1Instituto de Pesquisas de Produtos Naturais, Centro de Ciências da Saúde, Universidade Federal do Rio de Janeiro, CEP 21941-971 Rio de Janeiro, Brasil.
Email: antonybarbosa@hotmail.com
Received: 09 Jul 2014 Revised and Accepted: 14 Aug 2014
ABSTRACT
Albizia species (Family – Fabaceae) are endemic in tropical America, Africa and Southeast Asia. Albizia lebbeck, Albizia julibrissin, Albizia gummifera, Albizia chinensis, Albizia adiathifolia and Albizia proceraare some importantly considered species in the traditional medicine. These species are used in folk medicine for the treatment of rheumatism, stomach ache, cough, diarrhea, wounds, anthelmentic and others. Saponins are the main compound present in species of this genus and showed many pharmacological properties as antioxidant, antidiabetic, anthelmentic, antibacterial, hepato protective, anti-inflammatory and cytotoxic. The present investigation reviews the main saponins pharmacologically active of species of the genus Albizia.
Keywords: Albizia, Saponins, Pharmacology properties.
INTRODUCTION
Albizia is a genus that has small to large trees (up to 30m), simpodal growth, usually with a short trunk and a broad crown. Albizia has a discontinuous distribution, the most highly diverse in tropical America, then Africa (including Madagascar), Southeast Asia and Malaysia. Based on observations of herbarium collections 33 species are recognized from the southern United States to Argentina [1].
Albizia is a tropical genus that includes at least 470 names. Lewis and Rico Arce, 2005 reported 120-140 species. The first classification of Albizia was performed by Bentham (1875), although many current Albizia species were originally included in the genus Acacia and Pithecellobium. Bentham (1875) included nine genus in the tribe Ingeae:. Affonsea St. Hill, AlbiziaDurazz, Archidendron F. Muell, CalliandraBenth, Enterolobium Mart, Inga Willd, Lysiloma Benth, Serianthes Benth and Pithecellobium Mart. Barne by & Grimes (1996, 1997) and Barneby (1998) reclassified the tribe Ingeae focusing in the New World species and genera placed in five informal alliances. New vegetative considerations such as branching pattern and developmental stages of vegetative and floral buds were used to allow greater phylogenetic analysis.
Saponins are secondary metabolites of glycosidic nature widely distributed in higher plants but also found in some animal sources as marine invertebrates. Saponins possess a wide range of pharmacological properties including expectorant, antiinflammatory, vaso protective, hypocholesterolemic, immunomodulatory, hypoglycemic, molluscicidal, antifungal, antiparasitic and many others. Another important application of saponins is their use as adjuvants in the production of vaccines and some steroidal sapogenins served as economically important raw materials for the pharmaceutical industry in the production of steroidal hormones. The main saponins isolated from Albizia genus are triterpenoid saponins. There are no reports on the literature about the isolation of steroidal saponins of species of this genus [2].
Important biological activities have been reported as to crude extracts and as to purified substances of species of this genus. Alcoholic extracts and/or hydroalcoholic of Albizia species showed anticonvulsant, sedative, anti-inflammatory, antitumor, antifungal, antibacterial and antiparasitic activity [3].
Albizia lebbeck benth
Albizia lebbeck Benth. is a large upright tree with falling leaves and widely distributed in India and Bangladesh where it receives the name of "Sirisa" and can also be found in South Africa and Australia [4]. Virtually all parts of the tree are used in the composition of folk remedies for abdominal tumors, boils, cough, eye diseases, flu and lung diseases. The seed oil is used for leprosy and the swelling powder. Indians use the flowers for spermatorrhea. It has astringent, rejuvenating and tonic action. Ethanol extracts of A. lebbeck showed anticonvulsant activity since saponins isolated from the leaves showed neurotropic and anxiolytic activity in albino mice, and inhibits mast cell degranulation [5]. Its bark has been used as an ingredient in "Ayurvedic Kadha" used to treat asthma for over 2000 years. A decoction of the bark also protects against broncho constriction induced by acetylcholine and histamine. Its antitussive action and the ability to prevent bronchospasm induced by allergens are also reported. Furthermore, it is known to be useful in the treatment of allergic conjunctivitis and atopic allergy [6].
Albizialebbeck extracts showed considerable metabolic wealth as catechins, kaempferol, quercetin, lupeol, α-amyrine, saponins (Albiziasaponins A, B, and C) (Fig. 1), triterpenoids, and an unusual glycoside Albizinin [7].
Albizia julibrissin durazz
Albizia julibrissin species, commonly called Mimosa or Silk Tree, are widely distributed in Asia, Africa, Australia and America tropical and subtropical [8]. It is native to Asia from Iran to Japan. A. julibrissin is a tree-shaped umbrella reached 6 meters high. The bark is greenish gray color with vertical stripes when older. The leaves are bipinnate, 20-45 cm in length and 25 cm in width 12 divided into 4-12 pairs of pinnae, each with 10-30 pairs of leaflets and the leaflets are oblong, length 6-12 mm and 1-4 mm ample.
From June to July, inflorescence of attractive pink flowersare produced on top of the branch with intense perfume, featuring a source of nectar for bees. The fruit consists of A. julibrissin flat pods with bulging seeds, each pod measuring 8-18 cm long and 1.5-2.5 cm wide and can be seen from June to February. Since the seeds are typically oval-shaped, approximately 1.25 cm long, are produced by the pod [9].
Albizia julibrissin Durazz. is used in folk medicine as a sedative and anti-inflammatory agent and in traditional Chinese medicine, has been used together with Polygonimultiflori caulis and Ganoderma for the treatment of insomnia. In modern pharmacology exhibits antitumor activity, immunomodulatory and anti-platelet effects. The extract of the rind is a sedative and anti-inflammatory for the treatment of pain and swelling of the lungs, skin ulcers, wounds, bruises, abscesses, boils, hemorrhoids and fractures drug, and has shown cytotoxic activity [10]. Flowers have been commonly used to treat depression, anxiety and insomnia. The seeds are a source of oil, and are used as feed for animals. Similarly, the seeds of which exhibit proteolytic enzymes readily coagulate milk without developing any bitterness in cheese after 3 months of ripening [11].
Fig. 1: Structure of three saponins isolated from Albizia lebbeck, Albizia saponina A, B and C
Chemical constituents of several classes of secondary metabolites have been isolated from A. julibrissin. Flavonoids, lignans and tannins are the main groups obtained, however saponins are the main chemical markers of Albizia species in question. Over sixty triterpenoids compounds were isolated from this genus, some with significant cytotoxic and antitumor effect.
Most aglycone is the type of oleanolic acid substitution oligosaccharides in positions C-3, C-21 and C-28 to form tritepenoid saponins. In the sugar chain at C-28, all saponins are replaced with Glc-(1 → 3) - [Ara-(1 → 4)]-Rha-(1 → 2)-Glc. The sugar chain at C-3, on the other hand, has six options Xyl-Ara/Fuc-GlcXyl-Ara/Fuc-Glc (2-NHAc) and Xyl-Ara/Fuc- (Glc) Glc, as for the sugar chain at C-21, there are only two types of sugars (Qui or Xyl) [12].
Extracts of the bark and stems from A. julibrissin showed some triterpenoid saponins that is acylated with acid groups linked and aglycon of monoterpenes. Some of these saponins exhibited remarkable inhibitory activity against cancer cell lines in vitro (Fig. 2) [13].
Fig. 2: Structure of three complex triterpenoid saponins of Albizia julibrissin, Julibroside J32, Julibroside J35 and Julibroside J36
Four saponins were isolated from A. julibrissin, J5, J8, J12 and J13 (Fig. 3). The J8 and J13 saponins showed significant cytotoxic activity against cancer cell lines [14].
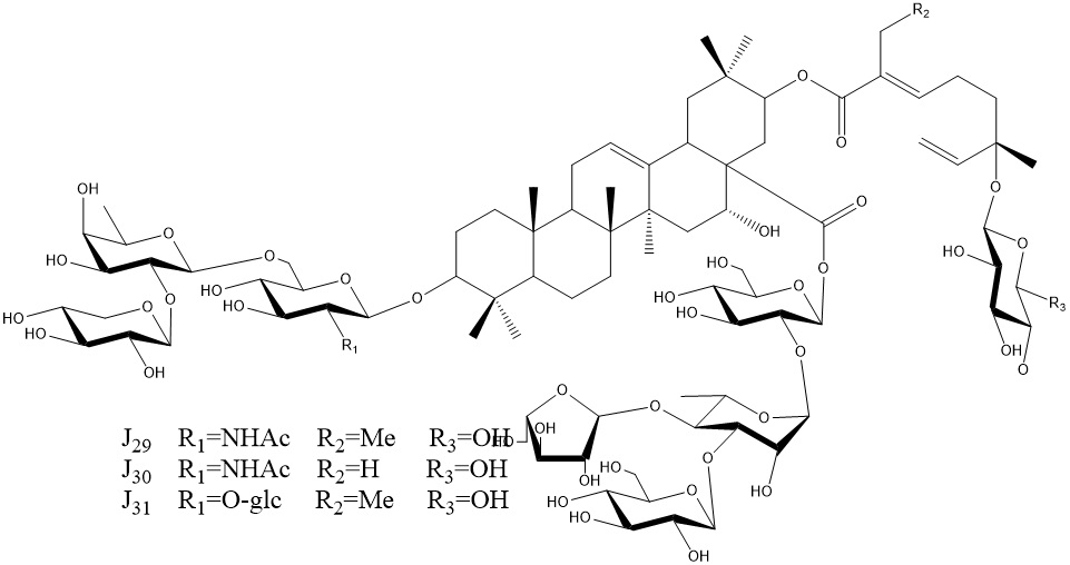
A potent antitumor activity was attributed to saponin isolated from A. julibrissin, J28 (Fig. 4). Have Zhang et al, 2006, isolated and elucidated three complex triterpenoid saponins A. julibrissin, J29, J30 and J31 (Fig. 5). All saponins exhibited antitumor activity against human tumor cells line [15].

Fig. 3: Structure of four saponins of A. Julibrissin, J5, J6, J12 and J13.

Fig. 4: Structure of the Julibroside J28.

Fig. 5: Structure of three saponins isolated from A. julibrissin, J29, J30 and J31
Albizia gummifera smith
Albizia gummifera Smith. is a tree-shaped canopy umbrella, 50 m high and widely distributed in the highlands of southwestern Ethiopia. It is used by the natives for the treatment of various diseases. Six triterpenoid glycosides were isolated from this species, a monodesmosidicsaponin, a bidesmosidicsaponin, a estigamasterol, two new sapogenin glycosides containing macarinic acid and a γ-lactone, and a sapogenin lactone (Fig. 6) [16].

Fig. 6: Structure of four triterpenoid saponins and sapogenin from Albiziagummifera
Albizia chinensis merr
Albizia chinensis is an unarmed, deciduous or evergreen tree with a flat, spreading crown, up to 30(-43) m tall and trunk up to 70(-140) cm in diameter; bark dark gray, rather smooth, densely hooped, lenticellate, thin; live bark 5 mm thick, pinkish-red. Branchlets slightly angular in the distal parts, terete, puberulous to tomentose, glabrescent.
Two complex triterpenoid saponins of Albizia chinensis Mer. Were isolated from the butanolic extract between peels. The saponins, called Albizosides D and E (Fig. 7) showed cytotoxic activity against human tumor cells line [17].
Fig. 7: Structure of Albizosides D and E isolated from Albizia chinensis Merr
Albizia adianthifolia
Albizia adianthifolia is widespread, occurring from Senegal east to Kenya, and south to Angola, eastern South Africa and Swaziland; also in eastern Madagascar. The wood of Albizia adianthifolia is used for light construction (e. g. posts, rafters) and carving (e. g. images, spoons, masks, clubs). It is also suitable for light flooring, joinery, interior trim, furniture, cabinet work, boat building, vehicle bodies, toys and novelties, tool handles, baseball bats, boxes, crates, hardboard and particle board. The wood is used as firewood, although it burns quickly; it is also made into charcoal.
Various parts of this plant are used in traditional medicine. Bark sap is applied to the eye to treat river blindness and conjunctivitis, and internally against respiratory complaints, as an anodyne and to treat allergic reactions; it is also applied to sores and to allay toothache. A bark infusion or decoction is administered to treat scabies and other skin complaints, and to treat fever. Pounded bark is applied externally to boils and itching skin, and internally as a vermifuge. A twig-bark decoction is administered as a purgative and anodyne. In traditional South African medicine the bark of Albizia adianthifolia is used to improve memory and to treat Alzheimer’s disease. A root infusion is applied to treat eye complaints, and powdered roots are administered to women in labour or with irregular menstruation. The leaves are used internally against diarrhea and gonorrhoea, and externally to treat wounds and sore feet. A fruit extract is drunk to relieve stomach-ache. In southern Cameroon the gum from the bark is used in hunting poison. In the Central African Republic bark and leaves serve as fish poison.
Three triterpenoid saponins Adianthifoliosides A, B and D (Fig. 8), and two prosapogeninas, Pro 1 and Pro 2 (Fig. 9) were isolated from Albizia adianthifolia. Both saponins as prosapogenins showed important biological activities in human leukemic T cells and splenocytes. All the isolated saponins also showed synergistic activity with lympho proliferative concanavalin A (ConA) of splenocytes [18].
Fig. 8: Structure of Adianthifoliosides A, B and D isolated from Albizia adianthifolia
Fig. 9: Structure of two prosapogenins, Pro 1 and Pro 2, isolated from Albizia adianthifolia.
Albizia procera
Albizia procerais a tree grown in the streets and public gardens in Egypt. In folk medicine, the bark is considered useful in pregnancy and stomach pain. There are reports in the literature of seven isolates triterpenoids glycosides from the bark of Albizia procera (Fig. 10) [19].
| R1 | R2 | |
| 1 | β-D-Xyl(12)-β-D-Gal | β-D-Glc |
| 2 | β-D-Xyl(12)-α-L-Ara | β-D-Glc |
| 3 | α-L-Ara(12)-α-L-Ara | β-D-Glc |
| 4 | β-D-Xyl(12)-α-L-Ara | H |
| 5 | α-L-Ara(12)-α-L-Ara | H |
| R | |
| 6 | β-D-Xyl |
| 7 | α-L-Ara |
Fig. 10: Structure of seven triterpenoidsaponins isolated from Albizia procera
CONCLUSION
Saponins of species of the genus Albizia showed many pharmacological properties as anticonvulsant, sedative, anti-inflammatory, antitumor, antifungal, antibacterial and antiparasitic. It may be concluded that Albizia species shall be considered as a promising plant with various therapeutic properties and can be further explored pharmacologically against various ailments. This review showed a brief study on the immense utility of the genus Albizia saponins and encourages phytochemicals to drive to isolate and purify new pharmacologically active saponins from other species of this genus.
CONFLICT OF INTERESTS
Declared None.
ACKNOWLEDGEMENT
This work was financially supported by CAPES, FINEP, and CNPq.
REFERENCES
Arce MLR, Gale SL, Maxted N. A taxonomic study of Albizia (Leguminosae: Mimosoidae: Ingeae) in Mexico and Central America. Analesdel Jardin Botánico Madrid 2008;65:255-305.
Sparg SG, Light ME, Staden JV. Biological activities and distribution of plant saponins. J Ethnopharmacol 2004;94:219-43.
Grade JT, Arble BL, Weladji RB, Damme PV. Anthelmintic efficacy and dose determination of Albizia anthelminticaagainst gastrointestinal nematodes in naturally infected Ugandan sheep. Vet Parasitol 2008;157:267-74.
Babu NP, Pandikumar P, Ignacimuthu S. Anti-inflammatory activity of Albizia lebbeck Benth, an ethnomedicinal plant, in acute and chronic animal models of inflammation. J Ethnopharmacol 2009;125:356-60.
Gupta RK, Siber GR. Adjuvants for human vaccines–current status, problems and future prospects. Vaccine 1995;14:1263-76.
Nurul IM, Mizuguchi H, Shahriar M, Venkatesh P, Maeyama K, Mukherjee M, et al. Albizia lebbeck suppresses histamine signaling by the inhibition of histamine H1 receptor and histidine decarboxylase gene transcriptions. Int Immunopharmacol 2011;11:1766-72.
Martínez M, De Pinto GL, Alvarez S, De Troconis NG, Ocando E, Rivas C. Composition and properties of Albizia lebbeck gum exu date. Biochem Syst Ecol 1995;23:843-8.
Zheng H, Wu Y, Ding J, Binion D, Fu W, Reardon R. Invasive Plants of Asian Origin Established in the United States and Their Natural Enemies, Vol. 1. United States Department of Agriculture Forest Service, FHTET; 2004. p. 15–8.
Zhang Z, Koike K, Jia Z, Nikaido T, Guo D, Zheng J. Triterpenoidal saponins from Gleditsiasinensis. Phytochem 1999;52:715-22.
Nehdi I. Characteristics, chemical composition and utilization of Albizia julibrisinseed oil. Ind Crops Prod 2011;33:30-4.
Higuchi H, Kinjo J, Nohara T. An arrhythmic-inducing glycoside from Albiziajulibrissin Durazz. IV. Chem Pharm Bull 1992;40:829–31.
Otani H, Matsumori M, Hosono A. Purification and some properties of a milk clotting protease from the young seeds of Albizia julibrissin. Anim Sci Technol 1991;62:424–32.
Han L, Pan G, Wang Y, Song X, Gao X, Ma B, Kang L. Rapid profiling and identification of triterpenoid saponins in crude extracts from Albizia julibrissin Durazz. byultra high-performance liquid chromatography coupled with electrospray ionization quadrupole time-of-flight tandem mass spectrometry. J Pharm Biomed Anal 2011;55:996-1009.
Zheng L, Zheng J, Zhang Q, Wang B, Zhao Y, Wu L. Three new oleanane triterpenoid saponins acetylated with monoterpenoid acid from Albizia julibrissin. Fitoterapia 2010;81:859-63.
Zou K, Tong WY, Liang H, Cui JR, Tu GZ, Zhao YY, et al. Diastereoisomeric saponins from Albizia julibrissin. Carbohydr Res 2005;340:1329-34.
Zheng L, Zheng J, Zhao Y, Wang B, Wu L, Liang H. Three anti-tumor saponins from Albizia julibrissin. Bioorg Med Chem Lett 2006;16:2765-8.
Debella A, Haslinger E, Schmid MG, Bucar F, Michl G, Abebe D, et al. Triterpenoid saponins and sapogenin lactones from Albizia gummifera. Phytochem 2000;53:885-92.
Liu R, Ma SG, Liu YX, Yu SS, Chen XG, Zhang JJ. Albizosides D and E, two new cytotoxic triterpene saponins from Albizia chinensis. Carbohydrate Res 2010;345:1877-81.
Haddad M, Larens V, Lacaille-Dubois MA. Induction of apoptosis in a leukemia cell line by triterpene saponins from Albizia adianthifolia. Bioorg Med Chem 2004;12:4725-34.
Miyase T, Melek FR, Ghaly NS, Warashina T, El-Kady M, Nabil M. Echinocystic acid 3, 16-O-bisglycosides from Albiziaprocera. Phytochem 2010;71:1375-80.