1Department of Pharmaceutical Chemistry, Shri Vishnu College of Pharmacy, Vishnupur, Bhimavaram 534202, West Godavari –D.T., Andhra Pradesh, India, 2Department of Pharmaceutical Technology, Shri Vishnu College of Pharmacy, Vishnupur, Bhimavaram 534202, West Godavari –D.T., Andhra Pradesh, India.
Email: drasr@svcp.edu.in
Received: 12 Jul 2014 Revised and Accepted: 12 Aug 2014
ABSTRACT
Objective: Development of new semi-synthetic route for Coenzyme Q10 from solanesol isolated from tobacco waste and structural characterization by FT-IR, 1H & [13]C NMR, LC-MS spectral data and elemental analyses.
Methods: The authors described herein a new, short and highly efficient semi-synthetic route for Coenzyme Q10 (Scheme 1,2&3) starting with isolated solanesol (I) from tobacco waste via the formation of solanesol chloride (II), solanesol ester (III), solanesol acetone (IV) and isodecaprenol (V) as an intermediates. Later attachment of two subsections of the target, that is, a benzohydroquinone as an important precursor (VII), and an isodecaprenol (V, 50 carbon chain) was anticipated to occur via a zinc chloride catalyzed coupling reaction obtained Coenzyme Q10 (VI) in 90.00 % isolated yield. The synthesized compounds were characterized by FT-IR, 1H & [13]C NMR, LC-MS spectral data and elemental analyses.
Results: Coenzyme Q10 has been semi-synthesized by a novel process from the solanesol isolated from tobacco waste (biological waste) using readily available and inexpensive precursors like PCl3, ethyl acetoacetate, Grignard reagent and benzohydroquinone derivative via the formation of important precursor Isodecaprenol and optimizing the each reaction. The overall yield of Coenzyme Q10 was 17.24% under the optimized conditions.
Conclusion: This process achieved CoQ10 starting from an abundantly available solanesol from tobacco waste. Further improvement in the coupling reaction between Isodecaprenol (V) and Benzohydroquinone (VII) in the presence of Lewis acid may lead to a better and viable synthetic process. Hence this process may be economical and potential to be used for large-scale production.
Keywords: Coenzyme Q10, Isodecaprenol, Solanesol, Coupling reaction.
INTRODUCTION
Coenzyme Q10 (CoQ10) is a renowned member of the ubiquinone family, a vitamin-like nutrient and an essential component of the mitochondrial electron transfer chain because it is present in every cell in the human body accounts for its another name: ubiquinone. It is required for ATP synthesis and functions as an antioxidant in cell membranes and lipoproteins [1]. It has three decades of recognition in biomedical science; the combination of a polar head group attached to a 50 carbon tail is a remarkable construct of fruition and frequently referred to as the “miracle nutrient”, [2] CoQ10 plays a role in maintaining human health and vigor.
It is naturally synthesized in the body. The quinone ring of CoQ10 is synthesized from the aminoacids, tyrosine and phenylalanine and the polyprenyl side chain is synthesized from acetyl-CoA. A few of its many intrinsic worth are involvement in mitochondrial processes such as respiration, cellular production of ATP, maintenance of heart muscle strength, quenching of free radicals in the battle against aging, and enhancement of the immune system [3]. CoQ9 was found in rodents like mice and rats, while CoQ6, CoQ7 and CoQ8, were found in yeast and bacteria [4,5]. Literature review suggested that the CoQ10 exerts its antioxidant property by its reduced form (Figure 1) found from the studies on rat liver.
Fig. 1: Oxidized and Reduced forms of Coenzyme Q.
Like CoQ10, CoQ9 is not simply a compound responsible for energy transduction in mitochondrial membrane in rat heart: it also serves as a functional element in the cells and possesses ability for redox cycling. The CoQ10 differs from CoQ9 with respect to the number of isoprenoid units in the tail; CoQ10 has ten units in contrast to the presence of nine units in CoQ9. The majority of the CoQ10 is found in mammalian hearts including human myocardium [6] and is not an essential nutrient, because it can be synthesized in the body. And also found high amounts of CoQ10 in several food products including meat, fish, peanuts and broccoli [7].
It is also used in the treatment of periodontal disease, diabetes, Parkinson’s, Alzheimer’s, Huntington’s disease and to help counteract the aging process. It is also effective in relieving certain brain disorders by temporarily restoring mitochondrial activity in cells. There are two major factors that lead to deficiency of CoQ10 in humans: reduced biosynthesis, and increased utilization by the body. It is not toxic (there are no reported side effects). It is generally employed as a supplement, rather than a replacement for standard medical treatment. Dietary intake of CoQ10 is about 2-5 mg/day, which is inadequate for the body under pathophysiological conditions [8]. Although much of society is lack of awareness of the importance of ubiquinone, but chemists have devoted considerable effort in attempting to devise economically viable routes to this nutraceutical [9] as well as its lower homologues [10] since the first industrial approach by Hideki Fukawa at Nisshin in 1974 [11].
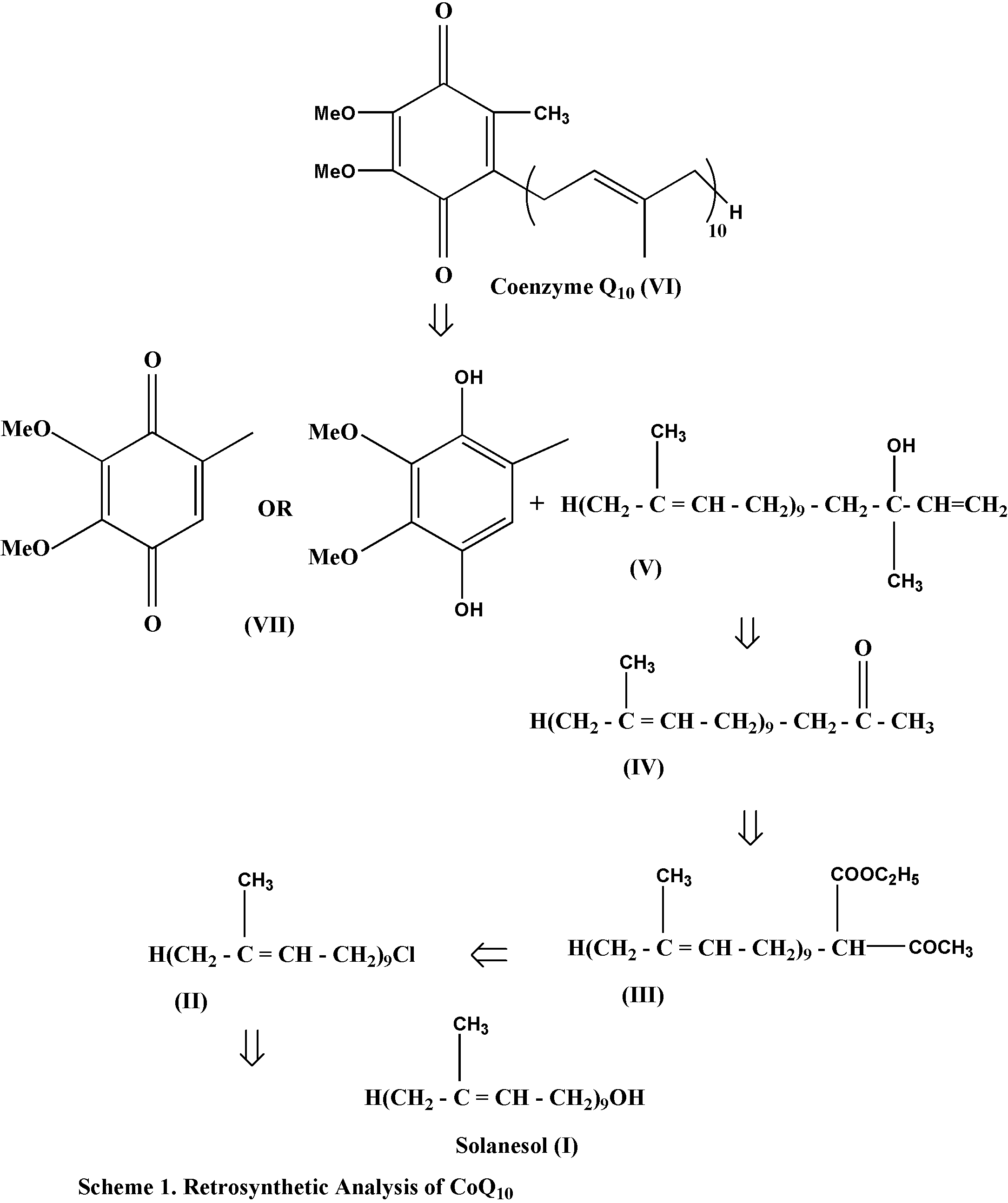
The authors describe herein a new, short and highly efficient semi-synthetic process for Coenzyme Q10 (Scheme 1,2&3) using retrosynthetic analysis starting with isolated solanesol from tobacco waste [12]. Starting with solanesol (I) and isodecaprenol (V) could be prepared as illustrated in Scheme 2. Thus, conversion of (I) to the corresponding chloride (II) (94 %) is best done using phosphorous trichloride (PCl3) in dimethylformamide (DMF), which gives rise to material of excellent quality simply upon workup. Treatment of (II) with ethyl acetoacetate, phase transfer catalyst and potassium carbonate in tetrahydrofuran (THF) gives intermediate (III), in 85% isolated yield. Exposure of (III) to warm alcoholic potassium hydroxide solution (10%) yielded solanesol acetone (IV) which upon treating with vinyl magnesium bromide in THF led essentially quantitatively to isodecaprenol (V). Attachment of two subsections of the target, that is, a benzohydroquinone (an aromatic precursor, VII), and an isodecaprenol (V) lipophilic hydrocarbon side chain, was anticipated to occur via a zinc chloride catalyzed coupling reaction obtained CoQ10 in 90 % isolated yield (Scheme 3).
MATERIALS AND METHODS
Chemistry
All reagents and solvents were used as purchased without further purification. Melting points were determined on a standard Boetius apparatus and are uncorrected. The IR spectra were recorded in Perkin-Elmer BXF1 FT-IR spectrophotometer using KBr disc method. 1H and [13]C NMR spectra were recorded in the indicated solvent on a Bruker AMX 400 and 100 MHz respectively with tetramethylsilane (TMS) as internal standard (chemical shifts in δ ppm). The splitting patterns of 1H-NMR were designed as follows: s: singlet, d: doublet, t: triplet, q: quartet, m: multiplet. The LC-MS [API/ESI-MS (80 eV)] spectra were recorded on Agilent HPLC 1100 series. The elemental analyses of the synthesized compounds were recorded on Carlo Erba 1108 elemental analyzer and were within ± 0.4% of the theoretical values. TLC was performed on Silica Gel F 254 plates (Merck) with visualization by UV (254 nm) chamber with protective filters. The major chemicals ethyl acetoacetate, tetrabutylammonium bromide, vinyl magnesium bromide were purchased from Sigma-Aldrich Chemical Corporation, USA. All other chemicals were of analytical grade. All the synthesized compounds have been purified by suitable crystallization procedure.
Experimental
Synthesis of solanesol chloride (II) from solanesol (I)
Phosphorus trichloride (1 ml, 0.01 mol) was added to a cooled dimethyl formamide (2 ml) at 10 °C slowly and the mixture was allowed to stand at room temperature for 90 minutes. To the mixture obtained was added a solution of solanesol, I (5.0 g, 0.007 mol) in toluene (10 ml) slowly at 10 °C. After addition, the reaction mixture was stirred for 90 min, poured into cold water (50 ml) and extracted with ethyl acetate (2 x 20 ml). Ethyl acetate extract was dried over sodium sulphate and concentrated under vacuum to give solanesol chloride, II (3.40 g).
1-Chloro-3,7,11,15,19,23,27,31,35-nonamethylhexatriaconta-2,6,10,14,18,22,26,30,34-nonaene (II): White solid, yield 78.0 %, mp 40-42 °C. IR (KBr, cm-1): 2982 (CH), 2926 (CH), 1632 (C=C), 1446 (CH2), 1372 (CH3), 846 (C–Cl). 1H NMR (CDCl3, δ ppm): 1.23-1.26 (32H, m, 16 CH2), 1.59 (3H, s, CH3), 1.67 (3H, s, CH3), 1.72 (3H, s, CH3), 2.03 (21H, s, 7 CH3), 4.08-4.14 (9H, m, 9 HC=), 5.10-5.13 (2H, t, OCH2). [13]C NMR (CDCl3, δ ppm): 140.4, 136.8, 135.8, 127.5, 124.6, 45.6, 38.2, 29.8, 27.0, 25.5 and 21.4. LC-MS [API/ESI-MS (80 eV)] (m/z %): 673 (M++ Na), 614 (M+ - 31), 512 (M+ - 138), 471 (M+ - 179), 409 (M+ - 241). Anal. Calcd for C45H73Cl: C, 83.14; H, 11.24; Cl, 5.46. Found: C, 83.38; H, 11.21; Cl, 5.45.
Synthesis of solanesol ester (III) from solanesol chloride (II)
To a stirred mixture of solanesol chloride, II (3.40 g, 0.005 mol), toluene (15 ml), tetra-n-butylammonium bromide (TBAB) as phase transfer catalyst (PTC) (1.70 g, 0.005 mol) and potassium carbonate (0.7 g, 0.005 mol), was added ethyl acetoacetate (0.65 g, 0.005 mol) and then the reaction mixture was stirred under reflux for 4 to 5 hr at room temperature. The reaction mass was cooled, washed with water (5 ml), dried over sodium sulfate and concentrated under vacuum to yield solanesol ester, III ( 3.0 g) as an oil.
3-(3,7,11,15,19,23,27,31,35)-nonamethylhexatriaconta-2,6,10,14,18,22,26,30,34-nonaene-ethyl acetoacetate (III): White solid, yield 80.0 %, mp 34-36 °C. IR (KBr, cm-1): 2957 (CH), 2923 (CH), 2853 (CH), 1743 (C=O), 1698 (C=C), 1447 (CH2), 1372 (CH3), 1236 [(C=O)-O]. 1H NMR (CDCl3, δ ppm): 0.78-0.89 (5H, m, CH2CH3), 1.23-1.27 (32H, m, 16 CH2), 1.42 (3H, s, CH3), 1.67 (3H, s, CH3), 1.70 (3H, s, CH3), 1.75 (3H, s, CH3), 2.04 (21H, s, 7 CH3), 2.21 (1H, s, CH), 4.09-4.14 (9H, m, 9 HC=), 5.09-5.13 (2H, t, CH2). LC-MS [API/ESI-MS (80 eV)] (m/z %): 766 (M++ Na), 587 (M+ - 156), 171 (M+ - 572), 92 (M+ - 651). Anal. Calcd for C51H82O3: C, 82.37; H, 11.04; O, 6.46. Found: C, 82.84; H, 11.04; O, 6.45.
Synthesis of solanesol acetone (IV) from solanesol ester (III)
A mixture of solanesol ester, III (3.0 g, 0.004 mol) in methanol (15 ml), 10% methanolic potassium hydroxide solution (10 ml) were heated to reflux for 2 hr at 50-55 °C. Methanol was removed by distillation under vacuum, neutralized with acetic acid and extracted with ethyl acetate (2 x 20 ml). The combined extract was concentrated to give solanesol acetone, IV (2.0 g).
3-(3,7,11,15,19,23,27,31,35)-nonamethylhexatriaconta-2,6,10,14,18,22,26,30,34-nonaene-propan-2-one (IV): White solid, yield 70.0 %, mp 38-40 °C. IR (KBr, cm-1): 2957 (CH), 2918 (CH), 2849 (CH), 1716 (C=O), 1683 (C=C), 1447 (CH2), 1379 (CH3), 1102 [C-(C=O)-C]. 1H NMR (CDCl3, δ ppm): 1.24-1.27 (32H, m, 16 CH2), 1.59 (3H, s, CH3), 1.67 (3H, s, CH3), 1.97 (3H, s, CH3), 1.99 (3H, s, CH3), 2.04 (21H, s, 7 CH3), 2.08 (2H, s, CH2), 4.09-4.14 (9H, m, 9 HC=), 5.09-5.13 (2H, t, CH2). LC-MS [API/ESI-MS (80 eV)] (m/z %): 711 (M++ K), 262 (M+ - 409), 171 (M+ - 500), 92 (M+ - 579). Anal. Calcd for C48H78O: C, 85.84; H, 11.62; O, 2.38. Found: C, 86.28; H, 11.64; O, 2.38.
Synthesis of Isodecaprenol (V) from solanesol acetone (IV)
To a cooled vinyl magnesium bromide (10 ml, 1 M solution) at 10 °C was added a solution of solanesol acetone, IV (2.0 g, 0.003 mol) in tetrahydrofuran (8 ml) over a period of 30 minutes and the reaction mixture was further stirred at room temperature for 2 to 3 hr. The reaction mass was cooled to 10°C and to this was added a solution of ammonium chloride (1.5 g) in water (40 ml). The pH of the reaction mass was adjusted to 7 with acetic acid, extracted with ethyl acetate (2 x 50 ml), dried over sodium sulfate and concentrated under vacuum to afford isodecaprenol, V (1.2 g) as whitish waxy solid.
3-Hydroxy-3-methyl-4-(3,7,11,15,19,23,27,31,35)-nonamethylhexatriaconta-2,6,10,14,18,22, 26,30,34-nonaene-butan-1-ene (V): White solid, yield 72.50 %, mp 34-36 °C. IR (KBr, cm-1): 3418 (OH), 2926 (CH), 2857 (CH), 1652 (C=C), 1444 (CH2), 1372 (CH3). 1H NMR (CDCl3, δ ppm): 1.24-1.27 (32H, m, 16 CH2), 1.55 (3H, s, CH3), 1.59 (3H, s, CH3), 1.67 (3H, s, CH3), 1.95-1.99 (1H, t, HC=), 2.04 (21H, s, 7 CH3), 2.06-2.08 (2H, d, J = 7.6 Hz, CH2), 2.13 (3H, s, CH3), 3.63 (2H, m, CH2), 4.09-4.14 (9H, m, 9 HC=), 5.09-5.13 (2H, t, CH2). LC-MS [API/ESI-MS (80 eV)] (m/z %): 722 (M++ Na), 668 (M+ - 31), 533 (M+ - 166), 325 (M+ - 374), 262 (M+ - 437), 171 (M+ - 528). Anal. Calcd for C50H82O: C, 85.84; H, 11.73; O, 2.28. Found: C, 86.18; H, 11.73; O, 2.28.
Synthesis of Coenzyme Q10 (VI) from Isodecaprenol (V)
To a mixture of 2,3-dimethoxy-5-methyl-1,4-benzohydroquinone, VII (0.182 g, 0.001 mol) and Isodecaprenol, V (1.2 g, 0.001 mol) in ether (5 ml) was added anhydrous zinc chloride (0.2 g, 0.001 mol) and catalytic amount of acetic acid and stirring continued until clear solution obtained. Then solvent was removed, residue was heated to 45 °C for 40 minutes and dissolved in hexane (25 ml). Hexane solution was washed with 75% aqueous methanol, dried over sodium sulfate and solvent removed to give a residue, which was purified by crystallization using hexane-ethyl acetate (1:9) gave coenzyme Q10, VI (0.85 g).
2-[(2E,6E,10E,14E,18E,22E,26E,30E,34E)-3,7,11,15,19,23,27,31,35,39-decamethyltetra conta-2,6,10,14,18,22,26,30,34,38-decaenyl]-5,6-dimethoxy-3-methylcyclohexa-2,5-diene-1,4-dione (VI): Orange yellow solid, yield 72.50 %, mp 34-36 °C. IR (KBr, cm-1): 2955 (CH), 2924 (CH), 2853 (CH), 1646 (C=O), 1612 (C=C), 1263 (C-O-C), 1154 (C-CO-C). 1H NMR (CDCl3, δ ppm): 1.53 (21H, s, 7 CH3), 1.57 (3H, s, CH3), 1.59 (3H, s, CH3), 1.67 (3H, s, CH3), 1.73 (3H, s, CH3), 1.95-1.99 (18H, m, 9 CH2), 2.01 (3H, s, CH3), 2.04-2.09 (18H, m, 9 CH2), 3.17-3.19 (2H, d, J = 7.2 Hz, CH2), 3.97 (3H, s, OCH3), 3.99 (3H, s, OCH3), 5.04-5.12 (10H, t, 10 HC=). [13]C NMR (CDCl3, δ ppm): 185.64, 144.56, 140.58, 139.76, 136.15, 135.64, 133.56, 125.05, 124.64, 123.25, 116.62, 65.02, 47.02, 39.42, 36.40, 31.56, 29.00, 27.38, 25.89, 22.64, 17.58 and 14.74. LC-MS [API/ESI-MS (80 eV)] (m/z %): 886 (M++ Na), 752 (M+ - 111), 677 (M+ - 196), 481 (M+ - 382), 325 (M+ - 538), 174 (M+ - 689). Anal. Calcd for C59H90O4: C, 82.04; H, 10.43; O, 7.41. Found: C, 86.18; H, 11.73; O, 2.28.
RESULTS and DISCUSSION
Conversion of solanesol (I) to solanesol chloride (II)
Chlorination of solanesol was tried with phosphorous trichloride/ thionyl chloride in solvents like benzene/toluene/dimethyl formamide. Reaction of solanesol with thionyl chloride in the ratio of 1:0.7 was proceeding at a temperature of 50-55 °C but the quality of the product, obtained, was poor. The preparation of solanesol chloride was then tried with phosphorous trichloride in the mole ratio of 1:0.4 to 1 at a temperature of 25-40 °C. However, reaction of solanesol with phosphorous trichloride in a mole ratio of 1:0.5 gave good yield of solanesol chloride. Duration of 1.5 hr, a temperature of 25-30 °C and dimethylformamide, as a solvent, were the more preferred conditions.
Conversion of solanesol chloride (II) to solanesol ester (III)
Reaction of solanesol chloride of formula II with ethyl acetoacetate to form solanesol ester of the formula III was carried out in the presence of bases like Na2CO3, K2CO3 or NaOEt using TBAB, TEBAC or CTAB as PTC. Solvents for the reaction used were toluene or ethyl acetate or 1,4-dioxane or dimethyl formamide at a temperature of 70-110 °C. Reaction in the presence of base like sodium ethoxide was progressing well, but the quality of the product was not good. Then the reaction was tried using alkali metal carbonate in solvents like toluene, acetone, acetonitrile, dimethylformamide, N-methyl pyrrolidone, dimethyl sulfoxide etc. in the presence or absence of a PTC. The reaction was preferably conducted in toluene, acetone, acetonitrile etc. using alkali metal carbonate and TBAB as PTC. The temperature of 90-100 °C and duration of 4-5 hr was ideal for the reaction.
Conversion of solanesol ester (III) to solanesol acetone (IV)
Hydrolysis of the solanesol ester was achieved in an alcohol like ethanol or methanol by using sodium hydroxide or potassium hydroxide. A temperature of 50-80 °C and duration of 2-4 hr was preferred. The reaction was more preferably carried out in 10-20% methanolic potassium hydroxide for 2 hr at a temperature 55-60 °C to give the solanesol acetone of formula IV.
Conversion of solanesol acetone (IV) to isodecaprenol (V)
Solanesol acetone in tetrahydrofuran was treated with vinyl magnesium bromide under nitrogen atmosphere at a temperature 5-35 °C for 2-3 hr. A temperature of 30 °C and reaction duration of 2 hr was ideal to give crude isodecaprenol of the formula V. This crude product was crystallized from acetone or acetonitrile to give isodecaprenol of high purity (HPLC-90%).


Conversion of isodecaprenol (V) to coenzyme Q10 (VI)
Condensation of isodecaprenol (V) with 2, 3-dimethoxy-5-methyl 1, 4-benzonhydroquinone (VII) was conducted in the presence of Lewis acids like BF3 etherate, aluminium chloride or zinc chloride as described below. Reaction of isodecaprenol (V) with benzohydroquinone derivative (VII) in the presence of AlCl3 was proceeding but side reactions were more. Then this reaction was tried in the presence of boric acid, where rate of reaction was very slow and yield of the product was very poor. Condensation of isodecaprenol (V) with hydroquinone derivative (VII) was conducted in the presence of BF3 etherate in nitromethane and hexane in a ratio of 2:1. Molar ratio of reactants and Lewis acid was 1:1. Temperature of the reaction was 35-40 °C. Quality of the product thus obtained, was good but not to satisfactory level. Then, condensation reaction was conducted in the presence of zinc chloride as Lewis acid. Coupling reaction was conducted using equimolar mixture of hydroquinone derivative of formula VII, isodecaprenol (V) and 0.5-1.5 moles of zinc chloride in the presence of catalytic amounts of alkanoic acids like acetic acids, propanoic acids, pivalic acid, monochloro acetic acid, trichloro acetic acid and trifluroacetic acid at a temperature of 30-55 °C. At a temperature of 30-40 °C the rate of reaction was very slow. However, the best yield of coenzyme Q10 formula VI was obtained, when the coupling reaction of equimolar mixture of hydroquinone VII, isodecaprenol V and zinc chloride was conducted in the presence of acetic acid or trichloroacetic acid at a temperature of 40-45 °C. Duration of reaction was 30-45 minutes.

CONCLUSION
Coenzyme Q10 is a potentially useful compound having wide number of health applications especially those related to cardiovascular diseases. Though the CoQ10 from biotechnology process can able to meet the current demand, no commercially viable synthetic process is available. In the present study, we have developed a simple and effective method for the synthesis of Coenzyme Q10 by a novel process from the solanesol isolated from tobacco waste (biological waste) using readily available and inexpensive precursors like PCl3, ethyl acetoacetate, Grignard reagent and hydroquinone derivative via the formation of important precursor Isodecaprenol. The key parameters of each reaction were also optimized and the overall yield of Coenzyme Q10, VI was 17.24% under the optimized conditions. Hence this process was found to be economical, and has the potential to be used for large-scale process also.
ACKNOWLEDGEMENTS
This work was financially supported by the project of All India Council for Technical Education (AICTE), under Research Promotion Scheme (RPS–C) (F.No.: 8023/BOR/RID/RPS-104/2009-10, and Ref.No. 200-21/FIN/2010-2011/363), Government of India, New Delhi, India.
THE AUTHORS HAVE NO CONFLICT OF INTEREST
REFERENCES