. The more reasonable explanation for the higher activity by the metal-thiosemicarbazone complexes when compared to free ligands passes through the prevalence of the diffusive mechanism over the active transport mechanism across the membranes. The chelation of the metal ion by the most polar regions of the ligands (the donor atoms) allows an easier uptake by the cell. In vivo analysis indicates that some thiosemicarbazones show potential as chemotherapeutic agents. However, future study is warranted.

REFERENCES

  1. West DX, Swearingen JK, Valdes-Martinez J, Hernandez-Ortega S, El-Sawaf AK, van Meurs F, et al.“Spectral and Structural Studies of Iron(III), cobalt(II,III) and Nickel(II) complexes of 2-pyridineformamide N(4)-methylthiosemicarbazone”. Polyhedron 1999;18:2919-29.
  2. Tarasconi P, Capacchi S, Pelosi G, Cornia M, Albertini R, Bonati A, et al.“Synthesis, spectroscopic characterization and biological properties of new natural aldehydes thiosemicarbazones”. Bioorg Med Chem 2000;8:157-62.
  3. Ghazy SE, Kabil MA, El-Asmy AA, Sherief YA.“Sulfur containing reagent for ion flotation and spectrophotometric determination of palladium(II)”. Anal Lett 1996;29:1215–29.
  4. Dilworth JR, Cowley AH, Donnelly PS, Gee AD, Heslop JM.“Acetylacetonatebis(thiosemicarbazone) complexes of copper and nickel: towards new copper radiopharmaceuticals”. J Chem Soc Dalton Trans 2004;2404–12.
  5. Abou-Hussen AA, El-Metwally NM, Saad EM, El-Asmy AA.“Spectral, magnetic, thermal and electrochemical studies on phthaloylbis(thiosemicarbazide) complexes”. J Coord Chem 2005;58:1735-49.
  6. Lobana TS, Sharma R, Bawa G, Khanna S.“Bonding and structure trends of thiosemicarbazone derivatives of metals-An overview”. Coord Chem Rev 2009;253(7-8):977–1055.
  7. Mendes IC, Costa FB, de Lima GM, Ardisson JD, Garcia-Santos I, Castineiras A, et al.“Tin(IV) complexes with 2-pyridineformamide-derived thiosemicarbazones: Antimicrobial and potential antineoplasic activities”. Polyhedron 2009;28(6):1179–85.
  8. Rivadeneira J, Barrio DA, Arrambide G, Gambino D, Bruzzone L, Etcheverry SB.“Biological effects of a complex of vanadium (V) with salicylaldehydesemicarbazone in osteoblasts in culture: mechanism of action”. J Inorg Biochem 2009;103:633–42.
  9. Kovala-Demertzi D, Papageorgiou A, Papathanasis L, Alexandratos A, Dalezis P, Miller JR, et al.“In vitro and In vivo antitumor activity of platinum(II) complexes with thiosemicarbazones derived from 2-formyl and 2-acetyl pyridine and containing ring incorporated at N(4)-position: Synthesis, spectroscopic study and crystal structure of platinum(II) complexes with thiosemicarbazones, potential anticancer agents”. Eur J Med Chem 2009;44:1296–302.
  10. Belicchi-Ferrari M, Bisceglie F, Buschini A, Franzoni S, Pelosi G, Pinelli S, et al.“Synthesis, structural characterization and antiproliferative and toxic bio-activities of copper(II) and nickel(II) citronellal N4-ethylmorpholine thiosemicarbazonates”. J Inorg Biochem 2010;104:199–206.
  11. Vrdoljak V, Ðilović I, Rubčić M, Pavelić SK, Kralj M, Matković–Čalogović D, et al.“Synthesis and characterisation of thiosemicarbazonato molybdenum(VI) complexes and their In vitro antitumor activity”. Eur J Med Chem 2010;45:38–48.
  12. El-Ayaan U, Youssef MM, Al-Shihry S.“Mn(II), Co(II), Zn(II), Fe(III) and U (VI) complexes of 2-acetylpyridine 4N-(2-pyridyl) thiosemicarbazone (HAPT); structural, spectroscopic and biological studies”. J Mol Stru 2009;936:213–9.
  13. El-Asmy AA, Al-Gammal OA, Saad DA,Ghazy SE.“Metal complexes of 1-(3,4-dihydroxybenzylidine)thiosemicarbazide: Synthesis, spectral, magnetic, thermal and Eukaryotic DNA degradation”. J Mol Stru 2009;934:9–22.
  14. Li M, Zhou J, Zhao H, Chen C, Wang J.“Iron(III) complex of 2-acetylpyrazine thiosemicarbazone: synthesis, spectral characterization, structural studies and antitumoral activity”. J Coord Chem 2009;62(9):1423–9.
  15. Marzano C, Pellei M, Tisato F, Santini C. “Copper complexes as anticancer agents”. Anticancer Agents Med Chem 2009;9:185–211.
  16. Scott MP.“Cancer: a twist in the Hedgehog’s tale”. Nat 2003;425:780-2.
  17. Folkman J, Kalluri R.“Cancer without disease”. Nat 2004;427(6977):787.
  18. Dholakia SP, Suhagia BN, Patel AK, Kapupara PP, Sureja DK.“Review: novel target for cancer therapy”. J Chem Pharm Res 2011;3(4):315-32.
  19. Padhye S, Afrasiabi Z, Sinn E, Fok J, Mehta K, Rath N.“Antitumor Metallothio semi carbazonates: structure and antitumor activity of palladium complex of phenanthrene quinine thiosemi carbazone”. Inorg Chem 2005;44:1154-6.
  20. Saha DP, Padhye S, Sinn E, Newton C.“Metal complexes as antitumor agents 4:synthesis, structure, spectroscopy and in vitro antitumor activity of hydroxynaphtho quinonethiosemi carbazone metal complexes against mcf-7 human breast cancer cell lines”. Indian J Chem 2002;41A:279-83.
  21. Quiroga AG, Ranninger CN. “Contribution to the SAR field of metallated and coordination complexes: Studies of the palladium and platinum derivatives with selected thiosemicarbazones as antitumoral drugs”. Coord Chem Rev 2004;248:119-33.
  22. Zhang H, Thomas R, Oupicky D, Peng F.“Synthesis and characterization of new copper thiosemicarbazone complexes with an ONNS quadridentate system: cell growth inhibition, S-phase cell cycle arrest and proapoptotic activities on cisplatin-resistant neuroblastoma cells”. J Biol Inorg Chem 2008;13:47-55.
  23. Mylonas S, Mamalis A. “Synthesis and antitumor activity of new thiosemicarbazones of 2-acetylimidazo[4,5-b]pyridine”. J Heterocyclic Chem 2005;42(7):1273-81.
  24. Elford HL, Freese M, Passamani E, Morris HP. “Ribonucleotide reductase and cell proliferation. I. Variations of ribonucleotide reductase activity with tumor growth rate in a series of rat hepatomas”. J Biol Chem 1970;245(20):5228-33.
  25. Moore EC, Zedeck MS, Agrawal KC, Sartorelli AC. “Inhibition of ribonucleoside diphosphate reductase by 1-formylisoquinoline thiosemicarbazone and related compounds”. Biochem 1970;9:4492–8.
  26. Yousef TA, Badria FA, Ghazy SE, El-Gammal OA, Abu El-Reash GM.“In vitro and In vivo antitumor activity of some synthesized 4-(2-pyridyl)-3-Thiosemicarbazides derivatives”. Int J Med Med Sci 2011;3(2):37-46.
  27. Zhang HJ, Qian Y, Zhu DD, Yang XG, Zhu HL. “Synthesis, molecular modeling and biological evaluation of chalconethiosemicarbazide derivatives as novel anticancer agents”. Eur J Med Chem 2011;46:4702-8.
  28. El-Zahar MI, El-Karim SSA, Haiba ME, Khedr MA.“Synthesis, antitumor activity nd molecular docking study of novel benzofuran-2-yl pyrazole pyrimidine derivatives”. Acta Poloniae Pharm Drug Res 2011;68(3):357-73.
  29. Sari A, Cukurovali A. “MDA effect of the thiosemicarbazone derivative schif base 1-(1-mesityl-1-methylcyclobutane-3-yl)-2-suksinimido etanonthiosemicarbazone in rabbits”. Int Con Biosci Bioche Bioinformatics IPCBEE 2012.
  30. Patel HD, Divatia SM, De Clereq E. “Synthesis of some novel thiosemicarbazonederiatives having anti-cancer, anti-HIV as well as anti-bacterial activity”. Indian J Chem 2013;52B:535-45.
  31. Serda M, Musiol R, Polanski J. “New thiosemicarbazones based on quinoline scaffold as anticancer iron chelators”. 14th International electronic conference on synthetic organic chemistry (ECSOC 14) 2010.
  32. Padhye SB, Kauffmann GB. “Transition metal complexes of semicarbazones and thiosemicarbazones”. Coord Chem Rev 1985;63:127-60.
  33. West DX, Padhye SB, Sonawane PB. “Structural and Physical correlation in the biological properties of transition metal N-hetero-cyclic thiosemicarbazones and S-alkyldithiocarbazate”. Stru Bonding 1991;76:1-50.
  34. West DX, Padhye SB, Sonawane PB, Chikate RC. “Copper (II) complexes of tridentate (O,N,S) thiosemicarbazones”. Asian J Chem 1990;1:125.
  35. Singh NK, Singh SB, Shrivastava A, Singh SM. “Spectral, magnetic and biological studies of 1,4-dibenzoyl-3-thiosemicarbazide complexes with some first row transition metal ions” In: Proceedings of the Indian Academy of Sciences: Chem Sci 2001;113(4):257-73.
  36. Afrasiabi Z, Sinn E, Chen J, Ma Y, Rheingold AL, Zakharov LN, et al. “Appended 1,2-naphtho-quinone as anticancer agents: synthesis, structural, spectral and antitumor activities of ortho-naphthaquinonethiosemicarbazone and its transition metal complexes”. Inorganica Chimica Acta 2004;357(1):271-8.
  37. Baldini M, Belicchi M, Bisceglle F, Agllo PPD, Pelos G, Pinelli S, et al.“Copper (II) complexes with substituted thiosemicarbazones of α-ketoglutaric acid: synthesis, X-ray structures, DNA binding studies and nuclease and biological activity”. J Inorganic Chem 2004;43:7170-9.
  38. Borges RHU, Paniago E, Beraldo H. “Equilibrium and kinetic studies of iron (II) and iron (III) complexes of some α (N)-heterocyclic thiosemicarbazone: reduction of the iron (III) complexes of 2-formylpyridine thiosemicarbazone and 2-acetyl pyridine thiosemicarbazone by cellular thiol-like reducing agents”. J Inorganic Biochem 1997;65:2267-75.
  39. Subrahmanyam Naidu PV, Prakash MMSK. “Structure and biological activities of novel phytochemicals Cu(ii)-quercetinthiosemicarbazone and its derivatives: potential anti-cancer drugs”. Int J Pharm Med Bio Sci 2012;1(2):55-65.
  40. Jalilian AR, Rowshanfarzad P, Akhlaghi M, Sabet M, Kamali-dehghan M, Pouladi M.“Preparation and Biological Evaluation of a [55Co]-2-Acetylpyridine Thiosemicarbazone”. Sci Pharm 2009;77:567–78.
  41. Lovejoy DB, Jansson PJ, Brunk UT, Wong J, Ponka P, Richardson DR. “Antitumor activity of metal-chelating compound Dp44mT is mediated by formation of a redox-active copper complex that accumulates in lysosomes”. Cancer Res 2011;71(17):1-10.
  42. Kellner U, Sehested M, Jensen PB, Gieseler F, Rudolph P.“Culprit and victim-DNA topoisomerase II”. Lancet Oncol 2002;3:235–43.
  43. Kaufmann SH, Gore SD, Miller CB, Jones RJ, Zwelling LA, Schneider E, et al. “Topoisomerase II and the response to antileukemic therapy”. Leuk Lymphoma1998;29:217–37.
  44. Wei L, Easmon J, Nagi RK, Muegge BD, Meyer LA, Lewis JS. “64Cu-Azabicyclo [3.2.2]Nonane Thiosemicarbazone Complexes: Radiopharmaceuticals for PET of Topoisomerase II Expression in Tumors”. J Nucl Med 2006;47:2034–41.
  45. Adharvanachary M, Mskinthada PM. “Synthesis, charecterization and nuclease activity of Au(III)-complexes of alloxanthiosemicarbazone (All. Tsc) and substituted thiosemicarbazones”. Int J Pharm Biol Arch 2011;2(3):1006-10.
  46. ZhengaLP, Chena CL, Zhoua J, Lia MX, Wua YJ. “Synthesis, crystal structure and antitumor study of an Iron (III) complex of 2-acetylpyrazine N (4)-methylthiosemicarbazone”. Z Naturforsch 2008;63b: 1257–61.
  47. Feng CQ, Ma WL, Zheng WL. “Research advances on effect of arsenic trioxide on tumor”. Aizheng 2002;21:1386-9.
  48. Bahlis NJ, McCafferty-Grad J, Jordan-McMurry I, Neil J, Reis I, Kharfan-Dabaja M, et al. “Feasibility and correlates of arsenic trioxide combined with ascorbic acid-mediated depletion of intracellular glutathione for the treatment of relapsed/refractorymultiple myeloma”. Clin Cancer Res 2002;8:3658-68.
  49. Moghaddam-Banaem L, Jalilian AR, Jamre M, Salek N, Mazidi M, Ghannadi-Maragheh M. “Radiosynthesis of 191Os-2-acetylpyridine thiosemicarbazone complex,as an In vivo therapeutic radionuclide generator”. Iran J Nucl Med 2013;21(2):53-9.
  50. Bakalova A, Buyukliev R, Momekov G, Ivanov D. “Synthesis and cytotoxic activity of new platinum and palladium complexes with 3-amino-α-tetralonespiro-5’-hydantoin”. J Chem Technology Metallurgy 2013;48(6):631-6.
  51. Matesanz AI, Pe´rez JM, Navarro P, Moreno JM, Colacio E, Souza P. “Synthesis and characterization of novel palladium(II)complexes of bis(thiosemicarbazone). Structure, cytotoxic activity and DNA binding of Pd(II)-benzyl bis(thiosemicarbazonate)”. J Inorganic Biochem 1999;76:29–37.
  52. Kalyani P, Adharvanachary M, Kinthada PMMS. “Synthesis, characterization and nuclease activity of Ru(III)-complexes of isatinthiosemicarbazone (Is. Tsc) and substituted thiosemicarbazones”. Int J Pharm Biomed Sci 2012;3(2):70-4.
  53. Gangadharan R, Amritha CS, Anto RJ, Cheriyan VT. “Synthesis, thermal and antitumour studies of Th(IV) complexes with furan-2-carboxaldehyde4-phenyl-3-thiosemicarbazone”. J Serb Chem Soc 2010;75(6):749–61.
  54. Sedaghat S, Ghammamy S, Hosseinzadeh R, Amini Z, Mirrahimi MM.“Synthesis, characterization and antitumor activity of new transition metal and uranyl complexes”. Latest Trends Energy Development Environment Biomedicine 2010;83-6.
  55. Baviskar AT, Madaan C, Preet R, Mohapatra P, Jain V, Agarwal A, et al.“N-fused imidazoles as novel anticancer agents that inhibit catalytic activity of topoisomerase IIα and induce apoptosis in G1/S phase”. J Med Chem 2011;54:5013–30.
  56. Schneider N, Hindle S, Lange G, Klein R, Albrecht J, Briem H, et al. “Substantial improvements in large-scale redocking and screening using the novel HYDE scoring function”. J Comput Aided Mol Des 2012;26:701–23.
  57. Reulecke I, Lange G, Albrecht J, Klein R, Rarey M. “Towards an integrated description of hydrogen bonding and dehydration: Decreasing false positives in virtual screening with the HYDE scoring function”. Chem Med Chem 2008;3:885–97.
  58. Siwek A, Stączek P, Wujec M, Bielawski K, Bielawska A, Paneth P. “Cytotoxic effect and molecular docking of 4-ethoxycarbonylmethyl-1-(piperidin-4-ylcarbonyl)-thiosemicarbazide—a novel topoisomerase II inhibitor”. J Mol Model 2013;19(3):1319-24.
  59. Hanahan D, Weinberg RA. “The hallmarks of cancer”. Cell 2000;100(1):57–70.  
  60. Hodgson S. “Mechanisms of inherited cancer susceptibility”. J Zhejiang Univ Sci B2008;9(1):1–4. 
  61. Perera FP. “Environment and cancer: who are susceptible?”. Sci 1997;278(5340):1068–73. 
  62. Corrie PG, Pippa G. “Cytotoxic chemotherapy: clinical aspects”. Medicine 2008;36(1):24–8. 
  63. http://www.elmhurst.edu/~chm/vchembook/655cancer.html
  64. Rang HP, Dale MM, Ritter JM. “Anticancer drugs”, Text book of Pharmacology. 7th edition; Elsevier 2012.
  65. Brenner GM, Stevens CW. “Antineoplastic drugs”, Text book of Pharmacology. 3rd edition; Saunders Elsevier 2010.
  66. Gupta S, Tannous R, Friedman M. “Incidence of anaemia in CHOP-treated intermediate-grade non-Hodgkin’s lymphoma (IGNHL)”. Euro J Cancer 2001;S94:339.
  67. Hoagland HC, Gastineau DA. “Haematological complications of cancer chemotherapy”, The chemotherapy source book. 2nd ed. Michael C Perry; 1992.
  68. Berg SL, Balis FM, Pop lack DG. “Cancer Chemotherapy: Haematology of infancy and childhood”, 5th ed. Nathan and Oski’s; 1998.
  69. Early DS. “Gastrointestinal complication of chemotherapy”, Cancer chemotherapy source book. Michel C Perrie 2001;3:427-31.
  70. Remesh A. “Toxicities of anticancer drugs and its management”. Int J Basic Clil Pharm 2012;1(1):2-12.
  71. Stillwell TJ, Benson RC. “Cyclophosphamide induced haemorrhagic cystitis”. Cancer 1988;61:451-7.
  72. Kreisman H, Wolkove N. “Pulmonary toxicity of antineoplastic therapy”. Semin Oncol 1992;19:508-20.