Department of Pharmaceutical Chemistry, JSS College of Pharmacy, JSS University, Mysore 570015, India.
Email: mnpurohit04@yahoo.com
Received: 13 Jul 2014 Revised and Accepted: 14 Aug 2014
ABSTRACT
Objective: Angiogenesis inhibitors are a novel class of promising therapeutic agents for treating cancer and other human diseases. Biological transformations and pathways that play a role in angiogenesis are, therefore, particularly attractive targets as potential methods for inhibiting solid tumors. MetAP2 is of particular interest because the enzyme plays a key role in angiogenesis, the growth of new blood vessels, which is necessary for the progression of diseases including solid tumor cancers and rheumatoid arthritis. In this paper we report the quantitative structure activity relationship and docking studies of 1, 2, 4 triazole derivatives for designing novel MetAP2 inhibitors.
Methods: Tripos Sybyl X 2.1 program was used to conduct docking based CoMFA, CoMSIA and Topomer CoMFA QSAR modeling for a dataset of 77 triazoles.
Results: The CoMFA, CoMSIA and Topomer CoMFA models demonstrated good statistical results with cross-validated coefficient (q2) of 0.703, 0.704, 0.746 and correlation coefficient (r2) of 0.894, 0.889, 0.886 respectively and these models have been externally validated.
Conclusion: Based on the statistical results obtained from the above model, the CoMFA, CoMSIA and Topomer CoMFA model can be utilized to design new molecules having 1, 2, 4 triazoles as common core with significant MetAP2 inhibitory activity.
Keywords: QSAR, CoMFA, CoMSIA, 1,2,4-triazole, MetAP2.
INTRODUCTION
Cancer is one of the most formidable afflictions in the world [1] Cancer known medically as malignant neoplasm is a broad group of diseases characterized by abnormal cell growth. In cancer, cells divide and grow hysterically, forming malignant tumors, and invading surrounding parts of the body. The cancer may also metastasize to more distant parts of the body through the lymphatic system or blood stream. All tumors are not cancerous; benign tumors do not invade neighboring tissues and do not spread throughout the body. There are more than two hundred different known cancers that affect humans [2-3]. Recent statistics indicates that, cancer accounts for about 23% of total deaths in the USA and the second most common cause of death after cardio vascular diseases. Therefore, there is an increasing need for new therapies, especially those based on current knowledge of cancer molecular biology and pathology [4].
Angiogenesis is a key process in the progression of a number of diseases such as diabetic retinopathy, rheumatoid arthritis, and cancer [5-6]. Cancerous tumors do not metastasize without the formation of new blood vessels. Biological transformations and pathways that play a role in angiogenesis are, therefore, particularly attractive targets as potential methods for inhibiting solid tumor growth/ metastasis. Methionine amino peptidase type II, in humans is encoded by the MetAP2 gene [7-8]. MetAP2, a member of the dimetallohydrolase family, is a cytosolic metallo-enzyme that catalyzes the hydrolytic removal of N-terminal methionine residues from nascent proteins [9-11]. MetAP2 is found in all organisms and is especially important because of its critical role in tissue repair and protein degradation [9]. It is expressed at higher concentrations in tumor as compared to normal cells. Available reports also suggested that MetAP2 plays an important role in growth of different type of tumors. MetAP2 is also the target of two groups of anti-angiogenic natural products (ovalicin and fumagillin) and their analogs which irreversibly inhibit MetAP2 through covalent modification of an epoxide [12-15]. MetAP2 is of particular interest because the enzyme plays a key role in angiogenesis, the development of new blood vessels, which is essential for the progression of diseases including solid tumor cancers and rheumatoid arthritis [16]. Due to the critical role of these enzymes for angiogenesis, MetAP2 has been one of the major targets in the anticancer drug development area. With an improved understanding of the genes and pathways accountable for cancer instigation and progression, cancer drug development has undergone a paradigm change in the recent years, from mainly cytotoxic agent based therapy to therapy aimed at molecular and genetic targets.
Quantitative structure-activity relationship (QSAR) enables the investigators to establish a reliable quantitative structure-activity relationship and structure-property relationships to derive an in silco QSAR model to predict the activity of novel molecules prior to their synthesis. The process of QSAR model development can be divided into three stages namely; data preparation, model development, and validation, representing a standard practice of any QSAR modeling. 3D-QSAR methodologies have been successfully used to generate models of various chemotherapeutic agents [17-19].
We have carried out 3D-QSAR studies employing comparative molecular field analysis (CoMFA) [20], comparative molecular similarity indices analysis (CoMSIA) [21] and Topomer CoMFA [22] techniques in order to study and deduce a correlation between structure and biological activity of 1,2,4 triazoles as MetAP2 inhibitors. Partial least square (PLS) based statistical analysis was carried out on aligned molecules to identify the correlation. The contour maps generated help in explaining the observed variation in activity. Validity of contour map analysis has been carried out using molecular docking studies. Important features observed in the developed model have been used to design new molecules, which showed higher predictivity and binding affinity in terms of different binding scores and selectivity in terms of interaction within the MetAP2 active site [23].
Computational analysis
Data set
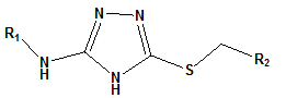
The in vitro biological activity reported as Ki,app for the inhibition of MetAP2 by 1,2,4 triazoles were used for the current study. The in vitro assay involved inhibition of MetAP2 by an XTT assay. These compounds are shown in Table 1. All the molecules were obtained from previously reported literature [24] The biological activity obtained as Ki,appvalues were converted into pKi,app (-logKi,app) and used as dependent variable in the CoMFA, CoMSIA and Topomer CoMFA calculations. The in vitro Ki,app values employed in this work were measured under the same experimental conditions [25], a fundamental requirement for QSAR studies. As a rule of thumb, a spread in affinity of at least three logarithmic units is considered necessary for developing a statistically significant 3D-QSAR model [26]. Here the biological data is spread over a range of nearly five logarithmic units from 5.76 to 10.39. The molecular structure of 1,2,4 triazole derivatives were sketched using ChemSketch.
The generation of consistent statistical model depends on the proper selection of both training and test sets in terms of structural diversity and property values distribution.
From the data 75% of the compounds were selected as members of the training set for model construction and the other 25% compounds as test set for external validation in the ratio of 3:1. The compounds of test and training sets were selected based on unity fingerprints and dissimilarity, which is available in SYBYL X2.1.
Table 1: Structures and experimental biological activity of compounds against MetAP2
| Cmpd Code | R1 | R2 | Ki,app (nm) | Cmpd
Code |
R1 | R2 | Ki,app (nm) |
| 6 | Ph | Ph | 0.5 | 52 | 4-OMe-Ph | Cyclohexyl | 3.1 |
| 12 | Ph | thiophen-2-yl | 0.75 | 53 | 4-OMe-Ph | -CH=C(CH3)2 | 0.16 |
| 13 | 2-Me-Ph | Ph | 0.04 | 54 | 4-OMe-Ph | 5-methyl-3-isoxazol-3-yl | 1.6 |
| 14 | 2-Me-Ph | 2-Me-Ph | 2.5 | 55 | 3,4-OMe-Ph | Ph | 1.7 |
| 15 | 2-Me-Ph | 2-MeO-Ph | 61 | 56 | 3,4-OMe-Ph | 2-Me-Ph | 18 |
| 16 | 2-Me-Ph | 2-F-Ph | 0.23 | 58 | 3,4-OMe-Ph | 2-F-Ph | 1.3 |
| 17 | 2-Me-Ph | 3,4-difluoro-Ph | 2.4 | 59 | 3,4-OMe-Ph | 3,4-difluoro-Ph | 4.0 |
| 18 | 2-Me-Ph | 4-pyridyl | 3.7 | 60 | 3,4-OMe-Ph | 2-pyridyl | 24 |
| 19 | 2-Me-Ph | Cyclohexyl | 3.3 | 61 | 3,4-OMe-Ph | 4-pyridyl | 9.6 |
| 20 | 2-Me-Ph | -CH=C(CH3)2 | 0.15 | 62 | 3,4-OMe-Ph | Cyclohexyl | 8.3 |
| 21 | 2-Me-Ph | 2-methyl-thiazo-4-yl | 3.8 | 63 | 3,4-OMe-Ph | -CH=C(CH3)2 | 0.9 |
| 22 | 2-Me-Ph | 5-methyl-3-isoxazol-3-yl | 3.6 | 64 | 3,4-OMe-Ph | 2-methyl-thiazo-4-yl | 21 |
| 23 | 4-Me-Ph | Ph | 0.07 | 65 | 3,4-OMe-Ph | 5-methyl-3-isoxazol-3-yl | 7.0 |
| 24 | 4-Me-Ph | 2-Me-Ph | 6.5 | 66 | 4-CO2Me-Ph | Ph | 0.7 |
Table 1: (Continued)
| Cmpd
Code |
R1 | R2 | Ki,app (nm) | Cmpd
Code |
R1 | R2 | Ki,app (nm) |
| 26 | 4-Me-Ph | 2-F-Ph | 0.65 | 67 | 4-CO2Me-Ph | 2-Me-Ph | 135 |
| 27 | 4-Me-Ph | 3,4-difluoro-Ph | 3.3 | 68 | 4-CO2Me-Ph | 2-MeO-Ph | 10 |
| 28 | 4-Me-Ph | 2-pyridyl | 7.8 | 69 | 4-CO2Me-Ph | 2-F-Ph | 0.41 |
| 29 | 4-Me-Ph | 4-pyridyl | 5.7 | 70 | 4-CO2Me-Ph | 3,4-difluoro-Ph | 1.3 |
| 30 | 4-Me-Ph | Cyclohexyl | 100 | 71 | 4-CO2Me-Ph | 2-pyridyl | 0.9 |
| 31 | 4-Me-Ph | -CH=C(CH3)2 | 1.2 | 72 | 4-CO2Me-Ph | 4-pyridyl | 0.9 |
| 31 | 4-Me-Ph | 2-methyl-thiazo-4-yl | 7.8 | 73 | 4-CO2Me-Ph | Cyclohexyl | 2.7 |
| 33 | 4-Me-Ph | 5-methyl-3-isoxazol-3-yl | 3.5 | 74 | 4-CO2Me-Ph | -CH=C(CH3)2 | 0.5 |
| 34 | 4-Me-Ph | thiophen-2-yl | 5.2 | 75 | 4-CO2Me-Ph | 2-methyl-thiazo-4-yl | 3.8 |
| 35 | 4-Cl-Ph | Ph | 0.43 | 76 | 4-CO2Me-Ph | 5-methyl-3-isoxazol-3-yl | 0.8 |
| 36 | 4-Cl-Ph | 2-Me-Ph | 23 | 77 | 2-(Ph)-Ph | Ph | 740 |
| 38 | 4-Cl-Ph | 2-F-Ph | 0.61 | 80 | 2-(Ph)-Ph | 2-F-Ph | 350 |
| 39 | 4-Cl-Ph | 3,4-difluoro-Ph | 1.5 | 83 | 2-(Ph)-Ph | Cyclohexyl | 650 |
| 40 | 4-Cl-Ph | 2-pyridyl | 4.0 | 84 | 2-(Ph)-Ph | -CH=C(CH3)2 | 480 |
| 41 | 4-Cl-Ph | 4-pyridyl | 2.5 | 85 | 2-(Ph)-Ph | 5-methyl-3-isoxazol-3-yl | 1700 |
| 42 | 4-Cl-Ph | Cyclohexyl | 5.2 | 86 | 3-pyridyl | Ph | 0.04 |
| 43 | 4-Cl-Ph | CH=C(CH3)2 | 0.52 | 87 | 3-pyridyl | 2-Me-Ph | 1.7 |
| 44 | 4-Cl-Ph | 2-methyl-thiazo-4-yl | 4.8 | 88 | 3-pyridyl | 2-F-Ph | 0.3 |
| Table 1: (Continued) | |||||||
| Cmpd
Code |
R1 | R2 | Ki,app (nm) | Cmpd
Code |
R1 | R2 | Ki,app (nm) |
| 45 | 4-Cl-Ph | 5-methyl-3-isoxazol-3-yl | 1.8 | 89 | 3-pyridyl | 3,4-difluoro-Ph | 0.5 |
| 46 | 4-OMe-Ph | Ph | 0.05 | 90 | 3-pyridyl | 2-pyridyl | 5.7 |
| 47 | 4-OMe-Ph | 2-MeO-Ph | 34 | 91 | 3-pyridyl | 4-pyridyl | 3.0 |
| 48 | 4-OMe-Ph | 2-F-Ph | 0.13 | 92 | 3-pyridyl | Cyclohexyl | 6.5 |
| 49 | 4-OMe-Ph | 3,4-difluoro-Ph | 2.1 | 93 | 3-pyridyl | 2-methyl-thiazo-4-yl | 9.1 |
| 50 | 4-OMe-Ph | 2-pyridyl | 18 | 94 | 3-pyridyl | 5-methyl-3-isoxazol-3-yl | 1.5 |
| 51 | 4-OMe-Ph | 4-pyridyl | 6.1 |
Molecular Docking
To determine the most probable binding confirmations of the whole data set, SYBYL-X 2.1 Surflex-Dock has been used.
The protein structure of human MetAP2 was obtained from protein data bank (PDB Code: 2OAZ). This structure is determined at 1.90 Å resolution. We performed the minimization of MetAP2 using 2OAZ as template using the prepare protein module in SYBYL-X 2.1. Surflex-Dock. The ligand substructure was extracted and all unnecessary water molecules were removed. Explicit hydrogen’s were added to the protein and protein model was charged with Gasteiger-Marsili and ligand using Gasteiger-Huckel charges. Energy minimization and relaxation of the loop region was performed using 1000 iterations with AMBER7 FF99 as force field. All the molecules were docked into the active site of MetAP2. The docking confirmation of most potent compound (86) was used for aligning all the molecules in the 3D-QSAR study.
Validation of docking results
Generally, the performance of the docking software is judged from the resemblance of docked pose to the corresponding co-crystallized ligand27. The available X-ray crystal structure of 2OAZ in complex with co-crystalized ligand was under taken to validate the docking reliability. Eventually all the docked solutions reside almost at the same coordinating position as the co-crystallized ligand. The selected docked pose of co-crystallized ligand remains the same at the binding site. This enables us to ensure that the docked possess of compounds resemble that of the compound 86 in the active site of MetAP2 (Fig 1).

Fig. 1: Docking interaction of compound 86 with HIS 231 and ASP 262 in the MetAP2 active site (PDB Code: 2OAZ).
Alignment
Since there is a critical requirement of structure alignment in CoMFA analysis to generate a 3D QSAR model, the alignment rules remains to be a crucial process in 3D QSAR analysis. Because of the structural similarity of compounds in our dataset, all of the compounds in both training set and test set were assumed to interact with MetAP2 through the same binding motifs.

Fig. 2: 3D-QSAR structure alignment and superposition of 77 compounds using compound 86 as the template.
The docked conformation of most active compound 86 was regarded as a structural template for molecular superimposition. The molecules in their respective lowest energy conformation were superimposed on the template using the rigid body fit option in SYBYL-X 2.1. The alignment of the compounds is shown in Fig 2.
CoMFA field calculation
The alignment training set of molecules were positioned inside grid boxes and grid spacing value of 2 Å in all Cartesian directions. The grid box dimensions were determined automatically in such a way that the region boundaries were extended beyond 4 Å in each direction for the co-ordinates of each molecule.
The steric (vdW interaction) and electrostatic (Columbic terms) fields were calculated at each intersection using standard Tripos force field. A distance dependent dielectric constant of 1.00 was used. A sp3 hybridized carbon atom with +1 charge served as probe atom to calculate steric and electrostatic fields. The cut off value for both steric and electrostatic interaction was set to 30 kcal/mol.
CoMSIA field calculation
All five physicochemical descriptors (electrostatic, steric, hydrophobic and hydrogen bond donor and acceptor) were evaluated at each lattice intersection of a regularly spaced grid of 2.0 Å. A probe atom with radius of 1 Å, +1 charge, hydrophobicity +1.0, H-bond donor and acceptor properties of +1.0 was used to evaluate the CoMSIA physicochemical descriptors. For attenuation factor (α) controlling the steepness of Gaussian function, the standard value of 0.3 was accepted.
The steric indices are related to the third power of the atomic radii, electrostatic descriptors are derived from atomic partial charge, hydrophobic fields are derived from atom based parameters, and H-bond donor and acceptor indices are obtained by a rule based method based on experimental results.
Topomer CoMFA
Topomer CoMFA is an alignment independent 3D-QSAR method that combines the topomer search method (a fragment alignment approach) with the conventional CoMFA method. A 3D-QSAR model was generated by splitting the molecules into fragments, topomerically aligning each fragment, and calculating steric and electrostatic field descriptor values for the topomerically aligned fragments to create a CoMFA table with the field descriptor values. Besides the common core of the ligand, we split side functional groups into two R-groups that refer to the R1 and R2 groups.
To evaluate the predictive ability of the Topomer CoMFA model, structure optimization of the test set was carried out as described previously for the training set. The pKi,appvalues of the test set were predicted on the basis of the constructed model.
Internal validation
Partial Least Square (PLS) regression [28-30] was used to analyse the training set by correlating the variation in the pKi,appvalues with variations in their CoMFA,CoMSIA and Topomer CoMFA interaction fields. The cross-validation analysis was performed using leave-one-out (LOO) method wherein one compound is removed from the data set and its activity is predicted using the model derived from the rest of the data set. The cross validated r2 that resulted in optimum number of components and lowest standard error of prediction was taken. To speed up the analysis and reduce noise, a minimum column filtering value (r) of 2.00 kcal⁄mol was used for the cross-validation. Final analysis (non-cross-validation) was performed to calculate conventional r2ncv using the optimum number of components obtained from the LOO cross-validation analysis.
External Validation of the 3D-QSAR models
The predictive abilities of the CoMFA, CoMSIA and Topomer CoMFA models were determined from a test set of compounds not included in the model generation. The experimental and predicted pKi,app values based on the selected CoMFA and CoMSIA and topomer CoMFA models for the test set and training set of compounds are listed in Table 2.
Table 2: The experimental p Ki, app, predicted p Ki, app and their residuals for the training and test set molecules using CoMFA, CoMSIA and topomer CoMFA.
| Cmpd Code | Actual pIC50 | CoMFA | CoMSIA | Topomer CoMFA | |||
| Predicted pIC50 | Residual | Predicted pIC50 | Residual | Predicted pIC50 | Residual | ||
| Training Set | |||||||
| 6. | 9.301 | 9.6495 | 0.3485 | 9.7179 | 0.4169 | 9.7046 | 0.4036 |
| 13 | 10.397 | 9.9483 | -0.4496 | 9.8407 | -0.5572 | 9.9064 | -0.4915 |
| 14 | 8.6021 | 8.1868 | -0.4153 | 8.1996 | -0.4025 | 8.1767 | -0.4254 |
| 15 | 7.2147 | 7.3478 | 0.1331 | 7.222 | 0.0073 | 7.2837 | 0.069 |
| 16 | 9.6383 | 9.6078 | -0.0305 | 9.5797 | -0.0586 | 9.6175 | -0.0208 |
| 17 | 8.6198 | 8.9371 | 0.3173 | 8.9578 | 0.338 | 8.9713 | 0.3515 |
| 18 | 8.4318 | 8.7441 | 0.3123 | 8.7749 | 0.3431 | 8.8022 | 0.3704 |
| 19 | 8.4815 | 8.2516 | -0.2299 | 8.1978 | -0.2837 | 8.209 | -0.2725 |
| 20 | 9.8239 | 9.7373 | -0.0866 | 9.6767 | -0.1472 | 9.7226 | -0.1013 |
| 21 | 8.4202 | 8.4139 | -0.0063 | 8.3903 | -0.0299 | 8.3455 | -0.0747 |
| 22 | 8.4437 | 8.8313 | 0.3876 | 8.8176 | 0.3739 | 8.8142 | 0.3705 |
| 23 | 10.154 | 9.476 | -0.6789 | 9.4275 | -0.7274 | 9.4771 | -0.6778 |
| 26 | 9.2007 | 9.1372 | -0.0635 | 9.1672 | -0.0335 | 9.1882 | -0.0125 |
| 27 | 8.4815 | 8.5299 | 0.0484 | 8.5542 | 0.0727 | 8.542 | 0.0605 |
| 28 | 8.1079 | 7.7828 | -0.3251 | 7.7692 | -0.3387 | 7.7658 | -0.3421 |
| 29 | 8.2441 | 8.3057 | 0.0616 | 8.3717 | 0.1276 | 8.373 | 0.1289 |
| 30 | 7 | 7.7929 | 0.7929 | 7.7915 | 0.7915 | 7.7798 | 0.7798 |
| 31 | 8.9208 | 9.2476 | 0.3268 | 9.2707 | 0.3499 | 9.2933 | 0.3725 |
| 32 | 8.1079 | 7.8917 | -0.2162 | 7.9791 | -0.1288 | 7.9162 | -0.1917 |
| 33 | 8.4559 | 8.3642 | -0.0917 | 8.4163 | -0.0396 | 8.385 | -0.0709 |
| 34 | 8.284 | 8.2602 | -0.0238 | 8.3674 | 0.0834 | 8.2729 | -0.0111 |
| 35 | 9.3665 | 9.7021 | 0.3356 | 9.5925 | 0.226 | 9.6775 | 0.311 |
| 36 | 7.6383 | 7.9296 | 0.2913 | 7.9487 | 0.3104 | 7.9478 | 0.3095 |
| 38 | 9.2147 | 9.398 | 0.1833 | 9.3386 | 0.1239 | 9.3886 | 0.1739 |
| 39 | 8.8239 | 8.6802 | -0.1437 | 8.7006 | -0.1233 | 8.7424 | -0.0815 |
| 41 | 8.6021 | 8.5473 | -0.0548 | 8.5403 | -0.0618 | 8.5734 | -0.0287 |
| 42 | 8.284 | 8.0226 | -0.2614 | 7.9658 | -0.3182 | 7.9801 | -0.3039 |
| 44 | 8.3188 | 8.1468 | -0.172 | 8.1456 | -0.1732 | 8.1166 | -0.2022 |
| 45 | 8.7447 | 8.5652 | -0.1795 | 8.575 | -0.1697 | 8.5853 | -0.1594 |
| 46 | 10.301 | 9.9717 | -0.3293 | 9.9277 | -0.3733 | 9.9522 | -0.3488 |
| 47 | 7.4685 | 7.3463 | -0.1222 | 7.3001 | -0.1684 | 7.3296 | -0.1389 |
| 48 | 9.8861 | 9.6321 | -0.254 | 9.6659 | -0.2202 | 9.6633 | -0.2228 |
| 49 | 8.6778 | 8.9474 | 0.2696 | 9.0398 | 0.362 | 9.0171 | 0.3393 |
| 50 | 7.7447 | 8.2824 | 0.5377 | 8.2875 | 0.5428 | 8.2409 | 0.4962 |
| 52 | 8.5086 | 8.2869 | -0.2217 | 8.3004 | -0.2082 | 8.2549 | -0.2537 |
| 53 | 9.7959 | 9.7489 | -0.047 | 9.7666 | -0.0293 | 9.7684 | -0.0275 |
| 54 | 8.7959 | 8.8323 | 0.0364 | 8.907 | 0.1111 | 8.8601 | 0.0642 |
| 55 | 8.7696 | 9.2728 | 0.5032 | 9.172 | 0.4024 | 9.2392 | 0.4696 |
| 56 | 7.7447 | 7.4658 | -0.2789 | 7.5148 | -0.2299 | 7.5095 | -0.2352 |
| 59 | 8.3979 | 8.2545 | -0.1434 | 8.2823 | -0.1156 | 8.3041 | -0.0938 |
| 60 | 7.6198 | 7.5341 | -0.0857 | 7.5082 | -0.1116 | 7.5278 | -0.092 |
| 61 | 8.0177 | 8.0539 | 0.0362 | 8.1028 | 0.0851 | 8.1351 | 0.1174 |
| 63 | 9.0458 | 9.0087 | -0.0371 | 8.9934 | -0.0524 | 9.0554 | 0.0096 |
| 65 | 8.1549 | 8.0968 | -0.0581 | 8.137 | -0.0179 | 8.1471 | -0.0078 |
| 66 | 9.1549 | 9.5046 | 0.3497 | 9.3947 | 0.2398 | 9.3758 | 0.2209 |
| 67 | 6.8697 | 7.7475 | 0.8778 | 7.7475 | 0.8778 | 7.6461 | 0.7764 |
| 70 | 8.8861 | 8.5509 | -0.3352 | 8.5276 | -0.3585 | 8.4407 | -0.4454 |
| 72 | 9.0458 | 8.3528 | -0.693 | 8.3414 | -0.7044 | 8.2717 | -0.7741 |
| 74 | 9.301 | 9.3127 | 0.0117 | 9.2419 | -0.0591 | 9.192 | -0.109 |
| 77 | 6.1308 | 6.5054 | 0.3746 | 6.5017 | 0.3709 | 6.5203 | 0.3895 |
| 84 | 6.3188 | 6.1707 | -0.1481 | 6.3327 | 0.0139 | 6.3365 | 0.0177 |
| 85 | 5.7696 | 5.5644 | -0.2052 | 5.4621 | -0.3075 | 5.4281 | -0.3415 |
| 86 | 10.397 | 10.313 | -0.0849 | 10.4296 | 0.0317 | 9.9751 | -0.4228 |
| 87 | 8.769 | 8.21 | -0.5596 | 8.1654 | -0.6042 | 8.2454 | -0.5242 |
| 88 | 9.522 | 9.5072 | -0.0157 | 9.5615 | 0.0386 | 9.6861 | 0.1632 |
| 90 | 8.244 | 8.2674 | 0.0233 | 8.1964 | -0.0477 | 8.2637 | 0.0196 |
| 91 | 8.522 | 8.6671 | 0.1442 | 8.7474 | 0.2245 | 8.8709 | 0.348 |
| 93 | 8.041 | 8.3858 | 0.3448 | 8.3775 | 0.3365 | 8.4141 | 0.3731 |
| Test Set | |||||||
| 12 | 9.1249 | 8.4451 | -0.6798 | 8.6582 | -0.4667 | 8.5003 | -0.6246 |
| 24 | 8.1871 | 7.7128 | -0.4743 | 7.7901 | -0.397 | 7.7475 | -0.4396 |
| 40 | 8.3979 | 7.9951 | -0.4028 | 7.9425 | -0.4554 | 7.9661 | -0.4318 |
| 43 | 9.284 | 9.4726 | 0.1886 | 9.4331 | 0.1491 | 9.4937 | 0.2097 |
| 51 | 8.2147 | 8.7674 | 0.5527 | 8.8612 | 0.6465 | 8.8481 | 0.6334 |
| 58 | 8.8861 | 8.9292 | 0.0431 | 8.9042 | 0.0181 | 8.9503 | 0.0642 |
| 62 | 8.0809 | 7.5503 | -0.5306 | 7.5212 | -0.5597 | 7.5418 | -0.5391 |
| 64 | 7.6778 | 7.6808 | 0.003 | 7.7121 | 0.0343 | 7.6783 | 0.0005 |
| 68 | 8 | 6.9486 | -1.0514 | 6.7918 | -1.2082 | 6.7532 | -1.2468 |
| 69 | 9.3872 | 9.167 | -0.2202 | 9.1339 | -0.2533 | 9.0869 | -0.3003 |
| 71 | 9.0458 | 7.8401 | -1.2057 | 7.7601 | -1.2857 | 7.6644 | -1.3814 |
| 73 | 8.5686 | 7.8341 | -0.7345 | 7.7546 | -0.814 | 7.6784 | -0.8902 |
| 75 | 8.4202 | 7.9524 | -0.4678 | 7.9432 | -0.477 | 7.8149 | -0.6053 |
| 76 | 9.0969 | 8.4017 | -0.6952 | 8.376 | -0.7209 | 8.2837 | -0.8132 |
| 80 | 6.4559 | 6.1459 | -0.31 | 6.2384 | -0.2175 | 6.2314 | -0.2245 |
| 83 | 6.1871 | 4.7418 | -1.4453 | 4.8427 | -1.3444 | 4.8229 | -1.3642 |
| 89 | 9.301 | 8.9122 | -0.3888 | 8.9453 | -0.3557 | 9.0399 | -0.2611 |
| 92 | 8.1871 | 8.2432 | 0.0561 | 8.1769 | -0.0102 | 8.2777 | 0.0906 |
| 94 | 8.8239 | 8.762 | -0.0619 | 8.8049 | -0.019 | 8.8829 | 0.059 |
For a QSAR model, internal validation of leave-one-out cross-validated q2 is commonly used. But Golbraikh and Tropsha [31-32] reported that the high value of q2 was necessary and important but not the sufficient condition for a model to have a high predictive power. To estimate the predictive ability of the QSAR model, squared correlation coefficient values between the observed and predicted values of the test set compounds with intercept (r2) and without intercept (r20) were calculated. According to Golbraikh and Tropsha, models are considered acceptable if they satisfy all of the following conditions:
q2>0.5
r2>0.6
[(r2-r02)/r2]<0.1

Where k is the slope of regression lines through the origin, k is obtained according to the following formula:

Where
y= Experimental activity of Test set of Compounds
yi=Predicted Activity of Test set of compounds
R20 is calculated as follows

Where

According to Roy and Roy [30, 33-34] for a model with good external predictability, a difference between r2 and r20 values needs to be studied. An additional statistic for external validation r2m was introduced by the following equation.

A value of r2m greater than 0.5 may be taken as an indicator of good external predictability.
RESULTS AND DISCUSSION
CoMFA Statistical Results
For the CoMFA model, the highest cross-validated q2 was obtained by using the combination of steric and electrostatic fields. The best CoMFA model gave q2and r2 values of 0.703 and 0.816 respectively. The standard error for prediction was 0.358 with twelve components. The corresponding field contributions are 66.1&33.9 for steric and electrostatic respectively. Therefore, the steric field had greater influence than the electrostatic field on MetAP2 inhibitory activity. CoMFA analysis results are also summarized in Table 2 and 3. Fig 3A shows the relationship between the predicted and the experimental pKi, app values for the CoMFA model. The cross-validation results suggest that a reliable CoMFA model was successfully constructed.

Fig. 3: Calculated pKi, app versus experimental p Ki, app values for the 57 training set molecules and 19 test set molecules obtained by PLS analysis using CoMFA (a), CoMSIA (b) & Topomer CoMFA (c) models.
CoMFA contour Maps
CoMFA steric and electrostatic fields are shown in Fig 4A & 4B, respectively. The green contour characterizes the regions where bulky substituents would increase the MetAP2 inhibitory activity; whereas yellow contour indicates the regions where steric bulk would decrease inhibitory action. The contribution of the green and yellow contours was maintained as the default value of 80 and 20, respectively. The blue contour depicts the favorable sites for electropositive groups while the red contour favors the electronegative groups.
CoMFA contour map analysis provided significant information about the steric and electrostatic favorable and unfavorable regions. CoMFA steric contours (Fig 4A) showed a green contour around the carbon adjacent to sulphur and C2 of the phenyl ring (compound 86). The most potent compounds of the series 13 & 86 possess no bulky group on second position of the phenyl group. Small steric bulky groups are favorable at second and fourth position of R2 group. The phenyl group at R2 position is the most potent having no steric bulky groups. In case of compounds containing methyl group at second position of R2 (14, 24, 36, 56, 67, 87), the alignment of the steric group is towards the sterically favorable region, but reducing its activity as compared to compounds with no substitution (86). In compounds with methoxy group at ortho position of R2 (15, 47, 68) the activity has further decreased as compared to methyl group because the methoxy group is completely oriented in the sterically unfavorable region.
Table 3: The optimal results of the CoMFA, CoMSIA and Topomer CoMFA analyses for the MetAP2 Inhibitors
| Parameters | MetAP2 Inhibitors | ||||
| CoMFA | CoMSIA | Topomer CoMFA | |||
| q2 | 0.703 | 0.704 | 0.746 | ||
| r2 | 0.894 | 0.889 | 0.886 | ||
| SEE | 0.358 | 0.367 | .36 | ||
| F | 30.1 | 22.1 | 47.6 | ||
| N. C | 12 | 12 | 8 | ||
| Donor | - | 1.7 | |||
| Acceptor | - | 20.1 | |||
| Hydrophobic | - | 37.7 | |||
| Steric | 66.1 | 13.1 | R1 | R2 | |
| Steric+ve (green) | 0.141 | 1.547 | |||
| Steric-ve (yellow) | -0.282 | -0.886 | |||
| Electrostatic | 33.9 | 27.4 | Electro+ve (blue) | 0.316 | 0.757 |
| Electro-ve (red) | -0.007 | -0.426 | |||

Fig. 4: CoMFA contour maps of compound 86. (a) CoMFA steric contours: Green contours indicate regions where steric interaction is favored. Yellow contours are areas where the steric interaction is disfavored. (b) CoMFA electrostatic contours: the blue region represents the area where an electropositive group is favorable and the red region refers to the area where an electronegative group is favorable.
In case of electrostatic contours (Fig 4B), the red contour occupies second position of R2 substitution of phenyl ring and blue at third position. In compound 16, the fluoro group at second position is favorable because fluorine is an electronegative atom and aligns in the red contour. In case of 3,4 difluoro derivative (17) activity has decreased because the third fluoro group aligns in the electropositive region. Compound 21 containing thiazole ring, nitrogen of thiazole ring aligns in the electropositive region, while sulphur aligns in the electronegative region. This leads to decrease in activity compared to compound 22 which has an oxazole ring at R2 position. Oxygen and nitrogen aligns in the red contour enhancing activity over compound 21. These results in case of electrostatic contours are observed in all sets of compounds. From these results we can conclude that in case of aromatic R2 groups, an electronegative group at ortho position is favorable for enhanced activity. In case of five member ring, electropositive group at third and fourth position, and electronegative group at second position is favorable.
CoMSIA statistical results
For the CoMSIA model, the highest cross-validated q2 was obtained by using the combination of steric, electrostatic, hydrophobic and H-bond acceptor and H-bond donor fields. The CoMSIA statistical results are q2-0.704, r2-0.889, SEE-0.367, with twelve components. The corresponding CoMSIA field contributions are 1.7%, 20.1%, 37.7%, 13.1%, and 27.4%, respectively. CoMSIA analysis results are also summarized in Table 2 and 3. Fig 3B shows the relationship between the predicted and the experimental pki, app values for the CoMSIA model. From the cross-validation results suggesting that a reliable CoMSIA model was successfully constructed.
CoMSIA Contour Maps
The CoMSIA contour maps derived using steric, electrostatic, hydrophobic, hydrogen bond donor and acceptor fields are represented in Fig 5. The CoMSIA steric and electrostatic contours in Fig 5D and 5E are similar to those of CoMFA.

Fig. 5: CoMSIA contour maps based on compound 86: (a) CoMSIA hydrogen bond donor contours - cyan and purple contours represent favorable and unfavorable hydrogen bond donor regions, respectively (b) CoMSIA hydrogen bond acceptor contours - magenta and red contours represent favorable and unfavorable hydrogen bond acceptor regions, respectively (c) CoMSIA hydrophobic contour maps- yellow contours represent regions where hydrophobic groups increase activity, while grey contours highlight regions that would favor hydrophilic groups. (d) CoMSIA steric contour maps - green contour favors steric or bulky group and yellow contour denotes disfavored region. (e) CoMSIA electrostatic contour maps - blue contour indicates electropositive charge and red contour electronegative charge.
The hydrogen bond donor map of CoMSIA model is displayed in Fig 5A. In CoMSIA hydrogen bond donor field favored regions are represented by cyan contours and unfavorable regions are represented by purple contours respectively. A big cyan contour was observed adjacent to the aniline nitrogen and a small contour above the NH of the triazole ring. The triazole NH group is essential for the formation of hydrogen bonding with HIS231of the MetAP2 active site. The anilino-NH group is essential for hydrogen bonding interaction with ASP262 for MetPA2 inhibitory activity (Fig 1).
In hydrogen bond acceptor contours (Fig 5B), magenta contour favors the regions of hydrogen bond acceptor substituents on ligands and red contour represent areas where such substituents and compounds may be unfavored. In compound 86, a magenta contour is observed near the nitrogen on the pyridine ring. Hydrogen bond acceptors at this region greatly enhance the MetAP2 inhibitory action. The pyridine ring at R1 substitution of compounds 86 - 94 is showing greater activity than all other compounds in the series for the corresponding R2 substitution. Hydrogen bond acceptors are also favored at third position of R2 phenyl group substitutions. In compound 27, having fluoro group at third and fourth position of the phenyl ring, the 4-fluoro group aligns in the red contour which results in decrease in activity as compared to compound 26. These observations conclude that hydrogen bond acceptors at third position of R1 and R2 phenyl substitution greatly enhance the activity.
Hydrophobic contour maps are shown in Fig 5C. The yellow and grey regions indicate the areas where hydrophobic and hydrophilic properties are preferred respectively. A big yellow contour overlapped the R2 substituted phenyl ring. Compound 86 with highest inhibitory action was found to have a hydrophobic substitution at this region. In compounds 77-85, the R1 substitution is a biphenyl ring which is highly hydrophobic in nature. However this region is covered by grey contours which are unfavorable for hydrophobic substituents. The hydrophobic nature of these compounds led to a large decrease in activity.
Topomer CoMFA
Statistical parameters obtained were LOO cross-validated q2- 0.746 and r2- 0.886 with eight optimum components. Standard error was found to be 0.0.36 for r2 and 0.53 for q2 having y-intercept of 8.75. Other statistical parameters for the topomer generated model are given in Table 3, and contours for each field are shown in Fig 6. The relationship between the predicted and the experimental pKi, app values are shown in scattered plot Fig 3C.

Fig. 6: Topomer CoMFA contour maps of compound 86. (R1 a & R2 c) CoMFA steric contours: Green contours indicate regions where steric interaction is favored. Yellow contours are areas where the steric interaction is disfavored. (R1 b & R2 d) CoMFA electrostatic contours: the blue region represents the area where an electropositive group is favorable and the red region refers to the area where an electronegative group is favorable.
The topomer CoMFA 3D contour maps around R1 and R2 were generated by plotting the coefficients from the model. The maps are shown using compound 86 as a reference structure. In the steric contour map (Fig 6A), the green contour at C1, C2 and C3 of R2 substitution indicate that a bulky substituent would be favorable, and the yellow contours denote where bulky substituents would not be tolerated. In the electrostatic contours (Fig 6B) of R2 substitution, the blue contours located at the C-4 site indicate that electropositive groups would be favorable, and the red contours indicate that electronegative groups would be favorable which suggested that bulky groups with electronegative potential would be favorable for activity. Regarding the contours of the R1 (Fig 6C) group, green contours were located near the C-1 site, and yellow contours were located at C2, C3 and C4 position. The red contours were located at C1 and C3. Blue contours were located at C1, C2 and C4 position. This demonstrated that a moderately bulky group with electronegative potential at R1 substitution would improve the MetAP2 inhibitory activity. The model can be used to search for R groups in large databases to identify potential MetAP2 inhibitors.
External validation results
Further, external validation was carried out for 3D-QSAR models as per Golbraikh and Roy method. CoMFA and CoMSIA models are satisfied the external validation parameters. External validation results for the CoMFA, CoMSIA and Topomer CoMFA models., the valid r2m (≥0.5) values of 0.912, 0.95 and0.941 as well as high slope of regression lines through the origin [k (0.85 ≤ k ≥1.15)] values of 1.0454, 1.044 and 1.04658 respectively. The calculated [[(r2-r02)/r2] <0.1] values of -0.0086, 0.001985 and 0.00380 were also obtained respectively. These results suggest the generated best CoMFA, CoMSIA and Topomer CoMFA models have good predictive abilities. These models provide the tool to guide the design and synthesis of novel and more potent 1,2,4 triazoles as MetAP2 inhibitors. The external validation results are summarized in Table 4.
Table 4: Results of validation
| Validation Parameter | CoMFA | CoMSIA | Topomer CoMFA |
| q2 | 0.703 | 0.704 | 0.746 |
| r2 | 0.894 | 0.889 | 0.882 |
| [(r2-r02)/r2]<0.1 | 0.0086 | 0.001985 | .00380 |
| 0.85 ≤ k ≥1.15 | 1.0454 | 1.044 | 1.04658 |
| r2m> 0.5 | 0.912 | 0.95 | 0.941 |
Design of new molecules
Ligand-based method such as 3D QSAR is widely used not only because it is not very computationally intensive but also because it can lead to the rapid generation of QSARs from which the biological activity of newly designed compounds can be predicted. In contrast, an accurate prediction of activity of untested compounds based on the computation of binding free energies is both complicated and lengthy. The CoMFA contour maps are a clear indicator for intuitionistic medicinal chemist for predicting novel molecules with enhanced MetAP2 inhibitory activity. The key findings are depicted in Fig 7. The fourth triazole NH group and the adjacent NH group form hydrogen bonds in the MetAP2 active site. Electronegative groups are favored at C3 position of R1 and small bulky groups and electronegative groups beneficial at C2and C3 position of R2 respectively.

Fig. 7: Key findings of the 3D-QSAR study.
CONCLUSION
Present studies indicate the importance of ligand orientation and selection of training set molecules in the development of statistically significant QSAR models. All models demonstrated good statistical results which emphasizes the importance of steric, electrostatic, hydrophobic, H-bond donor and acceptor fields. Furthermore, the contour maps along with the docking results offered enough information to understand the structure–activity relationship and identified structural features influencing the inhibitory activity. Overall, the correlation of the results obtained from QSAR and the 3D topology of the protein structure suggested the robustness of the QSAR models. The most active compound from the series (86) was subjected to docking studies. The results showed specific interaction of the fourth triazole NH with HIS 231 and the anilino NH with Asp 262. Topomer CoMFA 3D-QSAR model with good internal and external prediction capability was established for a training set of 58 MetAP2 inhibitors, and a test set of 19 molecules were employed to validate the external predictive ability of the models. The Topomer search model developed can be used to screen R-groups various molecule databases, to identify new molecules with higher bioactivity. The present work provides references to drug design for MetAP2 inhibitors. The structural requirements identified in the present study can be utilized strategically in the design of novel, potent and selective MetAP2 inhibitors.
ACKNOWLEDGEMENT
Authors are thankful to The Principal, JSS College of Pharmacy, Mysore, India for providing necessary facilities. Authors are beholden to DBT for the financial assistance (Ref. No: BT/PR5594/MED/29/540/20l2).
CONFLICT OF INTEREST
Authors declare no conflict of interest
REFERENCES