Int J Pharm Pharm Sci, Vol 6, Issue 11, 393-395Original Article

A NOVEL SYNTHESIS OF 4-(5-SUBSTITUTED AMINOMETHYL)-1H-TETRAZOL-1-YL) BENZONITRILES

K. VENKATANARSIMHA RAOa, BOINA GOPAL RAOb, BETHANAMUDI PRASANNAba*

aR&D Bharatiyar University, Coimbatore, Tamilnadu, India & Rakshit Pharmaceuticals ltd, Plot no 68/A, Parawada, pin no: 531021, Vishakhapatnam,(AP) India, b,a*Research Center, Chaitanya Post Graduate College (Autonomous), Hanamkonda, Warangal, Telangana state India 506001
Email: prasschem@gmail.com

Received: 07 Jul 2014 Revised and Accepted: 08 Aug 2014


ABSTRACT

Objective: Synthesis of novel 4-(5-substituted amino methyl)-1H-tetrazol-1-yl)benzonitriles from p-aminobenzonitrile

Methods: A series of novel 4-(5-substituted amino methyl)-1H-tetrazol-1-yl)benzonitriles 6(a-f) were prepared starting from p-aminobenzonitrile 1which is protected with acetoxyacetylchloride, and followed by tetrazole formation with CH3SiN3 in DIAD/TPP conditions to form the 1-(4-cyanophenyl)-1H-tetrazol-5-yl) methyl acetate 3. This compound was hydrolyzed, followed by chlorination and treated with different amines to produce the title compounds.

Results: All structures of the newly synthesized compounds were confirmed by IR, NMR, mass spectral studies, and elemental analyses.

Conclusion: We developed a simple and efficient method for the preparation of 4-(5-substituted amino methyl)-1H-tetrazol-1-yl)benzonitriles form p-aminobenzonitrile through protection, tetrazole formation, hydrolysis, chlorination and amination as key steps with good yields and this method is highly useful for the synthesis of biologically potent highly substituted tetrazole derivatives.

Keywords: Acetoxyacetylchloride, Aminobenzonitrile, Trimethylsilylazide, Tetrazole.


INTRODUCTION

Hetrocyclic compounds are considered as the most promising molecules for the design of new drug. Tetrazoles are a class of heterocycles with a wide range of applications that are receiving considerable attention [1]. The synthesis of novel tetrazole derivatives and the investigation of their chemical and biological behavior have gained more importance in the recent decades for biological and pharmaceutical reasons. Recently, several biologically relevant substances incorporating a tetrazole moiety have been developed, for example losartan is an angiotensin II receptor antagonist [2], Tomelukast (L-171883) mimics the cysteinyl glycine terminus of growth hormone LTD 4, also functions as a potent anti asthmatic drug [3] and BMS-317180 is a potent oral agonist of the human growth hormone secretagogue (GHS) receptor [4]. They have found use in pharmaceuticals as lipophilic spacers and carboxylic acid surrogates, which improves oral absorption [5]. Their derivatives were also reported to possess broad spectrum of biological activity in both medicinal and pharmaceutical areas such as antinociceptive [6], antibacterial [7], antifungal [8], anti-HIV, anticancer, immunosuppressive [9], anti-inflammatory [10], antiulcer [11], antiproliferative [12], antiallergic [13] and antianalgesic [14] activities. The tetrazole function is metabolically stable and a close similarity between the acidic character of the tetrazole group and carboxylic acid group have inspired medicinal chemists to synthesize substituted tetrazoles as potential medicinal agents. Various methodologies for preparing compounds with a tetrazole ring system have been developed, among the most important are those based on azides on cyanide reactions.

Prompted by these observations, and as part of our research program aimed at developing new biologically active heterocycles, in this paper, we designed a simple synthetic method for the synthesis of substituted 4-(5-aminomethyl)-1H-tetrazol-1-yl) benzonitriles by the reaction of protected amines with TMSiN3 followed by hydrolysis, chlorination and amination.

MATERIAL AND METHODS

Melting points were recorded on a Stuart SMP30 melting point apparatus and were uncorrected. Column chromatography was performed using silica–gel (100–200 mesh size) purchased from Thomas Baker, and thin layer chromatography (TLC) was carried out using aluminium sheets pre-coated with silica gel 60F254 purchased from Merck. IR spectra (KBr) were obtained using a Perkin Elmer Spectrum100 FTIR spectrometer. 1H NMR (400 MHz) and [13]C NMR (100 MHz) spectra were recorded on a Bruker WM-400 spectrometer in DMSO-d6 with TMS as an internal standard. Mass spectra (ESI) were carried out on a JEOL SX-102 spectrometer. CHN analysis was done by Carlo Erba EA 1108 automatic elemental analyzer. The chemicals and solvents used were of commercial grade and were used without further purification unless otherwise stated.

General Procedures

Synthesis of 2-(4-cyanophenylamino)-2-oxoethyl acetate 2

To a stirred solution of 4-amino benzonitrile 1 (0.68 mol) in DCM as solvent, triethyl amine (TEA) (3.0 mol) was added at 0­­°C and stirred for 15 min. Then acetoxyacetylchloride (1.20 mol) was added at 0°C slowly and stirred for 4 h at room temperature. Completion of the reaction was followed by TLC. The reaction mixture was diluted with water, extracted with DCM, washed with saturated NaHCO3 (2×5 ml) solution, dried over anhydrous sodium sulphate and concentrated under reduced pressure to get crude. The crude was purified by a column chromatography using silica gel (60-120 mesh) with EtOAc-Pet ether (2:8) furnished compound 2.

Yield: 80 %; IR (KBr, cm-1): 1,682, 1,728, and 2,232. 1H NMR (DMSO-d6, 400 MHz): δ 2.15 (s, 3H,-CH3), 4.68 (s, 2H,-CH2), 7.02–7.69 (m, 4H, Ar-H), 10.5 (s, 1H,-NH) ppm. [13]C NMR (DMSO-d6, 100 MHz): δ 21.98, 66.37, 110.14, 120.20, 124.34, 134.77, 143.51, 170.72, 172.75 ppm. ESI–MS (m/z): 218 (M+1). Anal. Calcd for C11H10N2O3: C, 60.55; H, 4.62; N, 12.84. Found: C, 60.52; H, 4.57; N, 12.76.

Synthesis of 1-(4-cyanophenyl)-1H-tetrazol-5-yl) methyl acetate 3

To a solution of compound 2 (0.298 mol) in THF, Triphenylphosphine (TPP) (0.74 mol) and Diisopropyl azodicorboxylate (DIAD) (0.74 mol) were added at 0°C and stirred the reaction mixture for 30 min. Trimethylsiliylazide (0.74 mol) was added drop wise at room temperature, refluxed for overnight. Completion of the reaction was monitored by TLC. After completion the reaction mixture was diluted with EtOAc, washed with ice cold water, separated organic layer, dried over anhydrous Na2SO4 and concentrated under reduced pressure to afforded the crude which was purified by column chromatography over 60-120 mesh silica gel by using 30% ethyl acetate-pet ether as solvent yielded the corresponding compound 3.

Yield: 64 %; IR (KBr, cm-1): 1,678, 2,228; 1H NMR (DMSO-d6, 400 MHz): δ 2.05 (s, 3H,-CH3), 5.40 (s, 2H,-CH2), 7.90 (d, 2H, Ar-H), 8.20 (d, 2H, Ar-H) ppm. [13]C NMR (DMSO-d6, 100 MHz): δ 22.04, 66.89, 113.76, 121.42, 124.45, 134.56, 139.54, 162.24, 172.25 ppm. ESI–MS (m/z): 244 (M+1). Anal. Calcd for C11H9N5O2: C, 54.32; H, 3.73; N, 28.79. Found: C, 54.26; H, 3.65; N, 28.70.

Synthesis of 4-(5-(hydroxy methyl)-1H-tetrazol-1-yl) benzonitrile 4

To solution of compound 3 (0.185 mol) in THF/methanol/water (2:1:1), Lithium hydroxide (0.277 mol) was added at 0°C slowly than stirred the reaction mixture for 30 minutes at room temperature. The completion of reaction was followed by TLC. After completion, solvent was removed under reduced pressure; reaction mixture was diluted with DCM and washed with ice water. Separated the DCM layer and dried over anhydrous Na2SO4, concentrated under reduced pressure to afford the residue. The residue was purified by a column chromatography using 100-200 mesh silica gel with 50% EtOAc-pet ether get pure product 4-(5-(hydroxy methyl)-1H-tetrazol-1-yl) benzonitrile 4 as a white solid.

Yield: 96.7 %; IR (KBr, cm-1): 3,380, 2,232: 1H NMR (DMSO-d6, 400 MHz): δ 4.80-4.85 (d, 2H,-CH2), 6.01(t, 1H,-OH), 7.98 (d, 2H, Ar-H), 8.18 (d, 2H, Ar-H) ppm. [13]C NMR (DMSO-d6, 100 MHz): δ 55.23, 113.62, 119.24, 125.52, 134.92, 138.44, 163.40 ppm. ESI–MS (m/z): 201 (M+1). Anal. Calcd for C9H7N5O: C, 53.73; H, 3.51; N, 34.81. Found: C, 53.64; H, 3.45; N, 34.78.

Synthesis of 4-(5-(chloromethyl)-1H-tetrazol-1-yl)benzonitrile 5

To a stirred solution of compound 4 (0.179 mol) in toluene, thionyl chloride (0.197 mol) was added at room temperature and stirred the reaction mixture for 3 h at reflux temperature. Completion of the reaction was followed by TLC. Reaction mixture was concentrated under vacuo, reaction mixture was poured into ice-cold water and extracted with EtOAc. Collected the the organic layers, washed with aqueous NaHCO3 solution, dried over anhydrous Na2SO4, concentrated under reduced pressure to afford crude compound. The crude compound was purified by a column chromatography using 100-200 mesh silica gel with 30% EtOAc-pet ether furnished the pure product 5.

Yield: 52.0 %; IR (KBr, cm-1): 2,228. 1H NMR (DMSO-d6, 400 MHz): δ 5.2 (s, 2H,-CH2), 8.19 (d, 2H, Ar-H) 8.20 (d, 2H, Ar-H) ppm. [13]C NMR (DMSO-d6, 100 MHz): δ 35.43, 113.78, 119.67, 125.92, 134.67, 138.96, 164.28 ppm. ESI–MS (m/z): 220 (M+1). Anal. Calcd for C9H6N5Cl: C, 49.22; H, 2.75; N, 31.89. Found: C, 49.18; H, 2.69; N, 31.82.

Synthesis of substituted 4-(5-aminomethyl)-1H-tetrazol-1-yl) benzonitriles 6(a-f)

The compound 5 (0.01 mol) was dissolved in DMF, stirred the reaction mixture for few minutes and added aliphatic and substituted aromatic amines (a-f), than heated to reflux temperature for 4-5 h. Completion of the reaction was monitored by TLC, after completion the reaction mixture was concentrated under vacuo, the reaction mixture was poured into ice-cold water and extracted with chloroform, separated the organic layer, washed with water, dried over anhydrous Na2SO4, concentrated under reduced pressure to afford crude compound. The crude compound was purified by a column chromatograph furnished the pure products.

6a: 4-(5-aminomethyl)-1H-tetrazol-1-yl) benzonitrile

Yield: 65.0 %; IR (KBr, cm-1): 3,374, 2,230; 1H NMR (DMSO-d6, 400 MHz): δ 3.2 (s, 3H,-CH3), 5.18 (s, 2H,-CH2), 7.92 (d, 2H, Ar-H), 8.10 (d, 2H, Ar-H) ppm. [13]C NMR (DMSO-d6, 100 MHz): δ 36.23, 49.24, 113.78, 119.27, 126.52, 135.24, 138.62, 165.12 ppm. ESI–MS (m/z): 215 (M+1). Anal. Calcd for C10H10N6: C, 56.07; H, 4.71; N, 39.23. Found: C, 56.01; H, 4.62; N, 39.18.

6b: 4-(5-aminoethyl)-1H-tetrazol-1-yl) benzonitrile

Yield: 62.5 %; IR (KBr, cm-1): 3,382, 2,232; 1H NMR (DMSO-d6, 400 MHz): δ 1.23 (t, 3H,-CH3), 2.78 (q, 2H,-CH2), 5.24 (s, 2H,-CH2), 7.98 (d, 2H, Ar-H), 8.12 (d, 2H, Ar-H) ppm. [13]C NMR (DMSO-d6, 100 MHz): δ 17.24, 45.68, 46.32, 113.82, 119.32, 125.82, 135.46, 138.22, 166.22 ppm. ESI–MS (m/z): 229 (M+1). Anal. Calcd for C11H12N6: C, 57.88; H, 5.30; N, 36.82. Found: C, 57.80; H, 5.21; N, 36.76.

6c: 4-(5-aminophenyl)-1H-tetrazol-1-yl) benzonitrile

Yield: 59.0 %; IR (KBr, cm-1): 3,398, 2,230; 1H NMR (DMSO-d6, 400 MHz): δ 5.26 (s, 2H,-CH2), 6.78-7.22 (m, 5H, Ar-H), 7.82 (d, 2H, Ar-H), 8.02 (d, 2H, Ar-H) ppm. [13]C NMR (DMSO-d6, 100 MHz): δ 44.52, 113.82, 114.24, 119.32, 125.82, 130.25, 130.32, 130.88, 136.72, 137.42, 165.42 ppm. ESI–MS (m/z): 277 (M+1). Anal. Calcd for C15H12N6: C, 65.21; H, 4.38; N, 30.42. Found: C, 65.15; H, 4.29; N, 30.34.

6d: 4-(5-((2-methoxyphenylamino)methyl-1H-tetrazol-1-yl) benzonitrile

Yield: 67.0 %; IR (KBr, cm-1): 3,392, 2,232; 1H NMR (DMSO-d6, 400 MHz): δ 3.86 (s, 3H,-OCH3) 5.22 (s, 2H,-CH2), 6.82-7.12 (m, 4H, Ar-H), 7.92 (d, 2H, Ar-H), 8.12 (d, 2H, Ar-H) ppm. [13]C NMR (DMSO-d6, 100 MHz): δ 42.28, 58.24, 113.80, 114.24, 117.27, 119.62, 122.40, 126.18, 135.26, 137.12, 140.48, 145.25, 165.42 ppm. ESI–MS (m/z): 307 (M+1). Anal. Calcd for C16H14N6O: C, 62.74; H, 4.61; N, 27.44. Found: C, 62.68; H, 4.59; N, 27.39.

6e: 4-(5-((4-chlorophenylamino) methyl-1H-tetrazol-1-yl) benzonitrile

Yield: 70.0 %; IR (KBr, cm-1): 3390, 2234: 1H NMR (DMSO-d6, 400 MHz): δ 5.18 (s, 2H,-CH2), 6.78-6.82 (dd, 2H, Ar-H), 7.42-7.50 (dd, 2H, Ar-H), 7.94 (d, 2H, Ar-H), 8.12 (d, 2H, Ar-H) ppm. [13]C NMR (DMSO-d6, 100 MHz): δ 42.20, 113.42, 115.20, 119.24, 124.36, 127.25, 130.65, 134.16, 138.65, 149.59, 161.34 ppm. ESI–MS (m/z): 311 (M+1). Anal. Calcd for C15H11N6Cl: C, 57.98; H, 3.57; N, 27.05. Found: C, 57.92; H, 3.52; N, 26.94.

6f: 4-(5-((4-bromophenylamino) methyl-1H-tetrazol-1-yl) benzonitrile

Yield: 72.0 %; IR (KBr, cm-1): 3,386, 2,234; 1H NMR (DMSO-d6, 400 MHz): δ 5.20 (s, 2H,-CH2), 6.72-6.84 (dd, 2H, Ar-H), 7.52-7.58 (dd, 2H, Ar-H), 7.98 (d, 2H, Ar-H), 8.18 (d, 2H, Ar-H) ppm. [13]C NMR (DMSO-d6, 100 MHz): δ 42.42, 113.62, 115.20, 119.27, 124.35, 128.32, 131.54, 134.92, 138.62, 149.92, 162.48 ppm. ESI–MS (m/z): 355 (M+1). Anal. Calcd for C15H11N6Br: C, 50.72; H, 3.12; N, 23.66. Found: C, 50.69; H, 3.06; N, 23.60.

RESULTS AND DISCUSSION

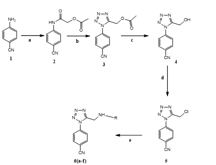
The reaction sequences employed for the synthesis of compounds 6(a–f) are shown in Scheme 1. The compound p-amino benzonitrile 1 protected with acetoxyacetylchloride to form 2-(4-cyano phenylamino)-2-oxoethyl acetate 2 which is reacted with TMSiN3 in the presence of DIAD/TPP gave corresponding tetrazole compound 3. This compound was hydrolyzed with LiOH than followed by chlorinated with thionyl chloride gave the corresponding compound 4-(5-(chloro methyl)-1H-tetrazol-1-yl)benzonitrile 5. Further compound 5 reacted with different amines (a-f) in the presence of basic conditions respectively.

The structures of all the newly synthesized compounds 6(a-f) were established by IR, NMR and mass spectral data. In IR spectra, the presence of –NH band at 3,374–3,394 cm-1 and a sharp absorption band (-CN) around 2,230 cm-1 showed the formation of tetrazole, only on amine group but not cyano group, while 1H NMR showed a singlet at δ 10.32–10.61 ppm due to the –NH proton and all other aromatic/aliphatic protons were observed at the expected regions. The mass spectra detected the expected molecular ion signals corresponding to respective molecular formula of the synthesized compounds. The elemental analyses values were in good agreement with the theoretical data are given in the experimental section.

Scheme 1: Synthesis of substituted 4-(5-aminomethyl)-1H-tetrazol-1-yl) benzonitriles 6(a-f)
Conditions: a) CH3COOCH2COCl (acetoxyacetylchloride)/TEA/DCM; b) Me3SiN3 / DIAD /TPP; c) LiOH/EtOH/ H2O; d) SOCl2/Toluene; e)anhyd. K2CO3/ DMF, R=-Me, Ethyl, Phenyl, 2-Methoxyphenyl, p-Chloro phenyl, p-Bromo phenyl

CONCLUSION

In conclusion, we have developed a simple and efficient method for the preparation of 4-(5-substituted amino methyl)-1H-tetrazol-1-yl)benzonitriles form p-aminobenzonitrile through protection, tetrazole formation, hydrolysis, chlorination and amination as key steps. Further research and applications of the reactions are in progress in our laboratories. We believe that this method is highly useful for the synthesis of biologically potent highly substituted tetrazole derivatives.

CONFLICT OF INTERESTS

Declared None

REFERENCES

  1. Butler RN, Katritzky AR, Rees CW, Scriven EFV. Comprehensive Heterocyclic Chemistry: Vol. 4: Pergamon Press, Oxford, UK; 1996.
  2. García G, Rodríguez-Puyol M, Alajarín R, Serrano I, Sánchez-Alonso P, Griera M, et al. Losartan-antioxidant hybrids: novel molecules for the prevention of hypertension-induced cardiovascular damage. J Med Chem 2009:52:7220-7.
  3. Chu SS, Cannon JR, Eacho PI. Biochem J 1991:280:387-91.
  4. Davulcu A, Mc Leod D, Li J, Katipally K, Littke A, Doubleday W, et al. Process research and development for a tetrazole-based growth harmone secretagogue (ghs) pharmaceutical devolopment candidate. J Org Chem 2009:74(11):4068-79.
  5. Herr RJ. 5-Substituted-1H-tetrazoles as carboxylic acid isosteres: medicinal chemistry and synthetic methods. Bioorg Med Chem 2002:10(11):3379–93.
  6. Rajasekaran A, Thampi PP. Synthesis and antinociceptive activity of some substituted-5-[2-(1,2, 3,4-tetrahydrocarbazol-9-yl)ethyl]tetrazol-1-ylalkanones. Eur J Med Chem 2005:40(12):1359–64.
  7. Demarinis RM, Hoover JRE, Dunn GL. A new parenteral cephalosporin. SK&F 59962:7-trifluoromethylthioacetamido-3-(1-methyl-1H-tetrazol-5-ylthiomethyl)-3-cepham-4-carboxylic acid. Chemistry and structure activity relationships. J Antibiotics 1975:28 (6): 463–70.
  8. Upadhayaya RS, Jain S, Sinha N, Kishore N, Chandra R, Arora SK. Synthesis of novel substituted tetrazoles having antifungal activity. Eur J Med Chem 2004:39(7):579–92.
  9. Dlugosz A. Synthesis and biological activity of pyrimidobenzodiazepine derivatives. New ring systems: triazolo-and tetrazolo-pyrimidobenzodiazepines. Pharmazie 1995:50(3):180–2.
  10. Knaus EE, Kumar P. Synthesis and anti-inflammatory activity of 5-(1,2-dihydropyridyl)-tetrazol-2-aceticacids, esters and amides, Eur J Med Chem 1993:28(11):881–5.
  11. Terashima K, Tanimura T, Shimamura H. Studies on antiulcer agents. II. Antiulcer properties of N-(1H-tetrazol-5-yl)-2-anilino-5-pyrimidinecarboxamides inhibiting release of histamine from passively sensitized rat peritoneal mast cells. Chem Pharm Bulletin 1995:43(6):1042–4.
  12. Gundugola AS, Chandra KL, Perchellet EM, Waters AM, Perchellet JPH, Rayat S. Synthesis and antiproliferative evaluation of 5-oxo and 5-thio derivatives of 1,4-diaryl tetrazoles, Bioorg Med Chem Lett 2010:20(13):3920–24.
  13. Nohara A, Kuriki H, Saijo T, Sugihara H, Kanno M, Sanno Y. Studies on antianaphylactic agents. 5: Synthesis of 3-(1H-tetrazol-5-yl)chromones, a new series of antiallergic substances. J Med Chem 1997:20(1):141–5.
  14. Rajasekaran A, Thampi PP. Synthesis and analgesic evaluation of some 5-[𝛽-(10-phenothiazinyl) ethyl]-1-(acyl)-1,2,3,4-tetrazoles. Eur J Med Chem 2004:39(3):273–9.