aPamukkale University, Faculty of Science-Arts,Department of Chemistry, 20017,Denizli, Turkey, bGedik University, Higher Vocational School of Gedik, Chemical Programme, 34913, İstanbul, Turkey.
Email: isener@pamukkale.edu.tr
Received: 23 Jul 2014 Revised and Accepted: 01 Sep 2014
ABSTRACT
Objective: The aim of the work was to designed and synthesized novel heterocyclic tetrakisazo dyes.
Methods: [(4,4'-dihydrazonebiphenyl)]-bis(3-iminobuthyronitrile) (1) were synthesized by diazotization of benzidine using hydrochloric acid in water. Compounds (1) reacted with hydrazine hydrate to afford the corresponding 4,4'-bis [3-methyl-5-amino-1-H-pyrazol-4-ylazo]biphenyl (2). Seven novel hetaryltetrakisazobenzidine Derivatives 3(a-g) were achieved by diazotization of 4,4'-bis [3-methyl-5-amino-1-H-pyrazol-4-ylazo]biphenyl and coupling with various coupling components.
Results: The obtained hetaryltetrakisazo dyes 3(a-g) were characterized based on FT-IR, 1H-NMR, and mass spectroscopic techniques as well as elemental analysis. The solvatochromic behavior of these dyes in various solvents was examined. Acid-base effects on the visible absorption maxima of the dyes were also reported.
Conclusion: Synthesis and characterization of seven of these nine novel compounds synthesized, which are hetaryltetrakisazo dyes 3(a-g).
Keywords: Diazotization, Solvatochromism, Pyrazole, Diazo-coupling reaction, Tetrakisazo dyes.
INTRODUCTION
Azo dyes constitute the largest class of dyes with the greatest variety of colors, having wide applications in textile, food, paper printing, biomedical, and cosmetics industries [1-6].
Azo compounds are very important due to their brilliant color, excellent light, washing and sublimation fastness, and chromophoric strength, which are the causes of their wide application as high level-dyeing agents in the dyestuff industry [7,8].
Aminopherase is a very important class of heterocycles because of their biological and pharmacological activities. For example, pyrazolopyrimidines and related fused heterocycles are of interest as potential bioactive molecules. Some azopyrazole derivatives can also be used in dyes, biological and pharmacological studies, and complexes [9-16].
It has been well documented that benzidine-based azo dyes are widely used in the dye manufacturing, textile, dyeing, color paper printing, and leather industries [17,18].
The carcinogenicity of aromatic amines has been attributed to their metabolic conversion to electrophiles, such as nitrenium ions, which have the potential to interact with DNA to form covalent bonds [19]. The mutagenicity of these compounds can be reduced or removed. This issue has been previously reported in the literature [20,21] and subsequently developed non-mutagenic benzidines [22-24], non-mutagenic benzidine analogues and azo colorants. One application example is the non-mutagenic black ink jet dye [25-29]. As a extension of our previous work in this area [30-37] in this study we report the synthesis of new hetaryltetrakisazobenzidine dyes.
MATERIALS AND METHODS
Materials
All chemicals were purchased and were used without further purification. Solvents were of spectroscopic grade. Melting points of the synthesis dyes were determined using stuart smp 30 melting point apparatus and are uncorrected. Nuclear magnetic resonance (1H-NMR) spectra were recorded on a Bruker Spectrospin Avance DPX 400 Ultra-Shield 400 MHz spectrometer at room temperature in deuterated dimethylsulphoxide (DMSO-d6) using tetramethylsilane (TMS) as the internal standard. Chemical shifts are (δ) given in ppm. FT-IR spectra were recorded on a Mattson 1000 FT-IR spectrometer as KBr pellets. LC-ESI-MS analyses were recorded on an Agilent 1100 MSD. Elemental analyses were done on a Leco CHNS-932 analyzer. UV-visible absorption spectra were recorded on an ATI Unicam UV-100 spectrophotometer over the range of λ between 300-700 nm. The wavelengths of maximum absorption (λmax) were investigated in various solvents such as dimethylsulphoxide (DMSO), dimethylformamide (DMF), acetonitrile, methanol, acetic acid, and chloroform at various concentrations (1 x 10-6 – 1 x 10-). Change of (λmax) was also investigated when 0.1 mL of base (potassium hydroxide, ) or 0.1 mL of acid (hydrochloric acid, ) was added to 1 mL of the dye solution in methanol.
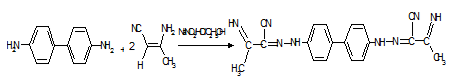
0.0.1 SynthesisSynthesis of [(4,4'-dihydrazone biphenyl)]-bis(3-imino buthyronitrile) (1)
Nitrous acid was prepared by dissolving sodium nitrite ( 10 mmol) in water (3.0 mL) and was cooled down to 0-5 oC. Benzidine (0.92 g, 5 mmol) was dissolved in concentrated hydrochloric (3 mL) acid and water rapidly cooled in ice bath. The nitrous acid at between 0-5 oC was poured in portions over 30 min. Into this solution. The reaction mixture was stirred for 2h. at this temperature. The resulting diazonium salt solution was then added dropwise to a well-cooled and stirred solution of 3-aminocrotononitrile (0.82 g, 10 mmol) in sodium acetate (2 g) dissolved in 15 mL ethanol and 10 mL water. The pH of the coupling mixture, in each case, was maintained at 5-6 through the coupling process by adding sodium acetate. Stirring was continued for 4h. at 0-5 oC. The precipitated products separated upon dilution with cold water (50 mL) were filtered off, washed with water several times, and dried. The obtained product was recrystalized from DMF-H2O mixture (2:3 by volume) to give [(4,4'-dihydrazone biphenyl)]-bis(3-iminobuthyronitrile) (1) as red crystals, yield 1.44 g (78%), mp: 289 oC dec. Anal. Cal. for C20H18N8; C: 64.86%; H: 3.24%; N: 30.37%. Found: C: 64.35%; H: 3.52%; N: 29.86%. IR (KBr) υ (cm-1): 3435, 3321 (-NH); 3057 (Aromatic C-H); 2970 (Aliphatic C-H); 2207 (C=N). 1H-NMR (DMSO-d6, 25 oC) δ(ppm): 2.45 (6H, s, pyrazole-CH3); 2.80 and 2.90 (2H, s, =NH); 7.60-7.80 (8H, dd, Ar-H); 12.36 (2H, b, hydrazo-NH). MS m/z (M+): 370. The general route is outlined in Scheme 1.
Scheme 1: Synthesis of compound (1)
Synthesis of 4, 4'-bis [3-methyl-5-amino-1-H-pyrazol-4-ylazo] biphenyl (2)
Hydrazine hydrate (0.5 mL) was added to a solution of (1) (0.083 g, 0.225 mmol) in 20 ml ethanol. The reaction mixture was heated under reflux for 3-4h., then cooled at room temperature. Water was added and the resulting precipitate product was filtered off, washed with water several times, and dried. The obtained product was recrystalized from DMF-H2O mixture (2:3 by volume) to give 4,4'-bis [3-methyl-5-amino-1-H-pyrazol-4-ylazo] biphenyl (2) as dark red crystals, yield (69%), mp: 343 oC dec. Anal. Cal. for C20H20N10; C: 60.00%; H: 5.00%; N: 35.00%; Found: C: 59.21%; H: 5.61%; N: 34.25%. IR (KBr) υ (cm-1): 3446 (-NH); 3310-3195 (-NH2); 3100-3050 (Aromatic C-H); 2970 (Aliphatic C-H). 1H-NMR (DMSO-d6, 25 oC) δ(ppm): 2.35, 3.32 (6H, s, pyrazole-CH3); 6.06, 7.10 (4H, b, pyrazole-NH2); 7.51-8.24 (8H, dd, Ar-H); 11.65-12.17 (2H, b, pyrazole-NH). MS m/z (M+): 400. The general route is outlined in Scheme 2.
Scheme 2: Synthesis of heterocyclic amine derivative (2)
Synthesis of hetaryltetrakisazo dyes 3 (a-g) Synthesis of 4,4'-bis [3-methyl-5-(2'-hydroxynaphthaline-1'-ylazo)-1-H-pyrazole-4-ylazo] biphenyl (3a).
Nitrosylsulphuric acid was prepared by dissolving sodium nitrite ( 2.5 mmol) in concentrated sulphuric acid (4.0 mL) at 70 oC and was cooled down to -5 oC. 4,4'-bis [3-methyl-5-amino-1-H-pyrazol-4-ylazo] biphenyl (2) (0.25 g, 0.625 mmol) was dissolved in hot glacial acetic acid (4 mL) and rapidly cooled in ice bath. The nitrosylsulphuric acid at between 0-5 oC was poured in portions over 30 min. into this solution. The reaction mixture was stirred for 2h. at this temperature.
The resulting diazonium solution was added in portions over 30 min. to a vigorously stirred solution of β-Naphthol (0.18 g, 1.25 mmol) in aqueous KOH (0.05 g, 1.25 mmol). The progress of the reaction was followed by thin layer chromatography (TLC) using a ethyl acetate: n-hexane mixture (1:1 by volume) as developing solvent and silica gel TLC plates as the stationary phase. By simultaneous addition of sodium acetate, the pH of the reaction mixture was maintained at 5.0-6.0 and the mixture was stirred for 2h. at between 0-5 oC. The resulting solid was filtered, washed with cold water, and dried.
The obtained product was recrystalized from DMSO-H2O mixture to give 4-4'-bis [3-methyl-5-(2'-hydroxynaphtaline-1'-ylazo)-1-H-pyrazole-4-ylazo] biphenyl (3a) as red yellow crystals, yield (64%), mp: 240 oC dec. Anal. Cal. for C40H30N12O2; C: 67.60%; H: 4.22%; N: 23.66%; Found: C: 66.97%; H: 4.01%; N: 23.24%. IR (KBr) υ (cm-1): 3369 (-OH); 3206 (-NH); 3057 (Aromatic C-H); 2970 (Aliphatic C-H).1H-NMR (DMSO-d6, 25oC) δ(ppm): 2.25 (3H, s, pyrazole-CH3); 2.55 (3H, s, pyrazole-CH3); 7.50-7.90 (20H, m, Ar-H); 13.30 (2H, b, -OH); 13.40 (2H, b, hydrazo-NH). MS m/z (M+): 710.
The above procedure was also used to synthesize dye 3(b-g). The general route of synthesized dyes is outlined in Scheme 3.
2 Scheme 3: Synthesis of tetrakishetarylazobenzidine derivatives.
Synthesis of 4,4'-bis [2',4'-dihyroxyquinoline-3'-ylazo)-1-H-pyrazole-4-ylazo] biphenyl (3b).
Red-brown solid crystal, yield 0.265 g (62%), mp: 255 oC dec. Anal. Cal. for C38H28N12O2; C: 66.60%; H: 4.09%; N: 24.56%; Found: C: 66.30%; H: 3.86%; N: 24.23%. IR (KBr) υ (cm-1): 3400 (-OH); 3200 (-NH); 3090 (Aromatic C-H); 2954 (Aliphatic C-H).1H-NMR (DMSO-d6, 25oC) δ(ppm): 2.74 (3H, s, pyrazole-CH3); 2.91 (3H, s, pyrazole-CH3); 7.21 (2H,b, -OH); 7.54-8.25 (18H, m, Ar-H and -OH); 11.6, 13.4 (2H, s, hydrazo-NH). MS m/z (M+): 684.
Synthesis of 4,4'-bis [3-methyl-5-(3'-methyl-5'-hydroxy-1'H-pyrazole-4'-ylazo)-1-H-pyrazole-4-ylazo] biphenyl (3c)
Brown solid crystal, yield 0.258 g (67%), mp: 340 oC dec. Anal. Cal. for C28H26N16O2; C: 38.18%; H: 4.20%; N: 36.24%; Found: C: 38.85%; H: 4.06%; N: 36.06%. IR (KBr) υ (cm-1): 3368 (-OH); 3199 (-NH); 3020 (Aromatic C-H); 2922 (Aliphatic C-H).1H-NMR (DMSO-d6, 25 oC) δ(ppm): 1.35, 2.40, 3.31, 3.63 (12H, s, pyrazole-CH3); 7.60-8.01 (12H, m, Ar-H and pyrazole-N-H); 12.7 (2H, s, -OH). MS m/z (M+): 618.
Synthesis of 4,4'-bis [3-methyl-5-(4'-hydroxy-6'-methyl-2'-pyrone-3'-ylazo)-1-H-pyrazole-4-ylazo] biphenyl (3d)
Light-red solid crystal, yield 0.286 g (68%), mp: 262 oC dec. Anal. Cal. for C32H26N12O6; C: 56.72%; H: 3.84%; N: 24.81%; Found: C: 55.96%; H: 3.72%; N: 24.12%. IR (KBr) υ (cm-1): 3374 (-OH); 3199 (-NH); 3020 (Aromatic C-H); 2970 (Aliphatic C-H).1H-NMR (DMSO-d6, 25 oC) δ(ppm): 1.25; 2.40 (6H, s, pyrazole-CH3); 2.70, 2.82 (6H, s, pyron-CH3); 7.80-8.20 (10H, m, Ar-H and N-H); 12.40 (2H, b, -OH). MS m/z (M+): 677.
Synthesis of 4,4'-bis [3-methyl-5-(8'-hydroxyquinoline-7'-ylazo)-1-H-pyrazole-4-ylazo] biphenyl (3e)
Brown solid crystal, yield 0.32 g (72%), mp: 247 oC dec. Anal. Cal. for C38H24N14O2; C: 64.04%; H: 3.93%; N: 27.52%; Found: C: 63.25%; H: 3.84%; N: 27.01%. IR (KBr) υ (cm-1): 3401 (-OH); 3212 (-NH); 3010 (Aromatic C-H); 2922 (Aliphatic C-H).1H-NMR (DMSO-d6, 25 oC) δ(ppm):1.35, 2.46 (6H, s, -CH3); 7.14-8.05 (20H, m, Ar-H and -NH);12.35 (2H, b, -OH). MS m/z (M+): 712.
Synthesis of 4,4'-bis [3-methyl-5-(2'-hydroxypyridine-3'-ylazo)-1-H-pyrazole-4-ylazo] biphenyl ()
Pink solid crystal, yield 0.29 g (76%), mp: 317 oC dec. Anal. Cal. for C30H24N14O2; C: 58.82%; H: 3.92%; N: 32.02%; Found: C: 57.69%; H: 3.45%; N: 31.68%. IR (KBr) υ (cm-1): 3374 (-OH); 3204 (-NH); 3020 (Aromatic C-H); 2950 (Aliphatic C-H).1H-NMR (DMSO-d6, 25 oC) δ(ppm): 2.35, 2.60 (6H, s, pyrazole-CH3); 7.60-8.20 (14H, m, Ar-H); 12.45 (2H, b, hydrazo-NH); 13.2 (2H, b, -OH). MS m/z (M+): 612.
Synthesis of 4,4'-bis [3-methyl-5-(4'-hydroxycoumarine-3'-ylazo)-1-H-pyrazole-4-ylazo] biphenyl (3g)
Bordo solid crystal, yield 0.34 g (73%), mp: 233 oC dec. Anal. Cal. for C38H26N12O6; C: 61.12%; H: 3.48%; N: 25.52%; Found: C: 61.86%; H: 3.85%; N: 22.14%. IR (KBr) υ (cm-1): 3400 (-OH); 3206 (-NH); 3010 (Aromatic C-H); 2970 (Aliphatic C-H).1H-NMR (DMSO-d6, 25 oC) δ(ppm): 1.32, 2.35 (6H, s, pyrazole-CH3); 7.20-8.45 (16H, m, Ar-H); 12.20 (2H, b, hyrazo-NH); 13.15 (2H, b, -OH). MS m/z (M+): 746.
RESULTS AND DISCUSSION
In our earlier studies, carbocyclic and heterocyclic amine substituted azo dyes and some tetrakisazocalix[4]arene derivatives were investigated [30-37]. In this paper, the synthesis of some tetrakisazobenzidine derivatives 3(a-g) has been reported. The compounds of seven new hetaryltetrakisazobenzidines 3(a-g) were prepared by coupling different coupling components with diazotized heterocyclic amine (2) in nitrosylsulphuric acid. First, [(4,4'-dihydrazone biphenyl)]-bis(3-iminobuthyronitrile) was prepared by reaction of benzidine with 3-aminochrotonitrile and, second, the 4,4'-bis [3-methyl-5-amino-1-H-pyrazol-4-ylazo] biphenyl as heterocyclic amine was obtained from treatment with hydrazine hydrate according to the same method given in the literature [38-45]. At the third stage, the heterocyclic diazonium salts were derived from heterocyclic amine (2). Later, 1.0 equivalent heterocyclic diazonium salt (2) reacted with 2.0 equivalents of coupling components in KOH/H2O mixture to obtain the corresponding hetaryltetrakisazobenzidine derivatives 3(a-g). The synthetic route related to all compounds is summarized in Scheme 1, 2, and 3. By purification of the reaction mixtures, the seven hetaryl tetrakisazobenzidine derivatives have been obtained in 62-76% yield.
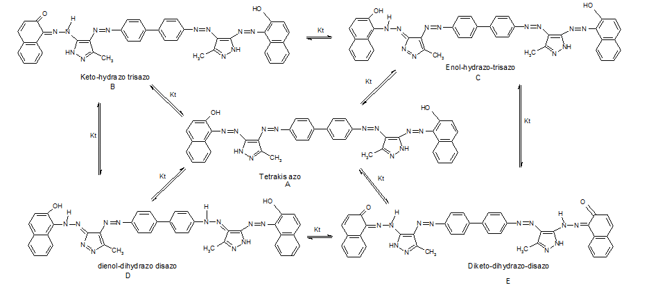
The obtained products from the above-mentioned reactions were characterized using elemental analysis, mass, FT-IR and 1H-NMR spectral data. The hetaryltetrakisazobenzidine derivatives 3(a-g) may exist in five possible tautomeric forms, which are a tetrakisazo form, a keto-hydrazo-trisazo form, an enol-hydrazo-trisazo form, a dienol-dishydrazo-disazo form, and a diketo-dishydrazo-disazo form named A, B, C, D, and E, respectively, as shown in Scheme 4.
The infrared spectra of synthesized compound (1) exist as –NH stretching vibration at 3435-3321 cm-1 and CN stretching at 2207 cm- the IR spectra of compound (2) exist -NH and NH2 stretching vibrations at 3446 and 3310-3195 cm-1. The disappearance of the -CN strecthing vibration in IR spectrum of compounds (1) and the presence of NH2 stretching vibration in compound (2) also confirmed the formation of (2). The infrared spectra of all the compounds 3(a-g) showed a band in the range of 3368-3401 cm-1 corresponding to νOH, a band located 3199-3212 cm-1 corresponding to νNH. Others νmax values at 3010-3057 cm-1 assigned to aromatic C-H, and a band located at 2922-2970 cm-1 assigned to aliphatic C-H, 1575-1582 cm-1 (N=N), 1090-1120 cm-1 (C-O), were also recorded.
Because the infrared spectra of all compounds showed -OH bands at 3368-3401 cm-1 and (C-O) bands 1090-1120 cm-1, it can be suggested that these compounds do not exist as the diketo-dishydrazo-disazo form in E in the solid state.
Scheme 4: The tautomeric form of tetrakishetarylazo dyes
The structures of 3(a-g) were examined by using high-resolution NMR. The 1H-NMR spectrums were measured in DMSO-d6 at 25 oC.
1H-NMR spectrum of compound (1) exhibited a singlet peak for the pyrazole- CH3 at 2.45 ppm, the imino groups (=NH) at 2.80 and 2.90 ppm, a doublet peak at 7.60-7.80 for the aromatic protons (Ar-H), and a singlet peak at 12.36 ppm for the hydrazo -NH. Treatment of compound (1) with hydrazine hydrate resulted in the formation of 4,4'-bis [3-methyl-5-amino-1-H-pyrazol-4-ylazo] biphenyl (2) in good yield (69%). 1H-NMR- spectrum of this compound displayed well-defined resonances corresponding as expected to signals of the precursor compound (2). The signal of methyl proton of pyrazole showed two singlet peaks at 2.35 and 3.32 ppm because of cis-trans configuration, a singlet peak for the pyrazole –NH2 at 6.06 and 7.10, at 7.51-8.24 ppm for the aromatic protons, and singlet peaks at 11.65 and 12.17 for the hydrazo tautomer of these compounds. The mass spectrum and elemental analyses data of compounds (1) and (2) indicate the formation of desired compund (2).
The 1H-NMR spectra of all compounds 3(a-g) and (2) showed two singlet peak for methyl protons (pyrazole-CH3) at between 1.25-2.91 ppm. The (3c) and (3d) showed two singlet peaks for methyl protons (hyroxypyrazole-CH3) and (pyrone-CH3) at between 3.31-3.63 ppm and 2.70-2.82 ppm. The 1H-NMR spectra of all compounds 3(a-g) showed a multiplet peak at between 7.14-8.25 ppm for aromatic protons (Ar-H). The 1H-NMR spectra of dyes 3(a-g) showed for hydroxyl protons (-OH), (-NH) protons, and also tautomeric hydrazo (-NH) proton. The 1H-NMR spectra of dyes 3c, 3d, 3e showed only NH proton, but did not show hydrazo NH proton. According to 1H-NMR results, dyes named as 3a, 3b, 3f, and 3g have a mixture of keto-hydrazo-trisazo (B) and enol-hydrazo-trisazo (C), dienol-dihydrazo-disazo (D) and diketo-dihydrazo-disazo (E) four tautomeric forms, but not phenol-hydrazone (A) tautomeric form. The dyes named as 3c, 3d, and 3e present as a tetrakisazo (A), only one tautomeric form in DMSO-d6, as depicted in Scheme 4.
UV-Visible analysis
In general, tautomeric equilibrium strongly depends on the nature of the media. Therefore, the behavior of tetrakisazo dyes was studied in various solvents. Because of solubility problems, the absorption spectra of disazo dyes 3(a-g) were measured in various solvents at a concentration of approximately (10-6-10-). Solvents used for the UV measurements have different dielectric constants (ε), i. e. DMSO (ε,46.45), DMF (ε, 36.71), acetonitrile (ε, 35.94), methanol (ε, 32.66), acetic acid (ε, 6.17) and chloroform (ε, 4.89) [46]. The results obtained from the absorption measurements are given in Table 1. The visible absorption spectra of the dyes did not have correlation with the polarity of solvents. The only plausible explanation for this irregular behavior may be due to the supermolecule structure of these dyes with intramolecular hydrogen bonding, having great potential of interacting with the solvent molecules through non-covalent or non-conventional interactions [47]. It is known that the ground state for nearly all molecules is less polar than the excited state so that a polar solvent will tend to stabilize in the excited state more than in the ground state [47]. It was found that, as the polarity of the solvents was increased with the increasing dielectric constant of the solvents, the absorption maxima of dyes generally indicated small bathochromic shifts.
Table 1: Influence of solvent on λmax (nm) of dyes
| Dye
no. |
DMSO | DMF | Acetonitrile | Methanol | Acetic acid | Chloroform |
| 1 | 420 | 442, 353s | 401 | 392, 324s | 404 | 417 |
| 2 | 450 | 446, 333s | 431, 395s | 427, 397s | 391, 426s | 420 |
| 3a | 382, 454s | 377, 447s | 369, 442s | 371, 434s | 374 | 373, 433s |
| 3b | 370,445 | 373, 441s | 433 | 372, 443s | 371, 428s | 354,431, |
| 3c | 334, 387s, 453s | 377, 445s | 435 | 426, 386s | 367, 427s | 324, 429s |
| 3d | 446, 368s | 443, 375s | 433 | 423, 394s | 371, 432s | 324, 435s |
| 3e | 384, 455s | 381, 445s | 370,430 | 374,429, 316s | 377,434 | 322,437, 377s |
| 3f | 449, 386s | 441, 380s | 433 | 426, 399s | 377, 426s | 355, 427s |
| 3g | 448,335, 384s | 331,377, 442s | 435 | 426, 391s | 368, 426s | 322, 429s |
s: shoulder
The dyes generally showed bathochromic shifts in most polar solvents, such as DMSO and DMF. The spectral shifts of dye 3a and in various solvents are depicted in Fig. 1 and Fig. 2, respectively.

It was observed that λmax of the dyes shifted hypsochromically in acetic acid with respect to the λmax in methanol except for dyes 3a, and 3e. λmax values of dyes in DMSO and DMF were shifted bathochromically with respect to the λmax in methanol except for 3c. λmax values of dyes in DMF were shifted bathochromically with respect to the λmax in methanol except for 3g. For example, the absorption maxima of 3a was observed at 374 nm in acetic acid, 382 nm in DMSO, 377 nm in DMF, and 371 nm in methanol, respectively (Fig. 1).
The λmax of dyes 3a did not change significantly in the solvents used for the absorption measurements. The absorption spectra of prepared dyes showed a maximum absorption peak with a shoulder in all solvents except for acetonitrile. Dye 3b in DMSO and acetonitrile solvents showed two maximum absorption peaks; 3b, 3c, 3d, and 3g in acetonitrile solvent showed one maximum absorption peak except for 3e. This suggests that these dyes present more than one tautomeric form. Typical examples of these results are given in Fig. 1 and Fig. 2

The effects of the acid and base on the absorption spectrum of the dye solutions were investigated and the results were depicted in Table 2.
The absorption spectra of the dyes in methanol were quite sensitive to the addition of base (potassium hydroxide, ). Therefore, the λmax of dyes 3(a-g) showed bathochromic shifts with the addition of base to methanol. For example, λmax of 3a was recorded at 371 nm in methanol and 392 nm in methanol + KOH. λmax of was recorded at 426 nm in methanol and 432 nm in methanol + KOH (Fig.3).


Fig. 4: Absorption spectra of dye in acidic and basic solutions
When hydrochloric acid () was added to the dye solutions in methanol, hypsochromic shifts were detected, except for 3a and 3b. The λmax of was observed at 426 nm in methanol and 385 nm in methanol + HCl. These results indicate that the tautomeric form in methanol changed with another tautomeric form in acidic and basic solution. Typical examples of these results are given in Fig. 3 and Fig. 4
Table 2. Absorption maxima of dyes in acidic and basic solutions
| Dye
no. |
Methanol | Methanol
+ KOH |
Methanol
+ HCl |
Chloroform | Acetic acid |
| 1 | 392, 324s | 412, 352s | 390 | 417 | 404 |
| 2 | 427, 397s | 429, 389s | 383, 425s | 420 | 391, 426s |
| 3a | 371, 434s | 392, 450s | 372, 432s | 373, 433s | 374 |
| 3b | 372, 443s | 433, 394s | 377, 433s | 354,431, | 371, 428s |
| 3c | 426, 386s | 430, 390s | 381, 431s | 324, 429s | 367, 427s |
| 3d | 423, 394s | 432, 393s | 386, 436s | 324, 435s | 371, 432s |
| 3e | 429, 374s | 393, 442s | 372, 444s | 322,437, 377s | 377,434 |
| 3f | 426, 399s | 432, 396s | 385, 430s | 355, 427s | 377, 426s |
| 3g | 426, 391s | 431, 393s | 382, 436s | 322, 429s | 368, 426s |
s: shoulder
CONCLUSION
In summary, the synthesis and characterization of seven of these nine novel compounds synthesized, which are hetaryl tetrakisazobenzidine based dyes 3(a-g), were studied by means of FT-IR, 1H-NMR, and mass spectroscopic techniques as well as elemental analysis. Heterocyclic diazonium salts were derived from heterocyclic amines (2) in nitrosylsulphuric acid, and reacted with 2 equivalent coupling components in KOH/H2O mixture to afford hetaryltetrakisazo dyes 3(a-g).
CONFLICT OF INTERESTS
The authors have declared that there is no conflict of interests.
ACKNOWLEDGMENT
The authors are grateful to the Scientific Research Projects Council of Pamukkale University (PAU. BAP, 2010FBE003, 2010FBE091).
REFERENCES