
1Sarojini Naidu Vanita Pharmacy Maha Vidyalaya, Secunderabad, Telangana 500017, India, 2*Department of Pharmaceutical Chemistry, GITAM Institute of Pharmacy, GITAM University, Gandhi Nagar, Rushikonda, Visakhapatnam 530045, Andhra Pradesh, India
Email: sraja61@gmail.com
Received:12 Apr 2017 Revised and Accepted: 19 May 2017
ABSTRACT
Isoxazole is an azole with an oxygen atom next to the nitrogen. Isoxazole rings are found in some natural products, such as ibotenic acid and also found in a number of drugs, including COX-2 inhibitor valdecoxib. Furoxan, a nitric oxide donor is containing isoxazolyl group and found in many β-lactamase resistant antibiotics, such as cloxacillin, dicloxacillin and flucloxacillin. The synthetic androgenic steroid danazol also has an isoxazole ring. The substituted isoxazoles are well developed in literature to possess significant biological activities. The disubstituted and trisubstituted isoxazoles have been reported to exhibit broad range of biological activities such as antimicrobial activity, analgesic activity, anti-inflammatory activity, antioxidant activity, anticancer activity, CNS (central nervous system) activity, antitubercular activity and miscellaneous activities like GABA (γ-amino butyric acid) agonistic activity, inhibitory activity, antihypertensive activity, and glutamate transporter activity. The present review summarizes up to date information of various biological activities of isoxazole analogs.
Keywords: Isoxazole, Antimicrobial activity, Analgesic activity, Anti-inflammatory activity, Antioxidant activity, Anticancer activity, CNS activity, Antitubercular activity
2017 The Authors. Published by Innovare Academic Sciences Pvt Ltd. This is an open access article under the CC BY license (http://creativecommons.org/licenses/by/4.0/)
DOI: http://dx.doi.org/10.22159/ijpps.2017v9i7.19097
INTRODUCTION
Among the wide range of heterocycles that have been explored for developing pharmacologically important molecules, isoxazoles 1a (fig. 1) play a significant role in the field of medicinal chemistry. Isoxazole is an azole with an oxygen atom next to nitrogen. Isoxazoles are unsaturated aromatic heterocyclic compounds containing a ring with three carbon atoms, one oxygen atom and one nitrogen atom [1]. The trivial name for the title five-membered fully unsaturated heterocycles as “isoxazole” was originally proposed by Hantszch as it was the isomer “oxazole” discovered first. The trivial name follows the Hantszch Widman system of nomenclature: The prefix “iso” represents isomer, “oxa” represents the oxygen atom, “aza” represents the nitrogen atom, and the suffix “ole” denotes the ring size as five-membered; altogether the derived name is “isoxazole” [2-3]. This name has been accepted in IUPAC and has been used in chemical abstracts. In chemical abstracts, the other systematic name 1,2-oxazole is also used. Its partially saturated analogs are called isoxazolines 1b-d (fig. 1) and completely saturated analog is isoxazolidine 1e (fig. 1) [4-5].

Fig. 1: Structures of isoxazole, isoxazoline, and isoxazolidine 1a-1e
Isoxazoles are an important class of heterocycles, which are largely employed in the area of pharmaceuticals and therapeutics such as insecticidal, antibacterial, antibiotic, antitumour, antifungal, antituberculosis, anticancer and ulcerogenic. The naturally occurring antibiotic cycloserine 2 (fig. 2) (Best known antibiotic drug that possess antitubercular, antibacterial activities and also used in treatment of leprosy) [6]; the monoamine oxidase inhibitor isocarboxazide 3 (fig. 2); isoxazole steroids danazol 4 (fig. 2); ibotenic acid 5 (fig. 2); muscimol 6 (fig. 2) isolated from Amanita muscaria [7]; and isoxazoline-5-one 7 (fig. 2) isolated from Legume seed [8] are potential isoxazole derivatives. Isoxazole derivatives such as sulfamethoxazole 8 (fig. 2), sulfisoxazole 9 (fig. 2), oxacillin 10 (fig. 2), and acivicin 11 (fig. 2) (An antitumour, and antileishmanial drug) have been in commercial use for many years. Isoxaflutole 12 (fig. 2) is used as a herbicidal drug. In addition, isoxazoles are also formed the basis for a number of drugs like COX-2 inhibitor such as valdecoxib 13 (fig. 2), nitric oxide donor furaxan 14 (fig. 2), etc [9].
A highly appreciable number of five-membered heterocycles containing a nitrogen atom and oxygen atoms were obtained by laboratory synthesis which is having potential therapeutic and pharmacotherapeutic activities. Some of the useful synthetic analogues with improved therapeutic activity can be obtained from the single lead compound by structural modifications. A lot of modifications have been done during the last few years on isoxazole nucleus. This review paper comprises of up to date information of various biological activities of isoxazole analogs.
Antimicrobial isoxazoles
Sagar et al. [10] fused the two moieties (aromatic substituted ketone and aromatic substituted aldehyde) with isoxazole in the view to get good pharmacological active isoxazole derivatives 15 (fig. 3) with less toxicity. As expected, isoxazole derivatives exhibited antibacterial activities in which some compounds are good and some are moderately active when compare with standard drug tested. The antibacterial activities were tested against some gram-positive and gram negative microorganism. From the study, they concluded that presence of methoxy, dimethylamino, and bromine group at C-5 phenyl ring and nitro, and chlorine group at C-3 phenyl ring increased the antibacterial activity of synthesised isoxazole derivatives.

Fig. 2: Structures of commercially available isoxazole drugs 2-14
Synthesis of 3-[4-(5-(3,4-disubstituted phenyl)-4,5-dihydroisoxazol-3-yl)phenyl]-2-substituedphenylquinolin-4(3H)-one Derivatives 16 (fig. 3) has been described by Kumar et al. [11]. New isoxazole derivatives were prepared by reaction of quinazolinone derivatives with hydroxylamine hydrochloride in presence of pyridine. The synthesised eight compounds were tested for antibacterial activity against staphylococcus aureus, bacillus subtilis, escherichia coli, and pseudomonas aeruginosa. The compounds were also evaluated for antifungal activity against asperigillus niger, and saccharomyces cerevisiae. The isoxazole compounds 3-(4-(5-(3-nitrophenyl)-4,5-dihydroisozolyl-3-yl)-phenyl)-2-(4-nitrophenyl) quinazolin-4(3H)-one, and 3-(4-(5-(3-chlorophenyl)-4,5-dihydroisozolyl-3-yl)-phenyl)-2-(4-nitrophenyl)quinazolin-4(3H)-one were found to exhibit quite superior antibacterial activity against all microorganism tested which was comparable to standard drug ampicillin. A series of novel chalcone and isoxazole substituted 9-anilinoacridines 17 (fig. 3) were synthesized from 9-chloroacridine by microwave irradiation method and tested for their antibacterial, larvicidal, activities by Kalirajan et al. [12]. The antibacterial evaluation was performed by cup plate method and larvicidal activity was screened by larval bioassay method. Some of the synthesized compounds exhibited significant antibacterial activity against staphylococcus aureus, bacillus megaterium, escherichia coli, and klebsiella pneumoniae at 25μg/ml concentration. Moreover at 17-36 ppm (LC50) tested compounds shown significant larvicidal activity against culex and anopheles species.
Pareshkumar et al. [13] synthesized 1-[3’-(1”,3”-dihydro-1H-isoindol-2”-yl)phenyl] 3-aryl prop-2-en-1-one and 3-aryl-5-[3’-(1”,3”-dihydro-1H-isoindol-2”yl)phenyl]isoxazole 18 (fig. 3) from 1-(3-(isoindoline-2-yl)phenyl) ethanone. All compounds were found to be mild to moderately active against tested bacterial strains such as s. aureus, b. megaterium, e. coli, and s. taphimurium. The antifungal data revealed that compounds were least toxic to the fungal strain. However mild activity was shown by six compounds against a. niger. The antibacterial activity was compared with standard drug ampicillin, amoxicillin, norfloxacin, and penicillin and antifungal activity were compared with standard drug griseofulvin. Novel series of long chain isoxazole derivatives 19a and 19b (fig. 3) were designed as inhibitors of cytochrome P450-14DM14a-demethylase from candida albicans and a ribosomal subunit of S12 protein from Escherichia coli by Aiman et al. [14]. The novel compounds were synthesised through 1,3-dipolar cycloaddition of nitrile oxide with long chain alkynoic acid and alkenyl/hydroxyalkenyl esters. These compounds were tested for their preliminary antimicrobial activity by disk diffusion assay and MIC by broth microdilution method. After predicting the hidden potential and drug-likeness of compounds, ADMET related descriptors were also calculated to predict pharmacokinetic properties. Molecular docking studies have been performed to evaluate the possible mode of action of molecules in the active site of the receptor. Out of several tested compounds, two derivatives showed excellent antimicrobial activity which is nearly equivalent to the standard drug.
Naqui Jahan et al. [15] reported the synthesis of novel derivatives of isoxazole 20 (fig. 3). Twelve new compounds were synthesized and their identities have been established on the basis of elemental and spectroscopic analysis such as IR, 1H-NMR, [13]C-NMR, and Mass spectra. The compounds were screened for their antibacterial and antifungal activities various pathological strains of bacteria and a fungus. Anjani et al. [16] reported the synthesis novel isoxazoles, cyanopyridine and pyrimidinthiones 21 (fig. 3) from chalcones having an s-triazine nucleus. The various synthesized derivatives were tested for their antimicrobial activity against some bacteria and fungi. Almost all the compounds showed antimicrobial activity. Kamal et al. [17] reported the synthesis and antibacterial and antifungal activities of a series of novel 31-(3-phenyl-3,4-dihydro-2H-pyrazol-5-yl)-2,2-dimethyl spiro{bicycle [2.2.1] heptan-3,51-isoxazoline-21} 22a and 5-octyl-3-(3-phenyl-3,4-dihydro-2H-pyrazol-5-yl)isoxazoline-2,5-decyl-3-(2,3-diphenyl-3,4-dihydropyarazol-5-yl)isoxazoline-2 22b (fig. 3).

Fig. 3: Structures of antimicrobial isoxazoles 15-23
A new series of isoxazole and benzodiazepine derivatives 23 (fig. 3) were synthesized from chalcones and evaluated for their antimicrobial activities by Vishal et al. [18]. First Chalcones were prepared by treatment of uran-2-carbaldehyde with different acetophenones by Claisen Schimidt condensation. Various isoxazole derivatives were prepared by reaction of chalcone with hydroxylamine hydrochloride and sodium acetate in ethanol and benzodizepine derivatives were prepared by reaction of chalcone in ethanol with o-phenylenediamine in presence of piperidine. The selected synthesized compounds were evaluated for their antimicrobial activities.
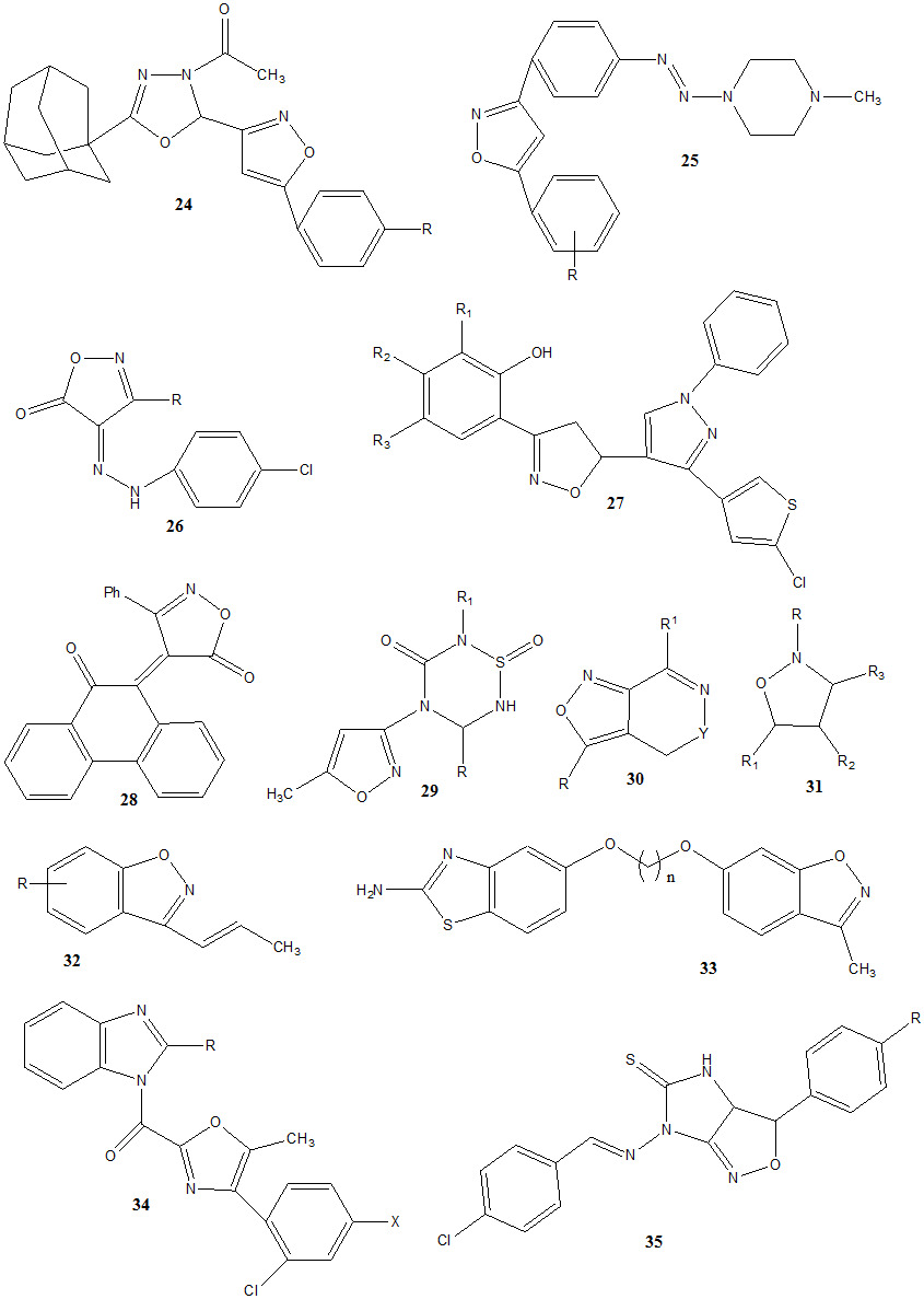
By a multi-step synthesis various novel 4-acetyl-1,3,4-oxadiazoline analogues 24 (fig. 4) were synthesized from adamantane-1-carbohydrazide by Ali et al. [19]. Compounds were tested for in vitro activities against a panel of gram-positive and gram-negative bacteria and the yeas like pathogenic fungus candida albicans. Two of the synthesized compounds displayed potent broad spectrum antimicrobial activity, while other three compounds showed good activity against the gram-positive bacteria. A series of pyrimidine and isoxazole derivatives 25 (fig. 4) were synthesized form 1-{4’-[(4”-methyl-piperazinyl) diazenyl] phenyl}-3-(substituted phenyl) prop-2-en-1-one by both microwave and conventional methods by Mistry et al. [20]. The microwave assisted reactions are carried out in a “Q-Pro-M modified microwave system. The compounds have been screened for their antimicrobial activities against different microorganisms at three different concentrations (128, 256 and 512 µg/ml).
Krishna Veni et al. [21] prepared and evaluated the antimicrobial activity of various novel isoxazolinones and pyrazolinones derivatives 26 (fig. 4). The antibacterial and antifungal activities have been evaluated for the synthesized derivatives. The antimicrobial studies were performed by disc diffusion and serial dilution techniques against standard microbes and compared with that of the standard therapeutic drug. Some of the compounds were found to exhibit promising antibacterial and antifungal activities. Gill et al. [22] reported the synthesis of some novel isoxazolines and pyrozolines 27 (fig. 4) from chalcones having 5-chlorothiophene moiety. They confirmed the structures of synthesised compounds by elemental analysis, IR, 1H-NMR and mass spectral data. Synthesized compounds shows antimicrobial activity as compared to known reference drugs gentamycin, cefixime and ketoconazole. Pardasani et al. [23] reported the synthesis of imidazolidinone, thiazolidinone and isoxazolone derivatives of 9,10-phenanthrenequinone 28 (fig. 4). On the basis of AM1 calculations, they explained exclusively the formation of the anti configurational mono condensation product. Some of the compounds were screened for their antimicrobial activity. Rajanarendar et al. [24] reported the synthesis of 1-(5-methyl-3-isoxazolyl)-3,6-diaryl-4-thioxo-1,3,5-triazinan-2-ones 29 (fig. 4). They tested the synthesised compounds for their antimicrobial activity.
Rattan et al. [25] reported the synthesis of 7-alkyl-3,3a,4,5-tetrahydroisoxazolo[3,4-d] pyridines and 3-chloromethyl-7-methyl-3a,4-dihydro-3H-isoxazolo[3,4-d][1,2] oxazine 30 (fig. 4). They characterized these compounds by elemental analysis and spectral studies. In addition, these compounds were screened for their antifungal and antibacterial activity and the results have been found highly promising. Bhaskar et al. [26] reported the synthesis and antibacterial activities of novel isoxazolidine derivatives 31 (fig. 4). The structures of compounds have been established on the basis of spectral and analytical data. All the synthesized compounds were screened for their antibacterial activity against various bacteria and found to be active. Shastri et al. [27] reported the synthesis of 3-propane-1, 2-benzisoxazole derivatives 32 (fig. 4) in excellent yields from the corresponding substituted o-hydroxy acetophenone. The synthesized compounds showed antibacterial and antifungal activity.

Fig. 4: Structures of antimicrobial isoxazoles 24-35
Ravindra et al. [28] reported the synthesis of various novel 2-amino-5/6-hydroxybenzothiazole, 6-hydroxy-1,2-benzisoxazole 33 (fig. 4) from different haloalkanes. These compounds were screened for antimicrobial activity and some of them have been found to show promising activity. Jadhav et al. [29] reported the synthesis of two series of benzimidazole derivatives 34 (fig. 4) by the condensation of different 2-substituted benzimidazole with 3-(2,4-dichlorophenyl)-5-methyisoxazole-4-carbonyl chloride and 3-(2,4-dichlorophenyl)-5-methylisoxazole-4-carbonyl chloride. They evaluated these compounds for their antibacterial and antifungal activities and found that all of them exhibited moderate antimicrobial activity. New potent antibacterial agent fused isoxazole and pyrazole derivatives 35 (fig. 4), were synthesized using 5,5-dimethylcyclohexane-1,3-dione and 3-[(4-chlorobenzylidene)amino]-2-thioxoimidazolidin-4-one as synthons by Vijay et al. [30]. The newly synthesized heterocycles were characterized and found to inhibit staphylococcus aureus and corynebacterium diphtheriae.
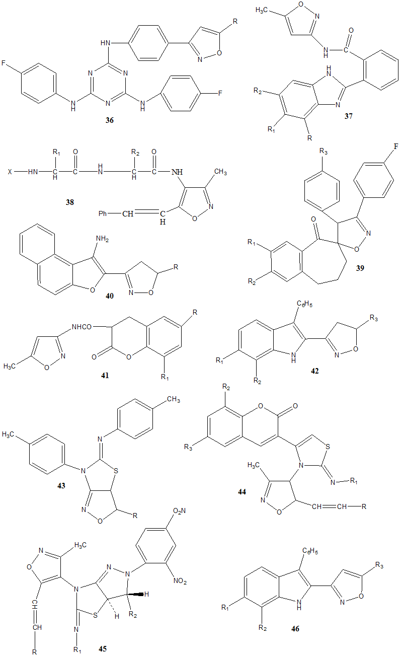
Anjani et al. [31] reported the synthesis of acetyl pyrazolines and isoxazole 36 (fig. 5) from chalcones on reaction with hydrazine hydrate and hydroxylamine hydrochloride, respectively. All the synthesized compounds were screened for their antibacterial activity against s. aureus, b. subtilis, e. coli, and s. paratyphi-B using agar diffusion method. Rajanarendar et al. [32] reported the synthesis and the antibacterial activities of series of novel 2/3-(1H-benzimidazol-2-yl)-N-(5-methyl-3-isoxazoyl) benzamides, acrylamides and propionamides 37 (fig. 5). They evaluated these compounds against two-gram positive bacteria, two-gram negative bacteria and two plant pathogenic fungi. The results were compared with standard drugs. Rajanarendar et al. [33] reported the synthesis and antimicrobial activities of various novel N-protected amino acid/peptide isoxazoles 38 (fig. 5). They evaluated the antimicrobial activity of synthesized derivatives against gram positive and gram negative bacteria and fungi. Mosquito larvicidal activity was studied against fourth instar larve culex quinquefasciatus.
Peesapati et al. [34] reported the synthesis of novel spiro isoxazole derivatives 39 (fig. 5) in good yield by regioselective 1,3-dipolar cycloaddition of nitrile oxide to 6-arylidene-3-methyl-6,7,8,9-tetrahydro-5H-benzo[a]cyclohepten-5-one. They studied the antimicrobial potency of these compounds. Vaidya et al. [35] studied the reaction of chalcones with hydroxylamine hydrochloride in the presence of catalytic amount of hydrochloric acid which affords 3-(3-aminonaptho[2,1-b]fur-2-yl)-5-arylisoxazolines 40 (fig. 5). The synthesized compounds are characterized by elemental analysis and spectral studies and evaluated for its antimicrobial activity. Rajanarendar et al. [36] reported the synthesis of 2-oxo-2H-chromene-3-carboxylic acid(5-methyl-3-isoxazolyl) and (3-methyl-5-styryl-4-isoxazolyl)amides 41 (fig. 5) from amino isoxazoles, by treatment with diethyl malonoate followed by cyclization with salicylaldehydes. These compounds showed antimicrobial activity.

Fig. 5: Structures of antimicrobial isoxazoles 36-46
Basanagoudar et al. [37] reported the efficient conversion of 2-cinnamoyl-3-phenylindoles into 2-(5-aryl-4,5-dihydro-3-isoxazolyl)-3-phenylindoles and 2-(5-aryl-3-isoxazolyl)-3-phenylindoles 42 (fig. 5). The structures of these compounds have been established on the basis of elemental analysis and spectral data. Synthesized compounds have been tested for their antimicrobial activity. Parikh et al. [38] reported the synthesis of pyrido-[1,2-a]-pyrimidine and isoxazoline derivatives 43 (fig. 5) by the condensation of different arylidenes with 2-aminopyridine and hydroxylamine hydrochloride, respectively. All the compounds have been characterised using spectral techniques and screened for their antimicrobial activity against several microbes. Rajanarendar et al. [39] reported the synthesis of a series of isoxazolyl derivatives 44 (fig. 5). All the compounds have been evaluated for their antimicrobial activity.
Rajanarendar et al. [40] reported the synthesis of isoxazoylpyrazolo [3,4-d]thiazoles and isoxazolyl thiazoles 45 (fig. 5). All the synthesised compounds were evaluated for their antibacterial and antifungal activity against various pathological strains of microorganism. The efficient conversion of 2-cinnamoyl-3-phenylindoles into 2-(5-aryl-4,5-dihydro-3-isoxazolyl)-3-phenylindoles and 2-(5-aryl-3-isoxazolyl)-3-phenylindoles 46 (fig. 5) was reported by Basanagoudar et al. [41]. Synthesized compounds have been tested for their antimicrobial activity.
Parikh et al. [42] reported the synthesis of pyrido [1,2-a]pyrimidine and isoxazoline 47 (fig. 6) derivatives by the condensation of different arylidenes with 2-aminopyridine and hydroxylamine hydrochloride, respectively. All the compounds have been characterized and screened for their antimicrobial activity against several microbes. Parekh et al. [43] reported the synthesis of various novel pyrazolines and isoxazoles 48 (fig. 6) by the action of hydrazine hydrate and hydroxylamine hydrochloride, respectively. All the compounds were screened for their in vitro antifungal and antibacterial activities. Shah et al. [44] reported several new 3,7-bis-[substitutedbenzal acetamido]-phenothiazines, 3,7-bis[11-N-H-/acetyl-51-aryl-21-pyrazolin-31-ylacetamido]-phenothiazines, 3,7-bis-[51-aryl-isoxazol-31-yl-acetamido]-phenothiazines and 3,7-bis-[21-amino-31-cyano-41-aryl-pyridin-51-yl-acetamido]-phenothiazines 49 (fig. 6). In addition, they screened these derivatives for their possible antimicrobial activity. The products showed good activity compared to standard drugs. Zi et al. [45] reported the synthesis of 1,3,4-thiadiazole, 1,3,4-oxadiazole and 1,2,4-triazole derivatives of 5-methylisoxazole 50 (fig. 6). Some of the synthesized compounds were screened for antibacterial activity against some pathogenic bacteria. Yorley et al. [46] reported the synthesis of a new series of tetrahydroquinolines and isoxazole 51 (fig. 6). These compounds were screened for their antibacterial activity against escherichia coli, pseudomonas aeruginosa, staphylococcus aureus, and acinetobacter baumannii by spectrophotometric measurements.

Fig. 6: Structures of antimicrobial isoxazoles 47-51
Analgesic and antiinflammatory isoxazoles
Lincy et al. [47] reported the evaluation of in vivo and in vitro antiinflammatory activity of novel isoxazole series 52 (fig. 7). Chalcones are prepared by the reaction of aromatic aldehydes with aromatic ketones in aqueous alcoholic alkaline medium. Then these are made to react with hydroxylamine hydrochloride in presence of sodium acetate to prepare isoxazole derivatives. The prepared isoxazole compounds were subjected to inflammatory activity by in vitro and in vivo methods. All 25 isoxazole derivatives exhibited antiinflammatory activity among tested. Out of these 25 isoxazole derivatives, 7 compounds show significant antiinflammatory activity. Pharmacological activities of some synthesized substituted pyrazole, oxazole and triazolopyrimidine derivatives 53 (fig. 7) were studied by Said et al. [48] A series of heterocylic compounds was synthesized from 1-(3,4-dimethoxyphenyl)-3-(4-ethoxyphenyl)prop-2-en-1-one, which was reacted with thiourea, ethyl acetoacetate, p-nitrophenylhydrazine and hydroxylamine hydrochloride afforded thioxopyrimidine, tetrahydro-terphenyl, 1,3,5-triarylpyrazole, and 3,5-diarylisoxazole derivatives, respectively. While, upon reaction of thioxopyrimidine with piperidine, anthranilic acid or hydrazine hydrate afforded piperidin-1-yl-1,4-dihydropyrimidine, pyrimido[2,1-b]quinazoline and 2-hydrazinyl-1,4-dihydropyrimidine derivatives, respectively. Finally, the latter compound was heterocyclized with formic acid, acetic anhydride, carbon disulfide, acetyl acetone or phthalic anhydride resulting the corresponding triazolo[4,3-a]pyrimidines, pyrazolylpyrimidine and imide derivatives, respectively. All the newly substituted pyrimidine, isoxazole, pyrazole and fused triazolopyrimidine derivatives displaying potential analgesic and anti-convulsant activities.
Panda et al. [49] reported the synthesis, antiinflammatory and antibacterial activity of novel indolylisoxazoles 54 (fig. 7). Initially, chalcones were synthesized by reacting indole-3-aldehyde, prepared by Vilsemeir Haack reaction with 4-substituted acetophenone in ethanolic potassium hydroxide solution. These chalcones were immediately reacted with hydroxylamine hydrochloride in presence of glacial acetic acid as reagent to obtain the corresponding isoxazole derivatives. The synthesized heterocycles were characterized on the basis of physical, chemical tests and spectroscopic data. These compounds were tested for the acute anti-inflammatory activity and antibacterial activity using carrageenan induced rat paw edema method and cup plate method, respectively. Airody et al. [50] reported the synthesis of several new pyrozolines and isoxazoles 55 (fig. 7) from 4-acetylthioanisole with aryl aldehydes through β-unsaturated ketones. The synthesized compounds were tested for their analgesic and antiinflammatory activity by a standard method. Bhusari et al. [51] reported the design and synthesis of some new diphenylaminoisoxazolines derivatives 56 (fig. 7). These compounds are auxiliary screened spectroscopically and tested for antiinflammatory activity. All the compounds showed better activity when compared with ibuprofen as standard.
Sahu et al. [52] reported the synthesis of substituted aryl-N-chalcone aminophenols by base catalysed condensation of an equimolar mixture of N-(4-hydroxyphenyl)acetamide and appropriate araldehydes. Aryl-N-chalconyl aminophenol was treated with various hydroxylamine hydrochloride results in corresponding isoxazole derivatives 57 (fig. 7). The synthesized compounds were investigated for their analgesic and antimicrobial activities. Two of synthesized compounds exhibited significant analgesic activity in comparison to the reference drug paracetamol. In in vitro antimicrobial screening, two compounds showed higher antibacterial and antifungal activity in comparison to the reference standard ciprofloxacin and clotrimazole, respectively. Compound bearing 4-chlorophenyl substitution at C-5 of isoxazole ring was found to be the most potent compound of the series.
Vagdevi et al. [53] synthesised a variety of novel naphtha-[2,1-b]-furopyrazolines, isoxazoles and isoxazolines 58a and 58b (fig. 7) and evaluated its various biological activity. The novel biheterocyclic compounds were screened for antibacterial, antifungal, anthelmintic and analgesic activities. Out of several tested derivative one compound showed promising antimicrobial activity and some of the derivatives exhibited moderate antibacterial and antifungal activity. Three compounds were found to be active as the standard drug in anthelmintic activity. One of the synthesized analogs showed maximum analgesic activity.

Fig. 7: Structures of analgesic and anti-inflammatory isoxazoles 52-58
Antioxidant isoxazoles
Totally twenty-seven 3,5-substituted-4,5-dihydroisoxazole derivatives 59 (fig. 8) including 3-(2-fuorneyl)-5-(substituted phenyl)-4,5-dihydroisoxazole have been synthesized by fly-ash: H2SO4 catalyzed intramolecular cycloaddition of hydroxylamine hydrochloride and aryl chalcones under solvent free conditions by Ganesamoorthy et al. [54]. The yields of the isoxazoles are more than 90 %. The antimicrobial and antioxidant activities of the synthesized isoxazoles were evaluated using cup plate and DPPH radical scavenging methods, respectively.
Similarly totally thirty-one 3,5-substitutedaryl-4,5-dihydroisoxazole derivatives 60 (fig. 8) including 3-(2-naphthyl)-5-(substituted phenyl)-4,5-dihydroisoxazole have been synthesized by fly-ash: H2SO4 catalyzed cyclization of hydroxylamine hydrochloride and aryl chalcones under solvent-free conditions by Thirunarayanan et al. [55]. The yields of the isoxazoles are more than 94 %. The antimicrobial, antioxidant and insect antifeedant activities of the synthesized isoxazoles have been evaluated using a cup plate, DPPH radical scavenging and castor leaf disc bioassay of 4th instar larvae Achoea Janata L methods, respectively. Madhavi et al. [56] reported the synthesis and evaluation of antioxidant, anti-inflammatory and analgesic activities of a series of 3-methyl-4nitro-5-(substituted styryl) isoxazoles 61 (fig. 8) with a view to evaluating the effect of nitro substitution on styryl isoxazoles. Compounds with sterically hindered phenolic groups exhibited good anti-inflammatory activity with better antioxidant properties and are devoid of toxicity as well as ulcerogenic potential.

Fig. 8: Structures of antioxidant isoxazoles 59-61
Anticancer isoxazoles
Hamama et al. [57] reported the synthesis and biological evaluation of some novel isoxazole derivatives 62a-62c (fig. 9). The reaction of 5-amino-3-methylisoxazole with formalin and secondary amines gave the corresponding Mannich bases. Alkylation of isoxazole derivative with Mannich bases hydrochloride gave unsubstitute-disoxazolo[5,4-b] pyridine derivatives at position 4. Moreover, the coupling reaction of isoxazoles with different diazonium salts gave the corresponding mono and bisazo dyes of isoxazole derivative. The newly synthesized compounds were screened for their antitumor activity compared with 5-fluorouracil as a well-known cytotoxic agent using Ehrlich ascites carcinoma cells. Interestingly, the obtained results showed clearly that six compounds exhibited high antitumor activity than 5-fluorouracil.
A novel series of thiophenes 63 (fig. 9) having biologically active sulfonamide, 3-methylisoxazole, 4-methoxybenzo[d]thiazole, quinoline, benzoyl phenylamino, and anthracene-9,10-dione moieties were prepared by Mostafa et al. [58]. All newly synthesised compounds were evaluated for their in vitro anticancer activity against human breast cancer cell line (MCF7). Most of the screened compounds showed cytotoxic activities compared to doxorubicin as a positive control. Four compounds (IC50 = 10.25, 9.70, 9.55, and 9.39 μmol/l) revealed higher cytotoxic activities than that of doxorubicin (IC50 = 32.00 μmol/l). Also, another three compounds were found nearly as active as doxorubicin (IC50 = 28.85, 23.48 and 27.51 μmol/l). A convenient synthesis of novel isoxazole-substituted 9-anilinoacridine derivatives 64 (fig. 9) was reported by Kalirajan et al. [59]. The compounds were screened for in vitro antioxidant activity by DPPH method, reducing power assay and total antioxidant capacity method. The cytotoxic activity of the compounds was also studied in HEp-2 cell line. The docking studies of the synthesised compounds were performed towards the key nucleoside dsDNA by using AutoDock vina 4.0 programme. All the isoxazole substituted compounds possess significant activities.

Fig. 9: Structures of anticancer isoxazoles 62-67
Several isoxazoline derivatives 65a and 65b (fig. 9) were synthesised, from substituted 1,3,4-thiadiazoles and 1,2,4-triazole-3-thione by Sevim et al. [60]. In the first part, compounds 2-(4-aminophenyl)-5-alkyl/arylamino-1,3,4-thiadiazoles and 5-(4-aminophenyl)-4-substitude-2,4-dihydro-3H-1,2,4-triazole-3-thiones were prepared from ethyl 4-aminobenzoate. In the second part, compounds, which were prepared by coupling the diazonium salts of aromatic primary amines with ethyl acetoacetate were cyclized with hydroxylamine hydrochloride in presence of sodium acetate in ethanol yielded 3-methyl-4-[2-{4-[5 alkyl/arylamino)-1,3,4-thiadiazol-2-yl]phenyl}hydrazinylidene]isoxazol-5(4H)-one and 3-methyl-4-[2-{4-[4-(4-alkyl/aryl)-5-thioxo-4,5-dihydro-1H-1,2,4-triazol-3-yl]phenyl}hydrazinylidene]isoxazol-5(4 H)-one. Cytotoxicity of these compounds was evaluated by using HEK293 cell line of MTT assay. The highest inhibitions were confirmed as 45.72 % for the compound 3-methyl-4-[2-(4-{5-[(4-methoxyphenyl) amino]-1,3,4-thiadiazol-2-yl}phenyl) hydrazinylidene]isoxazol-5(4 H)-one and 33.07 % for the compound 3-methyl-4-[2-(4-{5-[(4-methylphenyl)amino]-1,3,4-thiadiazol-2-yl}phenyl) hydrazinylidene]isoxazol-5(4H)-one.
Rajanarendar et al. [61] reported the synthesis of N-1 (3,5-dimethyl-4-isoxazoyl)-3-(4-aryl-5-thioxo-4,5-dihydro-1H-1,2,4-triazol-3-yl)-procainamide 66 (fig. 9) from 4-amino-3,5-dimetylisoxazole in five steps. They evaluated the antitumor activity of these compounds by a standard method. Parikh et al. [62] reported the condensation of 2-acetylbenzimidazole with various aldehydes to form 3-(benzimidazol-2’-yl)-5-arylisoxazoles 67 (fig. 9). The purity of compounds was identified by chromatography and screened their antimicrobial and anticancer activity. All the synthesized compounds showed in vivo growth inhibitory activity against different microbes.
CNS active isoxazoles
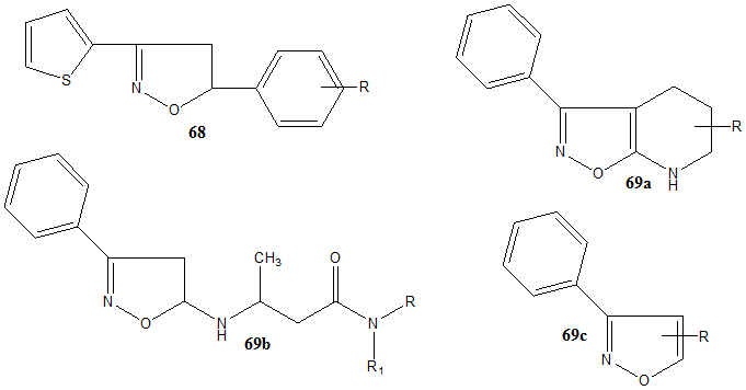
A series of 5-substituted phenyl-3-(thiophen-2-yl)-4,5-dihydro-1,2-oxazoles 68 (fig. 10) was synthesised by reacting appropriate chalcones of 2-acetyl thiophene with hydroxylamine hydrochloride in the presence of dry pyridine by Jagdish et al. [63]. All the compounds were evaluated for their antidepressant and antianxiety activities in mice by forced swimming test and elevated plus maze method, respectively. Test compounds and imipramine were administered intraperitoneally in the antidepressant study at dose of 10 mg/kg. Similarly to study antianxiety activity, test compounds at the dose of 10 mg/kg and diazepam at the dose of 2 mg/kg were administered intraperitoneally. However, preliminary antidepressant screening of compounds revealed that none of the compounds showed antidepressant activity except for one compound which moderately (P<0.05) reduced the duration of immobility time. This compound was also tested in vitro for its MAO inhibitory effect. One compound showed highest antianxiety activity compared to diazepam and did not show neurotoxicity in rotarod test. These compounds were also studied for pharmacokinetic parameters and were observed that the potent compound displayed good ADME properties.

Fig. 10: Structures of CNS active isoxazoles 68-69
Conformationally restricted analogs of muscle relaxant 3-amino-2-methyl-N-(3-pheny1-5-isoxazolyl) propanamide and 5-(3-aminopropylamino)-3-phenylisoxazoles 69a-69c (fig. 10) were prepared by Tochiro et al. [64]. Their muscle relaxant and other pharmacological activities were tested and compared with those of the corresponding acyclic derivatives. 7-(3-diethylamino-2-methylpropanoy1)-3-pheny1-4,5,6,7-tetrahydroisoxazolo[5,4-b]pyridine exhibited muscle relaxant and anticonvulsant activities comparable with those of corresponding acyclic derivatives, i.e. 3-diethylamino-2-methyl-N-(3-phenyl-5-isoxazolyl) propanamide, but other types of compounds showed lesser activities. The preferred conformation of the present isoxazole derivatives for muscle relaxant activity is also discussed. Compound 7-Benzy1-6-methy1-3-phenyl-4-pyrrolidino-4,5,6,7-tetrahydro isoxazolo[5,4-b] pyridine showed moderate central nervous system depressant activity.
Antitubercular isoxazoles
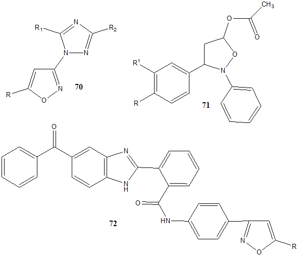
A new class of isoxazole derivatives 70 (fig. 11) containing 1,2,4-triazole moiety were synthesized to meet structural requirements essential for antibacterial, antimycobacterial and anticancer activity by Shantaram et al. [65]. 1-(3,5-dipheny-1H-1,2,4-triazole-1-yl) ethanone was treated with different aromatic aldehydes to get substituted chalcones then subsequently cyclized with hydroxylamine hydrochloride to yield 1-[5-(substituted aryl)-1,2-oxazol-3-yl]-3,5-diphenyl-1H-1,2,4-triazoles. Compounds were screened for in vitro antimicrobial activity against b. subtillis, e. coli, c. albicans and a. niger. MIC values were determined by liquid broth method. Chloro, nitro, methoxy substituted derivatives exhibited significant antibacterial and fungicidal potential. The in vitro antimycobacterial activity of the compounds against mycobacterium tuberculosis H37Rv was evaluated. The highest inhibition was observed as 76 % at>6.25 μg/ml. Among the synthesized isoxazole derivatives, five compounds have been selected and evaluated for their anticancer activity testing against a panel of approximately 60 different human tumor cell lines derived from nine neoplastic cancer types. The most efficient anticancer compound was found to be active with selective influence on leukemia cancer cell lines, especially on SR with a growth % of 71.72.
Virinder et al. [66] reported the enantioselective deacetylation reactions on 5-acetoxy-3-aryl-2-phenylisoxazolidines 71 (fig. 11) using candida rugosa lipase. Varying degree of enantioselectivity has been observed depending on the nature of the 3-aryl groups. These compounds showed antioxidant and antimycobacterial activities. Rajeev et al. [67] reported the preparation of substituted chalcones. Chalcones were prepared by the treatment of 5-benzoyl-benzimidazole-2-yl-o-benzoyl(4’-aminoacetophenone) with araldehydes, on cyclisation with hydroxylamine hydrochloride in ethanol furnish isoxazoles 72 (fig. 11). The same chalcones on condensation with malononitrile yield cyanopyridine. Most of the compounds showed activity against mycobacterium tuberculosis H37Rv.

Fig. 11: Structures of antitubercular isoxazoles 70-72
Miscellaneous active isoxazoles
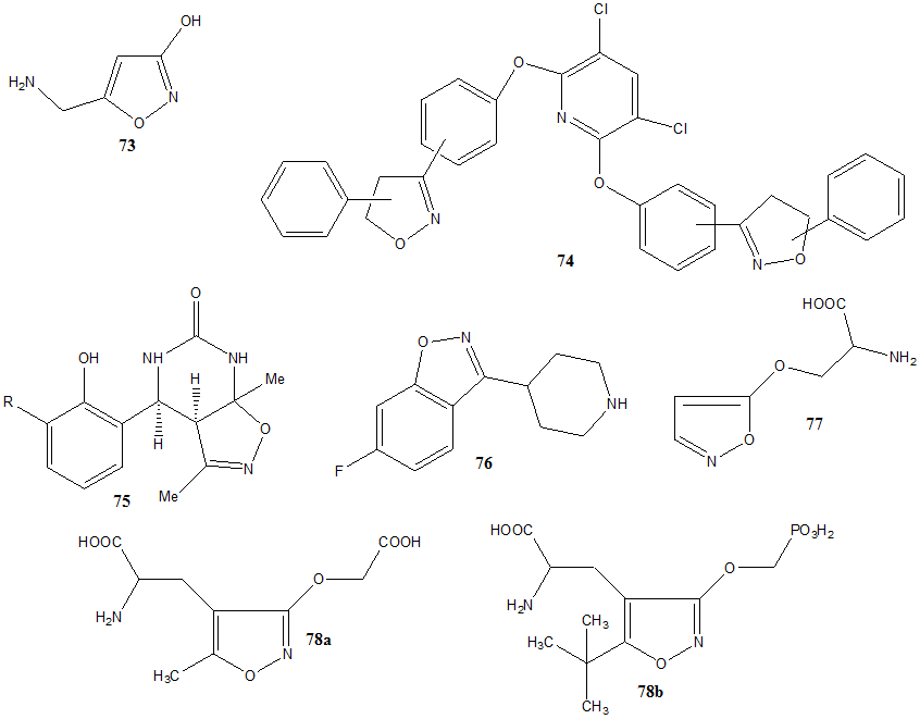
Graham et al. [68] reported muscimol 73 (fig. 12) as an ionotropic GABA receptor agonist. Muscimol, a psychoactive isoxazole from amanita muscaria and related mushrooms, has proved to be a remarkably selective agonist at ionotropic receptors for the inhibitory neurotransmitter GABA. This historic overview highlights the discovery and development of muscimol and related compounds as a GABA agonist by Danish and Australian neurochemists. Muscimol is widely used as a ligand to probe GABA receptors and was the lead compound in the development of a range of GABAergic agents including nipecotic acid, tiagabine, 4,5,6,7-tetra-hydroisoxazolo(5,4-c)pyridin-3-ol, (Gaboxadol) and 4-PIOL.
Vittal et al. [69] reported the synthesis of some novel 3,5-disustituted-4,5-dihydroisoxazoles and 3,4,5-trisustituted isoxazoles 74 (fig. 12). All the compounds are evaluated for their antimicrobial and antifungal activity. In addition, the effect of compounds on isolated frog heart is also reported. Aldoxime derivatives have been found to show good inhibitory activity whereas other compounds show better inhibition of sodium-calcium exchange ion on isolated frog heart studies. Abdel et al. [70] reported the synthesis of new 4-aryl-isoxazolo[5,4-d]pyrimidine-6-one and 4-aryl-pyrazolo[3,4-d]-pyrimidin-6-one derivatives 75 (fig. 12). All the compounds were evaluated for their antihypertensive activity. Rangappa et al. [71] reported the synthesis of 6-fluoro-3-(4-piperidinyl)-1,2-benzisoxazole hydrochloride 76 (fig. 12). Synthesis of 1,2-benzisoxazole analogues is described and they are found to be potent acetylcholinesterase inhibitors.
A novel isoxazole derivative, O-(5-isoxazolyl)-L-serine 77 (fig. 12), was synthesised by a Mitsunobu reaction of isoxazolin-5-one with N-Boc-L-serine tertbutyl ester and subsequent deprotection of the coupling product by Fumio et al. [72]. The pharmacological activity was also examined with cloned glutamate receptors and transporters using a xenopus oocyte expressing system showing substrate activity on an excitatory amino acid carrier 1 as a glutamate transporter.
Philip et al. [73] reported the antagonist properties of a phosphono isoxazole amino acid 78a and 78b (fig. 12) at glutamate R1–4 (R,S)-2-amino-3-(3-hydroxy-5-methyl-4-isoxazolyl)propionic acid receptor subtypes. The activity of the (R,S)-2-amino-3-(3-hydroxy-5-methyl-4-isoxazolyl)propionic acid (AMPA) receptor antagonist, (R,S)-2-amino-3-[5-tert-butyl-3-(phosphonomethoxy)-4-isoxazolyl]propionic acid (ATPO), at recombinant ionotropic glutamate receptors (GluRs) was evaluated using electrophysiological techniques. Responses at homo/heterooligomeric AMPA-preferring GluRs expressed in human embryonic kidney (HEK) 293 cells (GluR1-flip) or xenopus laevis oocytes (GluR1–4-flop or GluR1-flop 1 GluR2) were potently inhibited by ATPO with apparent dissociation constants (Kb values) ranging from 3.9 to 26 mmol. A Schild analysis for kainate (KA) activated GluR1 receptors showed ATPO to have a KB of 8.2 mmol and a slope of unity, indicating competitive inhibition. The antagonism by ATPO at GluR1 was of a similar magnitude at holding potentials between 2100 mV and 120 mV. In contrast, ATPO (300 mmol), does not inhibit responses to kainate at homomeric GluR6 or heterooligomeric GluR6/KA2 expressed in HEK 293 cells but activated GluR5 and GluR5/KA2 expressed in X. laevis oocytes. ATPO produced 15 % inhibition at the maximal concentration (300 mmol) of current responses through NR1A 1 NR2B receptors expressed in X. laevis oocytes. Thus, ATPO shows a unique pharmacological profile, being an antagonist at GluR1–4 and a weak partial agonist at GluR5 and GluR5/KA2.

Fig. 12: Structures of miscellaneous active isoxazoles 73-78
CONCLUSION
Isoxazole is a five-membered heterocyclic compound having various pharmacological actions [74-75]. Emerging research interest on isoxazole moiety already has been proven by various search groups in the literature. The great interest associated with isoxazoles and their derivatives is based on their versatility as synthetic building blocks. This review paper comprises of up to date information of isoxazole analogs. More emphasis was given to various biological activities associated with isoxazole moiety. Results of isoxazole derivatives and their substitutions effect on diverse biological activities are also presented. Though many procedures are established for the synthesis of isoxazole core, but very few of them yielded isoxazole with a better percentage, but much more effort yet to be given to develop new synthetic strategies. Furthermore, biological activities with new dimension need to be explored for isoxazole. Therefore this review may useful for medicinal chemist.
ACKNOWLEDGEMENT
Authors are thankful to the management of Sarojini Naidu Vanita Pharmacy Maha Vidyalaya, Secunderabad, Telangana and GITAM Institute of Pharmacy, Visakhapatnam and for providing necessary facilities to carry out the research work successfully.
CONFLICT OF INTERESTS
Declared none
REFERENCES
Dunstan WR, Dymond TS. The action of alkalis on the nitro compounds of the paraffin series-formation of isoxazoles. J Chem Soc 1891;59:410-33.
Rescifina A, Varrica MG, Carnovale C, Romeo G, Chiacchio U. Novel isoxazole polycyclic aromatic hydrocarbons as DNA intercalating agents. Eur J Med Chem 2012;51:163-73.
Lang Jr SA, Lin YI. Isoxazoles and their benzo derivatives. Compr Heterocycl Chem II 1984;6:1-130.
Quilico A, Stagno d’Alcontres G, Grunanger P. A new reaction of ethylenic double bonds. Nature 1950;166:226-7.
Quilico A, Gazz MF. Gold(III)-catalyzed one-pot synthesis of isoxazoles from terminal alkynes and nitric acid. Isoxazole Chim Ital 1930;60:172-4.
McConnell D. The problem of the carbonate apatites. J Am Chem Soc 1955;77:2344-5.
Eugster CH. Chemie der wirstoffe aus dem fliegenpilz (Amanita muscaria). Prog Chem Org Nat Prod 1969;27:261-321.
Lambein F, Kuo YH, Parijs RV. Isoxazolin-5-ones, chemistry and biology of a new class of plant products. Heterocycles 1976;4:567-93.
Mandawad GG, Dawane BS, Beedkar SD, Khobragade CN, Yemul OS. Trisubstituted thiophene analogues of 1-thiazolyl-2-pyrazoline, superoxidase inhibitors and free radical scavenger. Bioorg Med Chem 2013;21:365-72.
Sagar P, Vilasrao K, Ramesh B, Sachin SM, Vijay P. Synthesis and evaluation of isoxazole for their antimicrobial activity. Int J Compre Adv Pharmacol 2017;2:19-26.
Kumar NP, Jayakar B, Gopal N. Antimicrobial activity of novel isoxazole-containing quinazolinone derivatives. Asian J Res Chem Pharm Sci 2015;3:10-8.
Kalirajan R, Jubie S, Gowramma B. Microwave irradiated synthesis, characterization and evaluation for their antibacterial and larvicidal activities of some novel chalcone and isoxazole substituted 9-anilinoacridines. Peertechz J Med Chem Res 2015;1:001-7.
Pareshkumar UP, Vipul PG, Purohit DM, Patolia VN. Synthesis and biological evaluation of some new chalcone and isoxazole derivatives. Int J Sci Tech 2014;2:138-41.
Aiman A, Anis A, Himani V, Abdul R, Mohd R, Naidu S, et al. Designing and synthesis of novel antimicrobial heterocyclic analogs of fatty acids. Eur J Med Chem 2013;70:887-900.
Naqui JS, Mohammad I, Khatib NT, Dhonde MG. Pyrazoles, oxadiazoles and isoxazole bearing benzofuran moiety. S Afr J Chem 2013;66:248-53.
Anjani S, Kirti P, Rajinikant P. Antimicrobial evaluation of some novel isoxazoles, cyanopyridine and pyrimidinthiones. Indian J Chem 2013;52B:671-6.
Kamal KK, Shally C, Rajni K, Satya P. Synthesis and antimicrobial evaluation of novel lipophilic derivatives of pyrazolyl isoxazolines. Indian J Chem 2013;52B:259-65.
Vishal DJ, Mahendra DK, Sarita S. Synthesis and biological evaluation of some novel isoxazoles and benzodiazepines. J Chem Pharm Res 2012;4:3234-8.
Ali AEE, Khalid AA, Mohamed AAO, Abdul MSAT. Synthesis and antimicrobial activity of N′-heteroarylidene-1-adamantylcarbohydrazides and (±)-2-(1-Adamantyl)-4-acetyl-5-[5-(4-substituted phenyl-3-isoxazolyl)]-1,3,4-oxadiazolines. Molecules 2012;17:3475-83.
Mistry BD, Desai KR, Rana PB. Conventional and microwave induced synthesis of various pyrimidine and isoxazole derivatives were synthesized form 1-{4’-[(4”-methylpiperazinyl)diazenyl]phenyl}-3-(substituted phenyl)prop-2-en-1-one and studies of their antimicrobial activity. Indian J Chem 2011;50B:627-33.
Krishna VC, Subramanyam S, Raja S, Srivalli T, Sowmya SM, Srikanth S, et al. Synthesis, characterization and antimicrobial screening of 1-substituted-3-methyl-4-arylhydrazino-2-pyrazolin-5-ones and isoxazolines. Int J Inno Pharm Res 2011;2:156-60.
Gill CH, Badadhe PV, Chavan NM, Mandhane PG, Joshi RS, Nagargoje DR. Synthesis and characterization of some novel isoxazolines and pyrazolines as potent antimicrobial agents. Indian J Chem 2011;50B:879-84.
Pardasani RT, Pardasani P, Komal A, Sonali V, Rahul J. Synthesis, configurational analysis and antimicrobial activity of imidazolidinone, thiazolidinedione and isoxazolone derivatives of 9,10-phenanthrenequinone. Indian J Chem 2011;50B:83-8.
Rajanarendar E, Nagi RM, Raju S, Govardhan RK. Synthesis of 1-(5-methyl-3-isoxazolyl)-3,6-diaryl-4-thioxo-1,3,5-triazinan-2-ones. Indian J Chem 2011;50B:223-8.
Rattan LS, Tahira N, Kamal KK. Synthesis and biological screening of 7-alkyl-3,3a,4,5-tetrahydroisoxazolo[3,4-d]pyridines and 3-chloromethyl-7-methyl-3a,4-dihydro-3H-isoxazolo[3,4-d][1,2]oxazin. Indian J Chem 2011;50B:1282-9.
Bhaskar C, Manjit SC, Saurav K, Amalesh S. Synthesis and antibacterial activity of some novel isoxazolidine derivatives derived from N-phenyl-α-chloronitrone in water. Indian J Chem 2010;49B:209-15.
Shastri RA, Varudkar JS. Synthesis and antimicrobial activity of 3-propane-1,2-benzisoxazole derivatives. Indian J Chem 2009;48B:1156-60.
Ravindra MK, Ingle VN. Synthesis of novel benzothiazole and benzisoxazole functionalized unsymmetrical alkanes and study of their antimicrobial activity. Indian J Chem 2009;48B:996-1000.
Jadhav SB, Shastri RA, Bagul KR, Gaikwad KV. Synthesis and antimicrobial activity of N-substituted benzimidazoles. Indian J Heterocycl Chem 2009;18:319-20.
Vijay VD, Faisal YA. Synthesis and characterization of selected fused isoxazole and pyrazole derivatives and their antimicrobial activity. J Serb Chem Soc 2009;74:1219-28.
Anjani S, Yogesh P. An efficient synthesis of some new fluorine-containing acetyl pyrazoline and isoxazole derivatives and their antibacterial activity. Rasayan J Chem 2009;2:23-7.
Rajanarendar E, Ramu K, Siva RRA, Firoz PS. Synthesis and in vitro study of novel isoxazolyl benzoimidazolyl benzamides, acrylamides and propionamides as antimicrobial agents. Indian J Chem 2008;47B:1284-90.
Rajanarendar E, Mohan G, Kalyan Rao E, Siva RRA, Praveen B, Srinivasa RM. Synthesis, antimicrobial and mosquito larvicidal activity of N-protected amino acid/peptide isoxazoles. Indian J Chem 2008;47B:781-6.
Peesapati V, Nageswara RV. A novel synthesis of spiroisoxazoles via 1,3-dipolar cycloaddition of nitrile oxide to 6-arylidene-3-methyl-6,7,8,9-tetrahydrobenzo-cyclohepten-5-one. Indian J Chem 2007;46B:213-5.
Vaidya VP, Mahadevan KM, Basavaraj KM, Prathima MDA. Synthesis of novel naphtho[2,1-b]furo pyrazolyl, isoxazolyl and pyridyl derivatives as potential antimicrobial agents. Indian J Chem 2005;44B:789-93.
Rajanarendar E, Ramu K, Ramesh P. Synthesis of 2-oxo-2H-chromene-3-carboxylic acid(5-methyl-3-isoxazolyl) and (3-methyl-5-styryl-4-isoxazolyl)amides as potential bioactive compounds. Indian J Chem 2004;43B:1790-3.
Basanagoudar LD, Maddirala SJ, Totagi RS. Synthesis and antimicrobial activity of indole isoxazoline derivatives. Indian J Chem 2004;43B:964-70.
Parikh AR, Merja BC, Joshi AM, Parikh KA. Synthesis and biological evaluation of pyrido[1,2-a]pyrimidine derivatives. Indian J Chem 2004;43B:909-12.
Rajanarendar E, Karunakar D, Srinivas M. Synthesis and bioactivity of isoxazolyl thiazoles, isoxazolyl thiazolyl chromen-2-ones, isoxazolyl thiazinanes and isoxazolyl thiazolidinones. Indian J Chem 2004;43B:643-8.
Rajanarendar E, Karunakar D, Afzal Md. Synthesis of isoxazolylpyrazolo[3,4-d]thiazoles and isoxazolylthiazoles and their antibacterial and antifungal activity. Indian J Chem 2004;43B:168-73.
Basanagoudar LD, Maddirala SJ, RS Totagi. Synthesis and anti-microbial activity of indole isoxazole derivatives. Indian J Chem 2004;43B:978-81.
Parikh AR, Merja BC, Joshi AM, Parikh KA. Synthesis and biological evaluation of isoxazoline derivatives. Indian J Chem 2004;43B:955-9.
Parekh HH, Dobaria AV, Patel JR. Synthesis of pyrazoline and isoxazole derivatives bearing chloroquinoline nucleus as potential antimicrobial agents. Indian J Chem 2003;42B:2019-22.
Shah VH, Desai JM. Synthesis, spectral studies and biological profile of pyrazolines, isoxazoles, cyanopyridine having phenothiazine moiety. Indian J Chem 2003;42B:2595-2600.
Zi YZ, Xin PH, Lin MZ. Synthesis and antibacterial activities of 1,3,4-thiadiazole, 1,3,4-oxadiazole and 1,2,4-triazole derivatives of 5-metylisoxazole. Indian J Chem 1999;38B:1066-9.
Yorley D, Bárbara A, Gonzalo M, Francisca M, Tomas P, Margarita G, et al. Nitrogen heterocycles as potential antibacterial agents. ECSOC Doi:10.3390/ecsoc-17-a035.
Lincy J, Mathew G. Evaluation of in vivo and in-vitro anti-inflammatory activity of novel isoxazole series. Eur Int J Sci Tech 2016;5:35-42.
Said AS, Hassan AES, Ahmed FEF, Abdel GE, Saly I, Mohamed MA. Pharmacological activities of some synthesized substituted pyrazole, oxazole and triazolopyrimidine derivatives. Lat Am J Pharm 2016;35:1618-25.
Panda SS, Chowdary PVR, Jayashree BS. Synthesis, anti-inflammatory and antibacterial activity of novel indolyl isoxazoles. Indian J Pharm Sci 2009;71:684-7.
Airody VA, Karabasanagouda T, Girisha M. Synthesis of some new pyrazolines and isoxazoles carrying 4-methylthiophenyl moiety as a potential analgesic and anti-inflammatory agents. Indian J Chem 2009;49B:430-7.
Bhusari KP, Dravyakar BR, Khedekar PB, Kawade DP. Design and synthesis of some new diphenyl amino isoxazolines as a potent anti-inflammatory agent. Indian J Chem 2008;47B:1559-67.
Sahu SK, Banerjee M, Sahu D, Behera CC, Pradhan GC, Afzal AMd. Synthesis, analgesic and antimicrobial activities of some novel isoxazole derivatives. Dhaka Univ J Pharm Sci 2008;7:113-8.
Vagdevi HM, Latha KP, Vadidya VP, Vijaya KML, Pai KSR. Synthesis and pharmacological screening of some novel naphtha-[2,1-b]-furopyrazolines, isoxazoles and isoxazolines. Indian J Pharm Sci 2001;63:286-91.
Ganesamoorthy T. Synthesis and pharmacological evaluation of some 3-(2-fluorneyl)-5-(substituted phenyl)-4,5-dihydro-isoxazoles. Org Chem: Indian J 2016;12:1-12.
Thirunarayanan G, Sathiyendiran V. Synthesis, pharmacological and insect antifeedant activities of some 3-(2-naphthyl)-5-(substituted phenyl)-4,5-dihydroisoxazoles. Int Lett Chem Phys Astron 2015;49:1-14.
Madhavi K, Bharathi K, Prasad KVSRG. Synthesis and evaluation of 3-methyl-4-nitro-5-(substituted styryl)isoxazoles for antioxidant and anti-inflammatory activities. Res J Pharm Biol Chem Sci 2010;1:1073-82.
Hamama WS, Ibrahim ME, Zoorob HH. Synthesis and biological evaluation of some novel isoxazole derivatives. J Heterocyc Chem 2017;54:341-3.
Mostafa MG, Mahmoud SB, Mansour SA. Novel thiophene derivatives with sulfonamide, isoxazole, benzothiazole, quinoline and anthracene moieties as potential anticancer agents. Acta Pharm 2014;64:419-31.
Kalirajan R, Mohammed RMH, Sankar S, Jubie S. Docking studies, synthesis, characterization and evaluation of their antioxidant and cytotoxic activities of some novel isoxazole-substituted 9-anilinoacridine derivatives. Sci World J 2012;165258:1-6.
Sevim R, Sila K, Bedia KK, Suna OT, Julide A. Synthesis and evaluation of cytotoxic activities of some substituted isoxazolone derivatives. Marmara Pharm J 2011;15:94-9.
Rajanarendar E, Narsimha RChV, Raju S, Nagi RM. Synthesis of N-1(3,5-dimethyl-4-isoxazoyl)-3-(4-aryl-5-thioxo-4,5-dihydro-1H-1,2,4-triazol-3-yl)-procanamides as possible antitumor agents. Indian J Chem 2010;49B:1667-70.
Parikh AR, Vekariya NA, Khunt MD. Synthesis of isoxazoles and quinoxalines as potential anticancer agents. Indian J Chem 2003;42B:421-4.
Jagdish K, Mymoona A, Chanda R, Gita C. Design, synthesis and neuropharmacological evaluation of thiophene incorporated isoxazole derivatives as an antidepressant and antianxiety agents. Int J Pharm Chem Anal 2015;2:74-83.
Tochiro T, Kazuhisa NA, Shuji K, Shinji I, Hiroshi M, Hiroshi YA, et al. Isoxazole derivatives as centrally acting muscle relaxants. III. Synthesis and activity of conformationally restricted analogs. Chem Pharm Bull 1987;35:3676-90.
Shantaram K, Popat M, Ramdas P, Appala R. Synthesis and pharmacological evaluation of isoxazole derivatives containing 1,2,4-triazole Moiety. Marmara Pharm J 2012;16:134-40.
Virinder SP, Shubhasish MR, Ashish DP, Ashok KP, Carl EO, Ashok LC, et al. Synthetic and biological activity evaluation studies on novel isoxazolidines. Indian J Chem 2004;43B:2670-82.
Rajeev D, Hansa P, Preeti K. Synthesis and biological evaluation of some novel isoxazoles and cynopyridines: a new class of potential antitubercular agents. Indian J Chem 1999;38B:348-52.
Graham ARJ. Muscimol as an ionotropic GABA receptor agonist. Neurochem Res 2014;39:1942-7.
Vittal RB, Shailaja M, Manjula A. Synthesis of some novel 3,5-disustituted-4,5-dihydroisoxazoles and 3,4,5-trisustituted isoxazoles and their biological activity. Ind J Chem 2011;50B:214-22.
Abdel MAElK, Wageeh SElH, Eman MHA. Synthesis of new 4-aryl-isoxazolo[5,4-d] pyrimidine-6-one and 4-aryl-pyrazolo[3,4-d]-pyrimidin-6-one derivatives of potential antihypertensive activity. Indian J Chem 2006;45B:2091-8.
Rangappa KS, Basappa, Mantelingu K, Sadashiva MP. A simple and efficient method for the synthesis of 1,2-benzisoxazoles: a series of its potent acetylcholinesterase inhibitors. Indian J Chem 2004;43B:1954-7.
Fumio I, Akemi Y, Toshikazu S, Tsutomu I, Kuniko KE, Tadashi K, et al. Synthesis and pharmacological activity of O-(5-isoxazolyl)-L-serine. Chem Pharm Bull 2000;48:278-80.
Philip W, Charlotte A, Stephen FT, Jan E, Jesper SR, Povl KL, et al. Antagonist properties of a phosphono isoxazole amino acid at glutamate R1–4 (R,S)-2-amino-3-(3-hydroxy-5-methyl-4-isoxazolyl)propionic acid receptor subtypes. Molecular Pharmacol 1998;53:590-6.
Roopashree R, Mohan CD, Swaroop TR, Jagadish S, Rangappa KS. Synthesis, characterization, and in vivo biological evaluation of novel benzimidazoles as potential anticancer agents. Asian J Pharm Clin Res 2014;7:309-13.
Sarath S, Haripriya M, Anjali T. Synthesis and evaluation of anti-inflammatory and antibacterial activities of some 1, 2-benzisoxazole derivatives. Int J Curr Pharm Res 2016;8:64-7.
How to cite this article
Krishna Veni Chikkula, Raja S. Isoxazole–a potent pharmacophore. Int J Pharm Pharm Sci 2017;9(7):13-24.