Department of Pharmaceutical Chemistry, Poona College of Pharmacy, Bharati Vidyapeeth Deemed University (BVDU), Pune 411038, India.
Email: satish3619@rediffmail.com
Received: 10 Jul 2014 Revised and Accepted: 10 Aug 2014
ABSTRACT
Objective: To develop and validate a simple, precise, selective, and accurate reversed phase high performance liquid chromatography method for concurrent analysis of gymnemagenin, gallic acid and 18β-glycyrrhetinic acid in polyherbal formulation.
Methods: The chromatographic separation was achieved on a Thermo Synchronis C18, 5 μm, 250 × 4.6 mm i. d. analytical column. The mobile phase comprised of methanol: water (88: 12, v/v), pH 3.1 adjusted with orthophosphoric acid. The flow rate was kept at 0.8 mL min-1. Quantitation was achieved with UV detection at 218 nm, based on peak area.
Results: The retention time for gallic acid, gymnemagenin, and 18β-glycyrrhetinic acid was found to be 3.08, 4.15, and 10.30 min, respectively. Validation of the RP-HPLC method was performed as per International Conference on Harmonization (ICH) Q2 (R1) guideline. The proposed method showed good linearity in the range of 100-1000 μg mL-1 for gymnemagenin, 2.5-50 μg mL-1 for gallic acid and 50-500 μg mL-1 for 18β-glycyrrhetinic acid. The % content of gymnemagenin, gallic acid and 18β-glycyrrhetinic acid in the marketed formulation was found to be 0.1320, 0.2129 and 0.2799 %, respectively.
Conclusion: The proposed method can be useful in the quality control of gymnemagenin, gallic acid and 18β-glycyrrhetinic acid in polyherbal formulation.
Keywords: Gymnemagenin, Gallic acid, 18β-glycyrrhetinic acid, Isocratic HPLC, ICH.
INTRODUCTION
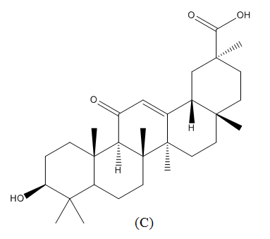
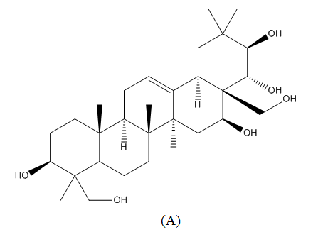
Gymnemic acid belongs to triterpenoid saponins class and is isolated from Gymnema sylvestre which is responsible for its anti-diabetic activity [1]. A common aglycone of gymnemic acids is gymnemagenin (Figure 1), produced after sequential acid and base hydrolysis [2]. Gymnemagenin is 3β, 16β, 21β, 22α, 23, 28-hexahydroxy-olean-12-ene [3]. Gallic acid is 3, 4, 5 trihydroxy benzoic acid and possess astringent activity, anti-inflammatory, cardio-protective, antioxidant activity and are proven to show beneficial effects on human health [4, 5]. Chemically, 18β-glycyrrhetinic acid (Figure 1) is 3 β-Hydroxy-11-oxo-12-oleanen-30-oic acid, an aglycone portion of glycyrrhizin which is responsible for antihyperglycemic action on streptozotocin induced diabetic rats [6]. Literature survey showed that gymnemagenin was analyzed by HPLC [2], HPTLC [7-12] and HPLC–ESI–MS/MS [13] methods. Few HPTLC [14-18], HPLC [19-22] and HPLC/DAD/ESI-MS [23] methods have been reported for estimation of gallic acid. 18β-Glycyrrhetinic acid was analyzed individually and in combination with other marker compounds by some HPLC [24-26]and HPTLC [27-31]methods. No reports were found for simultaneous quantification of gymnemagenin, gallic acid and 18β-glycyrrhetinic acid by HPLC method. Hence the objective of the research work was to develop and validate simple, precise, robust and accurate RP-HPLC method for the concurrent quantification of gymnemagenin, gallic acid and 18β-glycyrrhetinic acid in polyherbal formulation.
Experimental
Solvents and chemicals
Standard marker gymnemagenin, 18β-glycyrrhetinic acid was purchased from Natural Remedies, Bangalore, India and gallic acid from Merck Specialities Private Limited, Mumbai, India. Polyherbal formulation (Madhuveer Liquid) used in the study was purchased from the local market. HPLC grade reagents and chemicals were used in the study and purchased from Merck Specialities Private Limited, Mumbai, India. Double distilled water filtered through 0.45 μ filter paper was used in the research work.


Fig. 1: Chemical structures of (A) Gymnemagenin, (B) Gallic acid, and (C) 18β-Glycyrrhetinic acid
RP-HPLC Instrumentation and chromatographic conditions
The HPLC system (Jasco corporation, Tokyo, Japan) consisting of Jasco PU-2080 plus and PU-2087 plus intelligent pump along with manual injector (20 μL loop capacity) and UV- 2075 plus UV/VIS detector. ChromNAV control center 1.08.03 (Build 4) version software was used during the study. The chromatographic separation was achieved on Thermo Synchronis C18 analytical column (250×4.6 mm i. d., 5 μm) at 218 nm wavelength. The mobile phase comprised of methanol: water (88:12, v/v), pH 3.1, adjusted with orthophosphoric acid. The flow rate was set to 0.8 mL min-1. The ultrasonicator used in the study was Toshcon SW-4.5. All materials were weighed on Mettler Toledo A B207-5 balance. The volumetric glasswares of ‘A’ grade were used throughout the study.
Preparation of standard stock solutions
Standard stock solutions of markers were prepared separately by dissolving 10 mg of each marker in 10 mL methanol to get concentration of 1000 μg mL-1and used for further analysis.
Selection of detection wavelength
To obtain UV spectrum, 5 μL solution (in triplicate) of all phytoconstituents were applied on HPTLC plate and subjected to densitometric scanning over a range of 200-400 nm. Densitometric spectra obtained were overlain which showed that all phytoconstituents have reasonable absorption at 218 nm. Hence it was selected as the detection wavelength (Figure 2) for analysis.

Fig. 2: Overlain UV spectrum of gymnemagenin, gallic acid and 18β-glycyrrhetinic acid
Construction of calibration plots
For preparation of calibration plots, standard solution of gymnemagenin (1000 μg mL-1) was suitably diluted separately to obtain concentrations of 100, 200, 400, 600, 800, 1000 μg mL-1. Gallic acid (1000 μg mL-1) was diluted separately to obtain concentrations of 2.5, 5, 10, 20, 40, 50 μg mL-1and 18β-glycyrrhetinic acid (1000 μg mL-1) was diluted separately to obtain concentrations of 50, 100, 200, 300, 400, 500 μg mL-1. Peak area versus concentration of the drug was plotted to obtain calibration plot. Linearity was evaluated in the range of 100-1000 μg mL-1 for gymnemagenin, 2.5-50 μg mL-1 for gallic acid and 50-500 μg mL-1 for 18β-glycyrrhetinic acid.
Preparation of analytical samples
It was found that single method is not applicable for complete extraction of all these markers. Hence sample preparation for gymnemagenin, gallic acid and 18β-glycyrrhetinic acid was performed, separately.
Sample preparation for gymnemagenin
Reported method [7] was slightly modified to obtain the optimum amount of gymnemagenin. For analysis of the marketed formulation, 100 mL liquid formulation was refluxed for 2 h in 2 N methanolic HCl (50 %, 100 mL), filtered and filtrate was added in ice cold water to obtain precipitate which was refluxed for 2 h in 50 mL of 2 % methanolic KOH. The mixture was cooled, diluted with water and extracted with ethyl acetate. Ethyl acetate layer was separated, dried over anhydrous sodium sulphate and evaporated. The residue was reconstituted in 10 mL methanol and used with suitable dilutions for further analysis.
Sample preparation for gallic acid
For analysis of gallic acid in liquid formulation, 10 mL liquid was taken in 100 mL volumetric flask containing approximately 70 mL methanol and ultrasonicated for 1 h to ensure complete extraction of drug followed by final volume adjustment with methanol. Resulting solution was filtered through Whatman filter paper no. 1 and used with suitable dilutions for further analysis.
Sample preparation for 18β-glycyrrhetinic acid
The published method[27] was slightly modified to obtain the optimum quantity of 18β-glycyrrhetinic acid. Since glycyrrhetinic acid is present in bound form in the drug, the drug was subjected to acid hydrolysis. For analysis of the liquid formulation, 10 mL liquid formulation was hydrolyzed with 2N aqueous hydrochloric acid (100 mL) under reflux for 2 h.
The hydrolyzed extract was filtered through Whatman filter paper no. 1 and the marc was washed with minimum amount of double distilled water (~10 mL) and filtered. The combined filtrates were pooled together in a separating funnel and extracted with chloroform (3×50 mL). The combined CHCl3 extracts were dried over anhydrous sodium sulphate, concentrated and the volume was made up to 10 mL with methanol.
Assay validation
The proposed RP-HPLC-UV method was optimized and validated as per the International Conference on Harmonization [(ICH) Q2 (R1)] recommendations for accuracy, precision, linearity, robustness, and system suitability [32].
Linearity and Range
Linearity was performed by injecting stock solutions in the range of 100-1000 μg mL-1 for gymnemagenin, 2.5-50 μg mL-1 for gallic acid and 50-500 μg mL-1 for 18β-glycyrrhetinic acid. Peak areas obtained were processed and calibration curves were generated by Microsoft Excel software. To prove linearity, residual analysis was also performed along with correlation coefficient. Each standard solution of six different concentrations was injected in six replicates and chromatographed using the chromatographic conditions mentioned above.
Sensitivity
Sensitivity of the proposed RP-HPLC method was illustrated by determination of the limit of detection (LOD) and limit of quantitation (LOQ). As per ICH recommendations, the standard deviation of the response and the slope of the calibration plots were used to determine detection and quantification limits.
Specificity
The specificity of the proposed RP-HPLC method was estimated by analyzing the standard marker and sample. Peaks for gymnemagenin, gallic acid and 18β-glycyrrhetinic acid were confirmed by comparing the retention time. Excipients present in the herbal formulation did not interfere with the peaks of gymnemagenin, gallic acid and 18β-glycyrrhetinic acid.
Precision studies
In order to judge the quality of the proposed HPLC method, precision was determined. The precision of the proposed HPLC method was verified by intra-day and inter-day precision studies. Intra-day precision was performed by analysis of single concentration in six replicates of mixed standard solutions of gymnemagenin (200 μg mL-1), gallic acid (10 μg mL-1) and 18β-glycyrrhetinic acid (200 μg mL-1) which were prepared on the same day. Intermediate precision was performed by repeating analysis on three consecutive days. The peak areas were recorded and percentage relative standard deviation (% RSD) was calculated.
Accuracy studies
Accuracy studies were carried out to study the suitability and reliability of the proposed method. Accuracy studies were carried out in triplicate by standard addition method. Accuracy was determined through the percentage recoveries of known amounts of mixture of gymnemagenin, gallic acid and 18β-glycyrrhetinic acid added to solutions of marketed polyherbal formulation.
The samples were spiked with 80, 100 and 120 % of gymnemagenin (200 μg mL-1), gallic acid (10 μg mL-1) and 18β-glycyrrhetinic acid (100 μg mL-1) standard solutions. The percent ratios between the recovered and expected concentrations were estimated.
Robustness studies
The effects of small, deliberate variation of the analytical conditions on the peak areas of the drugs were examined. The robustness of the proposed chromatographic method was performed at a concentration of 200 μg mL-1 for gymnemagenin, 10 μg mL-1 for gallic acid and 200 μg mL-1 for 18β-glycyrrhetinic acid. The standard deviation of peak areas and % RSD were calculated for each variable parameter.
Analytical solution stability
The stability of gymnemagenin (200 μg mL-1), gallic acid (10 μg mL-1) and 18β-glycyrrhetinic acid standard solutions (200 μg mL-1) was performed after 0, 6, 12, 24 and 48 h of storage at room temperature. Solution stability was determined by comparing peak areas at each time point against freshly prepared solutions of standard markers.
System suitability
System suitability is essential for the assurance of the quality performance of the HPLC system. It was studied by taking the % RSD of retention time, resolution, peak asymmetry and theoretical plates of the five injections of gymnemagenin, gallic acid and 18β-glycyrrhetinic acid using developed method.
RESULTS AND DISCUSSION
HPLC method optimization
During the optimization of the proposed RP-HPLC method, different HPLC columns, mobile phases of various compositions of acetonitrile, water, methanol, potassium dihydrogen phosphate, sodium dihydrogen phosphate buffer with different molarities and different pH were tried. Finally the mobile phase consisting of methanol: water (88: 12, v/v), pH 3.1, adjusted with orthophosphoric acid was selected as it gave well resolved peaks. The column used was Thermo Synchronis C18 analytical column (250×4.6 mm i. d., 5 μm) and a flow rate of 0.8 mL min-1. The optimum wavelength for detection and quantitation used was 218 nm. Average retention time for gallic acid, gymnemagenin, and 18β-glycyrrhetinic acid were found to be 3.08, 4.15 and 10.30 min, respectively (Figure 3).

Fig. 3: Representative chromatogram obtained from a mixed standard solution of gymnemagenin, gallic acid and 18β-glycyrrhetinic acid
HPLC method validation
Linearity and Range
The results were found to be linear (Table 1) in the range of 100-1000 μg mL-1 for gymnemagenin, 2.5-50 μg mL-1 for gallic acid and 50-500 μg mL-1 for 18β-glycyrrhetinic acid.
To ascertain linearity, residual analysis was performed (Figure 4). Slope was significantly different from zero. Residual analysis (the differences between the measured and the calculated values) is the non-numerical test [33, 34]. Only a residual plot without any tendency proves the linearity of the calibration [35, 36].
Table 1: Linear regression data for the calibration curves (n = 6).
| Parameters | Gymnemagenin | Gallic acid | 18β-Glycyrrhetinic acid |
| Linearity range (μg mL-1) | 100-1000 | 2.5-50 | 50-500 |
| r2 | 0.999 | 0.999 | 0.999 |
| Slope | 2662 | 150150 | 10905 |
| Intercept | 16659 | 165050 | -64828 |
| 95 % Confidence limit of slope | 2588.553-2737.277 | 147964.499-152336.813 | 10549.005-11260.943 |
| 95 % Confidence limit of intercept | -28470.958-61789.906 | 104312.344-225786.764 | -172847.221- 43191.939 |
| Sy.xa | 18684.250 | 30874.490 | 44720.709 |
n = Number of determinations; r = Coefficient of correlation; aStandard deviation of residuals from line.

(A)

(B)
Sensitivity
The LOD and LOQ for gymnemagenin, gallic acid and 18β-glycyrrhetinic acid were found to be 23.15, 0.67, 13.53 μg mL-1 and 70.16, 2.05, 41.00 μg mL-1, respectively, indicating good sensitivity of the proposed HPLC method.

(C)
Fig. 4: Concentration Versus Residual Plot of (A) Gymnemagenin (B) Gallic acid and (C) 18β-glycyrrhetinic acid.
Table 2: Intra and inter day precision of the HPLC method (n=6)
| Marker compound | Actual concentration a | Intra/Inter day | |
| Concentration obtained a | % RSD | ||
| Gymnemagenin | 200 | 198.3/198.5 | 0.92/1.08 |
| Gallic acid | 10 | 9.86/9.91 | 1.02/0.99 |
| 18β-Glycyrrhetinic acid | 200 | 197.3/197.9 | 1.18/1.24 |
a μg mL-1; RSD = Relative standard deviation
Table 3: Results of recovery studies (n=3)
| Drug | Amount takena | Amount addeda | Amount founda± SD | % Recovery ± % RSD |
| Gymnemagenin | 200 | 160 | 356.1 ± 3.29 | 98.92 ± 0.92 |
| 200 | 200 | 392.7 ± 4.01 | 98.17 ± 1.02 | |
| 200 | 240 | 434.8 ± 4.14 | 98.82 ± 0.95 | |
| Gallic acid | 10 | 08 | 17.7 ± 0.21 | 98.63 ± 1.21 |
| 10 | 10 | 19.7 ± 0.22 | 98.76 ± 1.15 | |
| 10 | 12 | 22.1 ± 0.23 | 100.53 ± 1.07 | |
| 18β-Glycyrrhetinic acid | 100 | 80 | 177.6 ± 2.07 | 98.68 ± 1.17 |
| 100 | 100 | 199.8 ± 2.11 | 99.94 ± 1.05 | |
| 100 | 120 | 216.5 ± 2.14 | 98.41 ± 0.99 |
n = Number of determinations; a μg mL-1; SD = Standard deviation; RSD = Relative standard deviation
Specificity
It was found that, the base line did not show any significant noise and there were no other interfering peaks around the retention time of gymnemagenin, gallic acid and 18β-glycyrrhetinic acid, indicating specificity of the proposed chromatographic method.
Precision
The developed RP-HPLC method was found to be precise (Table 2), with % RSD values for repeatability and intermediate precision studies below 2 % as recommended by ICH Q2 (R1) guideline.
Accuracy
Satisfactory recoveries for gymnemagenin, gallic acid and 18β-glycyrrhetinic acid were obtained (Table 3), which indicate that the proposed chromatographic method is reliable for the simultaneous quantification of selected markers in this herbal formulation.
Analysis of marketed herbal formulation
Validity of the proposed RP-HPLC-UV method was applied to standardization of herbal dosage form in six replicate determinations. The percent content of gymnemagenin, gallic acid and 18β-glycyrrhetinic acid in marketed herbal formulation was found to be 0.1320, 0.2129 and 0.2799 %, respectively.
Robustness studies
As shown in Table 4, peak areas of the selected phytoconstituents remained unaffected (% RSD < 2), indicating robustness of the RP-HPLC method.
Analytical solution Stability
Solution stability of gymnemagenin, gallic acid and 18β-glycyrrhetinic acid was estimated at room temperature for 48 h. Low percentage relative standard deviation (below 2.0 %), indicated that both standard and sample solution was stable up to 48 h at room temperature.
System suitability
Higher number of theoretical plates (≥ 2000), peak symmetry (≤ 2), high resolution between the peaks (≥ 2.0), and proper retention time indicated suitability of the proposed HPLC method for quantification of gymnemagenin, gallic acid and 18β-glycyrrhetinic acid (Table 5).
Table 4: Robustness study of gymnemagenin, gallic acid and 18β-glycyrrhetinic acid (n = 6, 200 μg mL-1for both gymnemagenin and 18β-glycyrrhetinic acid, 10 μg mL-1for gallic acid)
| Parameter varied | Mean peak area ± SD | % RSD | ||||
| Gymnemagenin | Gallic acid | 18β-Glycyrrhetinic acid | Gymnemagenin | Gallic acid | 18β-Glycyrrhetinic acid | |
Mobile phase (Methanol) composition (± 1%) |
535921.3 ± 7454.96 | 1679256 ± 24181.67 | 2080372 ± 28105.46 | 1.39 | 1.44 | 1.35 |
Buffer pH (± 0.1) |
534592 ± 5665.95 | 1651777 ± 20410.16 | 2102480 ± 25198.43 | 1.05 | 1.23 | 1.19 |
| Elution flow rate (± 0.1 mL min-1) | 533178.3 ± 6665.53 | 1648889 ± 17594.19 | 2086502 ± 25865.17 | 1.25 | 1.06 | 1.23 |
Detection wavelength (± 2 nm) |
534417 ± 6084.84 | 1662451 ± 20063.34 | 2109117 ± 22993.62 | 1.13 | 1.20 | 1.09 |
n = Number of determinations; SD = Standard deviation; RSD = Relative standard deviation
Table 5: System suitability parameters of chromatogram for gallic acid, gymnemagenin and 18β-glycyrrhetinic acid
| Parameters | Proposed HPLC method | |||||
| Gallic acid | % RSD | Gymnemagenin | % RSD | 18β-Glycyrrhetinic acid | % RSD | |
| Retention time (min) | 3.08 | 0.93 | 4.15 | 0.68 | 10.30 | 1.22 |
| Peak asymmetry | 1.41 | 0.90 | 1.43 | 0.83 | 1.28 | 0.88 |
| Theoretical plates | 2144 | 0.80 | 2536 | 0.71 | 6388 | 0.90 |
| Resolution ± % RSD | 3.09 ± 0.40 | |||||
| 14.55 ± 0.54 |
RSD = Relative standard deviation
CONCLUSION
The validated HPLC method employed proved to be simple, rapid, precise, accurate, robust and thus can be intended for routine analysis of gymnemagenin, gallic acid and 18β-glycyrrhetinic acid in the herbal formulation used in the study.
ACKNOWLEDGEMENTS
The authors are thankful to University Grants Commission (UGC), New Delhi, India, for financial assistance for the research study under the scheme of Special Assistance Programme (SAP) of Departmental Research Support (DRS) Phase II.
CONFLICT OF INTEREST STATEMENT
We declare that we have no conflict of interest.
REFERENCES