aDepartment of Medicinal Chemistry, DCRM Pharmacy College, Jawaharlal Nehru Technological University, Hyderabad, Andhra Pradesh, India, bDepartment of Pharmaceutical Chemistry, GITAM Institute of Pharmacy, GITAM University, Visakhapatnam, Andhra Pradesh, India, cMedicinal Chemistry Research Laboratory, Bapatla College of Pharmacy, Bapatla- 522 101, Andhra Pradesh, India.
Email: crp2020@gmail.com
Received: 13 Jul 2014 Revised and Accepted: 10 Aug 2014
ABSTRACT
Objective: Synthesis and anti-epileptic evaluation of some novel Schiff and Mannich bases of isatin derivatives.
Methods: A series of novel 3-(4-(4-(substituted benzylideneamino)-5-mercapto-4-1,2,4-triazole-3-yl)phenylimino)-1-((dimethyl amino) methyl)-5-fluoroindolin-2-one Schiff and Mannich base derivatives were synthesized by using various aromatic aldehydes with isatin derivatives. The chemical structures of all synthesized compounds were confirmed by IR, 1H-NMR, Mass spectra and elemental analysis. All the synthesized compounds were screened for its anti-epileptic activity by MES and scPTZ methods using Phenytoin and Ethosuximide as standards.
Results: The results of anti-epileptic activity showed that some of the synthesized compounds were exhibited significant results.
Conclusion: This investigation identified the potent anti-epileptic agents and these molecules will be subjected to further studies in our laboratory.
Keywords: Schiff bases, Mannich Bases, Isatin, Anti-epileptic Activity.
INTRODUCTION
Epilepsy is a chronic disorder of the brain that affects people in every country of the world. Epilepsy is characterized by paroxysmal, excessive and hypersynchronous discharges of large numbers of neurons. Epilepsy affects 1% of world’s population according to the epidemiological studies. The latest report of world health organization (WHO) says around 50 million people worldwide has epilepsy and nearly 80% of the people with epilepsy are found in developing regions. Current clinically available drugs produce satisfactory seizure control in 60–70% of patients [1]. Many studies have been reported that in India the prevalence rate of epilepsy varies from 1710 to 9780 cases per million populations. Despite the optimal use of available antiepileptic drugs (AEDs), many patients with epilepsy fail to experience seizure control and others experience the seizure control only at the expense of significant toxic effects. The limitations with conventional AEDs highlighted the need for developing newer agents for epilepsies [2]. Many studies revealed that isatin is a privileged lead molecule for scheming potential bioactive agents, and their derivatives constitute an important class of heterocyclic compounds and are shown to possess a broad spectrum of bioactivity. Schiff and Mannich bases of isatin derivatives play an important role in the medicinal chemistry because of their potential biological properties. They are reported to show a variety of pharmaceutical properties including anticonvulsant activity [3-11]. Similarly triazole is the core structural motif in a variety of different compounds in medicinal chemistry and has been reported to exhibit a broad range of biological properties, including anticonvulsant activity [12-16]. Heterocycles containing mercapto and amino groups are an attractive synthones for the construction of condensed heterocyclic rings. The amino and mercapto groups are the convenient nucleophiles to react with electrophiles. Prompted by these observations, it was contemplated to synthesize some isatin containing congeners of 1,2,4-triazole Schiff and Mannich bases with a view to explore their potency as better anticonvulsant agents.
MATERIALS AND METHODS
The chemicals and reagents used were obtained from various chemical units Qualigens, E. Merck India Ltd., CDH, and SD Fine Chem. These solvents used were of LR grade and purified before their use. All the melting points were taken in open glass capillary and are uncorrected. 1H-NMR spectra were taken on a Bruker ultra shield (400 MHz) NMR spectrometer in DMSO-d6 using tetramethylsilane [(CH3)4Si] as internal standard. Chemical shift (δ) are expressed in ppm. Mass spectra were obtained on a JEOL-SX-102 instrument using electron impact ionization. All the IR spectra were recorded in KBr pellets on a Jasco FT-IR 410 spectrometer. Elemental analyses were performed on a Perkine Elmer model 240c analyzer and were within ±0.4% of the theoretical values.
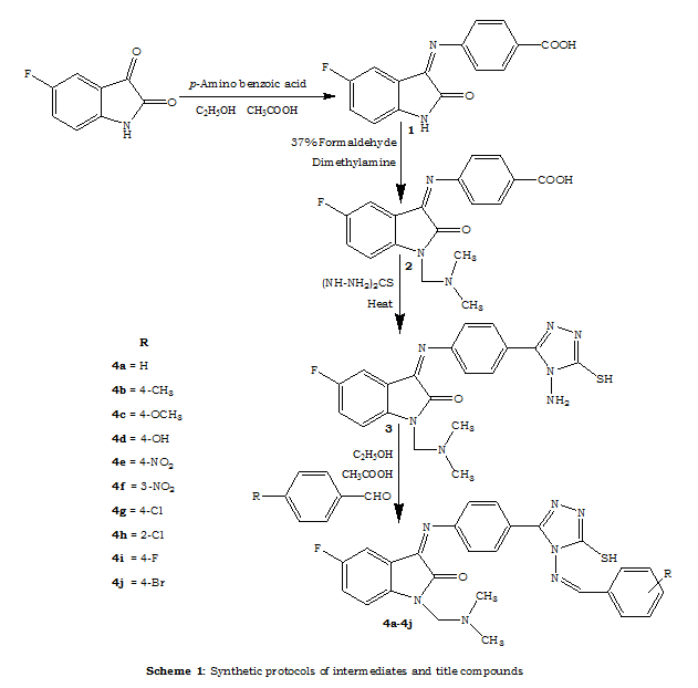
General Procedure for the synthesis of title compounds (4a-4j)
Preparation of 4-(5-Fluoro-2-oxoindolin-3-ylideneamino) benzoic acid (1)
Equimolar quantities (0.1 mol) of 5-Fluoro isatin (16.5 g) and para amino benzoic acid (13.7 g) were dissolved in warm ethanol containing few ml of glacial acetic acid. The reaction mixture was refluxed for 2 h and set aside. The resultant product was collected and washed with dilute ethanol and recrystallized with ethanol chloroform mixture.
Yield:68%; Mp:192-194; FT-IR (KBr): cm-1 3350 (NH); 3038 (Ar C–H); 2500 (COOH); 1650 (C=N); 1710 (C=O, isatin); 1H NMR (400 MHz,
ppm): 6.78–7.64 (m, 7H, Ar-CH); 8.20 (s, 1H, -NH); 12.10 (s, 1H, COOH); MS (EI) m/z: 284 [M+]; Anal. Calcd for C15H9FN2O3: C, 63.38; H, 3.19; N, 9.86;. Found: C, 63.46; H, 3.18; N, 9.84.
Preparation of 4-(1-((dimethylamino)methyl)-5-fluoro-2-oxoindolin-3-ylideneamino) benzoic acid (2)
To the solution of 4-(5-Fluoro-2-oxoindolin-3-ylideneamino)benzoic acid (1) (0.04 mol) in 95% absolute ethanol (100 mL), aqueous formaldehyde 37% (1.0 mL) was added. Then dimethylamine (0.04 mol) added slowly to the above solution under stirring. After the addition was over, the entire reaction mixture was stirred at room temperature for 3 h, and then kept aside for 48 h in refrigerator to form crystals. Finally the products in the form of crystals were separated by filtration, and vacuum dried. Desired compounds were finally recrystallized with ethanol to obtain pure product.
Yield:74%; Mp:198-200; FT-IR (KBr): cm-1 3072 (Ar C–H); 2550 (COOH); 1668 (C=N); 1724 (C=O, isatin); 1H NMR (400 MHz,
ppm): 2.22 (s, 6H, -CH3); 4.20 (s, 2H, -CH2); 6.98–7.94 (m, 7H, Ar-CH); 12.50 (s, 1H, COOH); MS (EI) m/z: 341 [M+]; Anal. Calcd for C18H16FN3O3: C, 63.34; H, 4.72; N, 12.31;. Found: C, 63.40; H, 4.73; N, 12.29.
Preparation of 3-(4-(4-amino-5-mercapto-4-1,2,4-triazol-3-yl)phenylimino)-1-(dimethyl amino)methyl)-5-fluoroindolin-2-one (3)
An equimolar mixture of 4-(1-((dimethylamino)methyl)-5-fluoro-2-oxoindolin-3-ylideneamino) benzoic acid (2) and thiocarbohydrazide were heated at 180°C for 2 hours. The mixture was cooled to room temperature. The crude was washed with dilute ethanol and dried. The synthesized compound was recrystallized from ethanol.
Yield:55%; Mp:206-208; FT-IR (KBr): cm-1 3410 (-NH2); 3026 (Ar C–H); 1626 (C=N); 1736 (C=O, isatin); 1H NMR (400 MHz,
ppm): 2.22 (s, 6H, -CH3); 4.20 (s, 2H, -CH2); 5.62 (s, 2H, -NH2); 6.98–7.94 (m, 7H, Ar-CH); 10.50 (s, 1H, -SH); MS (EI) m/z: 411 [M+]; Anal. Calcd for C19H18FN7OS: C, 55.46; H, 4.41; N, 23.83;. Found: C, 55.50; H, 4.42; N, 23.86.
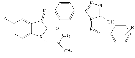
Preparation of 3-(4-(4-(Substituted benzylideneamino)-5-mercapto-4-1,2,4-triazole-3-yl) phenylimino)-1-((dimethyl amino)methyl)-5-fluoroindolin-2-one (4a-4j)
Title compounds (4a-4j) was synthesized by adding 3-(4-(4-amino-5-mercapto-4-1,2,4-triazol-3-yl)phenylimino)-1-(dimethylamino) methyl)-5-fluoroindolin-2-one (3) (0.01 mol) in fraction with the well stirred mixture of different aromatic aldehydes (0.01 mol) in ethanol 50 mL and few mL of glacial acetic acid. Then this mixture was refluxed for 8 h and kept aside. The product that separated out was filtered, dried and recrystallized from ethanol. The method used for the preparation and isolation of the compounds gave materials of good purity, as evidenced by their spectral analyses. Datas are represented in table-1.
3-(4-(4-(Benzylideneamino)-5-mercapto-4-1,2,4-triazole-3-yl)phenylimino)-1-((dimethyl amino) methyl)-5-fluoroindolin-2-one (4a)
FT-IR (KBr): cm-1 3010 (Ar C–H); 1730 (C=O, isatin); 1558 (CH=N); 1H NMR (400 MHz,
ppm): 2.42 (s, 6H, –CH3); 4.26 (s, 2H, –CH2); 6.82–7.68 (m, 12H, Ar-CH); 8.60 (s, 1H, CH=N); 10.60 (s, 1H, -SH). MS (EI) m/z: 499 [M+]; Anal. Calcd for C26H22FN7OS: C, 65.21; H, 4.44; N, 19.63;. Found: C, 65.30; H, 4.46; N, 19.67.


Table 1: Physicochemical characterization of compounds 4a-4j
| Compound | R | Mol. formula | % yield | Mp (°C) |
| 4a | H | C26H22FN7OS | 58 | 230-232 |
| 4b | 4-CH3 | C27H24FN7OS | 62 | 248-250 |
| 4c | 4-OCH3 | C27H24FN7O2S | 46 | 216-218 |
| 4d | 4-OH | C26H22FN7O2S | 60 | 202-204 |
| 4e | 4-NO2 | C26H21FN8O3S | 64 | 220-222 |
| 4f | 3-NO2 | C26H21FN8O3S | 56 | 208-210 |
| 4g | 4-Cl | C26H21ClFN7OS | 72 | 226-228 |
| 4h | 2-Cl | C26H21ClFN7OS | 58 | 240-242 |
| 4i | 4-F | C26H21F2N7OS | 66 | 210-212 |
| 4j | 4- Br | C26H21BrFN7OS | 70 | 235-237 |
3-(4-(4-(4-Methylbenzylideneamino)-5-mercapto-4-1,2,4-triazole-3-yl)phenylimino)-1-((dimethyl amino) methyl)-5-fluoroindolin-2-one (4b)
FT-IR (KBr): cm-1 3100 (Ar C–H); 1748 (C=O, isatin); 1528 (CH=N); 1H NMR (400 MHz,
ppm): 2.10 (s, 3H, Ar-CH3); 2.48 (s, 6H, –CH3); 4.30 (s, 2H, –CH2); 6.76–7.86 (m, 11H, Ar-CH); 8.50 (s, 1H, CH=N); 10.42 (s, 1H, -SH). MS (EI) m/z: 513 [M+]; Anal. Calcd for C27H24FN7OS: C, 63.14; H, 4.71; N, 19.09. Found: C, 63.20; H, 4.73; N, 19.11.
3-(4-(4-(4-Methoxybenzylideneamino)-5-mercapto-4-1,2,4-triazole-3-yl)phenylimino)-1-((dimethyl amino) methyl)-5-fluoroindolin-2-one (4c)
FT-IR (KBr): cm-1 3076 (Ar C–H); 1722 (C=O, isatin); 1550 (CH=N); 1H NMR (400 MHz,
ppm): 2.38 (s, 6H, –CH3); 2.80 (s, 3H, Ar-OCH3); 4.25 (s, 2H, –CH2); 6.78–7.74 (m, 11H, Ar-CH); 8.50 (s, 1H, CH=N); 10.52 (s, 1H, -SH). MS (EI) m/z: 529 [M+]; Anal. Calcd for C27H24FN7O2S: C, 61.23; H, 4.57; N, 18.51. Found: C, 61.32; H, 4.59; N, 18.46.
3-(4-(4-(4-Hydroxybenzylideneamino)-5-mercapto-4-1,2,4-triazole-3-yl)phenylimino)-1-((dimethyl amino) methyl)-5-fluoroindolin-2-one (4d)
FT-IR (KBr): cm-1 3458 (Ar-OH); 3088 (Ar C–H); 1714 (C=O, isatin); 1526 (CH=N); 1H NMR (400 MHz,
ppm): 2.34 (s, 6H, –CH3); 4.28 (s, 2H, –CH2); 5.20 (s, 1H, Ar-OH); 6.72–7.84 (m, 11H, Ar-CH); 8.50 (s, 1H, CH=N); 10.38 (s, 1H, -SH). MS (EI) m/z: 515 [M+]; Anal. Calcd for C26H22FN7O2S: C, 60.57; H, 4.30; N, 19.02. Found: C, 60.44; H, 4.32; N, 18.98.
3-(4-(4-(4-Nitrobenzylideneamino)-5-mercapto-4-1,2,4-triazole-3-yl)phenylimino)-1-((dimethyl amino) methyl)-5-fluoroindolin-2-one (4e)
FT-IR (KBr): cm-1 3058 (Ar C–H); 1734 (C=O, is at in); 1524, 1352 (NO2); 1568 (CH=N); 1H NMR (400 MHz,
ppm): 2.38 (s, 6H, –CH3); 4.34 (s, 2H, –CH2); 6.64–7.72 (m, 11H, Ar-CH); 8.60 (s, 1H, CH=N); 10.44 (s, 1H, -SH). MS (EI) m/z: 544 [M+]; Anal. Calcd for C26H21FN8O3S: C, 57.35; H, 3.89; N, 20.58. Found: C, 57.44; H, 3.87; N, 20.62.
3-(4-(4-(3-Nitrobenzylideneamino)-5-mercapto-4-1,2,4-triazole-3-yl)phenylimino)-1-((dimethyl amino) methyl)-5-fluoroindolin-2-one (4f)
FT-IR (KBr): cm-1 3045 (Ar C–H); 1732 (C=O, is at in); 1530, 1348 (NO2); 1572 (CH=N); 1H NMR (400 MHz,
ppm): 2.42 (s, 6H, –CH3); 4.26 (s, 2H, –CH2); 6.70–7.84 (m, 11H, Ar-CH); 8.56 (s, 1H, CH=N); 10.56 (s, 1H, -SH). MS (EI) m/z: 544 [M+]; Anal. Calcd for C26H21FN8O3S: C, 57.35; H, 3.89; N, 20.58. Found: C, 57.28; H, 3.88; N, 20.60.
3-(4-(4-(4-Chlorobenzylideneamino)-5-mercapto-4-1,2,4-triazole-3-yl)phenylimino)-1-((dimethyl amino) methyl)-5-fluoroindolin-2-one (4g)
FT-IR (KBr): cm-1 3026 (Ar C–H); 1736 (C=O, isatin); 1558 (CH=N); 788 (Ar-Cl); 1H NMR (400 MHz,
ppm): 2.38 (s, 6H, –CH3); 4.20 (s, 2H, –CH2); 6.50–7.62 (m, 11H, Ar-CH); 8.66 (s, 1H, CH=N); 10.62 (s, 1H, -SH). MS (EI) m/z: 535 [M+2]; Anal. Calcd for C26H21ClFN7OS: C, 58.48; H, 3.96; Cl, 6.64; N, 18.36. Found: C, 58.56; H, 3.98; Cl, 6.62; N, 18.40.
3-(4-(4-(2-Chlorobenzylideneamino)-5-mercapto-4-1,2,4-triazole-3-yl)phenylimino)-1-((dimethyl amino) methyl)-5-fluoroindolin-2-one (4h)
FT-IR (KBr): cm-1 3052 (Ar C–H); 1700 (C=O, isatin); 1545 (CH=N); 768 (Ar-Cl); 1H NMR (400 MHz,
ppm): 2.30 (s, 6H, –CH3); 4.34 (s, 2H, –CH2); 6.72–7.86 (m, 11H, Ar-CH); 8.50 (s, 1H, CH=N); 10.54 (s, 1H, -SH). MS (EI) m/z: 535 [M+2]; Anal. Calcd for C26H21ClFN7OS: C, 58.48; H, 3.96; N, 18.36. Found: C, 58.54; H, 3.97; N, 18.38.
3-(4-(4-(4-Fluorobenzylideneamino)-5-mercapto-4-1,2,4-triazole-3-yl)phenylimino)-1-((dimethyl amino) methyl)-5-fluoroindolin-2-one (4i)
FT-IR (KBr): cm-1 3066 (Ar C–H); 1722 (C=O, isatin); 1552 (CH=N); 1H NMR (400 MHz,
ppm): 2.32 (s, 6H, –CH3); 4.40 (s, 2H, –CH2); 6.64–7.92 (m, 11H, Ar-CH); 8.60 (s, 1H, CH=N); 10.58 (s, 1H, -SH). MS (EI) m/z: 517 [M+]; Anal. Calcd for C26H21F2N7OS: C, 60.34; H, 4.09; N, 18.94. Found: C, 60.28; H, 4.10; N, 18.98.
3-(4-(4-(4-Bromobenzylideneamino)-5-mercapto-4-1,2,4-triazole-3-yl)phenylimino)-1-((dimethyl amino) methyl)-5-fluoroindolin-2-one (4j)
FT-IR (KBr): cm-1 3064 (Ar C–H); 1698 (C=O, isatin); 1542 (CH=N); 1H NMR (400 MHz,
ppm): 2.42 (s, 6H, –CH3); 4.46 (s, 2H, –CH2); 6.72–7.88 (m, 11H, Ar-CH); 8.54 (s, 1H, CH=N); 10.53 (s, 1H, -SH). MS (EI) m/z: 579 [M+2]; Anal. Calcd for C26H21BrFN7OS: C, 53.98; H, 3.66; N, 16.95. Found: C, 54.06; H, 3.68; N, 16.98.
Pharmacology
Antiepileptic activity
All the synthesized compounds were evaluated for their antiepileptic effects using male albino mice (Swiss, 18-25 g) and rat (Wistar 100-150 g). The primary qualitative evaluations were performed in mice involved two epilepsy tests (MES: Maximal Electroshock Seizure test and ScPTZ: Subcutaneous pentylenetetrazole). Acute neurological toxicity induced by the compounds in mice was assessed through standardized rotorod test. In the initial screening, candidate compounds were screened for their antiepilepsy potential through MES and scPTZ models in mice at a dose level of 30, 100 and 300 mg/kg by intraperitoneal (i.p) route and the groups of mice are tested at different time points (i.e., 0.5 and 4 h) post administration of the test candidate. It is generally acknowledged that the MES model, which uses an electrical stimulus, induces generalized tonic-clonic seizures. Through electrical induction, it is used to help recognize those compounds which prevent seizure spread. The scPTZ is a model where the myoclonic seizures induced by chemical induction. It helps in identifying those compounds that might act by increasing seizure threshold.
The maximal electroshock test (MES)
The MES is a model for generalized tonic-clonic seizures and provides a hint of a compound’s ability to stop seizure spread when all neuronal circuits in the brain are maximally active. These seizures are extremely reproducible and are electro physiologically reliable with human seizures. For the MES, a drop of anesthetic and electrolyte solution (tetracaine hydrochloride (0.5%) in saline (0.9%)) was applied to the eyes of individual animal before to placement of the corneal electrodes. The electrical stimulus in the MES test was 50 milli Ampere, 60 Hz, for mice and 150 milli Ampere, 60 Hz, for rats delivered for 0.2 seconds by an apparatus similar to that initially described by Woodbury and Davenport. Abolition of the hindleg tonic extensor component of the seizure was used as the endpoint. Mice are initially tested with different doses of 30, 100 and 300 mg/kg of test compound given by i.p. injection at various intervals while rats are initially screened at a fixed dose of 30 mg/kg given by oral route.
The subcutaneous pentylenetetrazole seizure test (scPTZ)
Subcutaneous injection of the convulsant Pentylenetetrazole produces clonic seizures in laboratory animals. The scPTZ test detects the ability of test compounds to raise the seizure threshold of an animal and thus protect it from exhibiting a clonic seizure. Animals are pretreated with various doses of the test compound given by i.p. injection. The dose of Pentylenetetrazole which induce convulsions in 97% of animals (CD97: 85 mg/kg mice) is injected into a loose fold of skin in the midline of the neck. The animals are placed in isolation cages to minimize stress and observed for the next 30 min for the presence or absence of a seizure. An episode of clonic spasms, approximately 3-5 seconds, of the fore and/or hindlimbs, jaws, or vibrissae is taken as the endpoint. Animals which do not meet this criterion are considered protected.
Acute toxicity-minimal motor impairment
To assess a compound’s undesirable side effects (toxicity), animals are monitored for overt signs of impaired neurological or muscular function. In mice, the rotorod procedure is used to disclose minimal muscular (MMI) or neurological impairment (MNI). When a mouse is placed on a rod that rotates at a speed of 6 rpm, the animal can maintain its equilibrium for long periods of time. The animal is considered toxic if it falls off this rotating rod three times during a 1 min period. In addition to MMI, animals may exhibit a circular or zigzag gait, abnormal body posture and spread of the legs, tremors, hyperactivity, lack of exploratory behavior, somnolence, stupor, catalepsy, loss of placing response and changes in muscle tone.
RESULTS AND DISCUSSION
Chemistry
The structures of the synthesized compounds were confirmed by elemental analyses and spectral (IR, 1H-NMR, and Mass) data. The formation of Schiff base in compound 1 is confirmed by the presence strong stretching vibration in its IR spectrum at 1620 cm-1. The formation of compound 2 was confirmed by the appearance of strong singlet at δ 2.22 for six protons in its 1H-NMR spectra which might be assigned to two CH3 group connected to the isatin through Mannich reaction. The formation of compound 3 was confirmed by the appearance of strong stretching vibration at 3340 due to the presence of primary amino group in triazole ring. The formation of compound 3 is also evidenced by its 1H-NMR spectrum showed a singlet at δ 10.50 ppm due to presence of SH group proton. The presence of CH=N stretching vibration at 1564 cm-1 in IR spectrum and a singlet for a proton attached to the imine carbon at δ 8.60 ppm in 1H-NMR confirms the formation of 4a. Further mass spectrum confirmed their purity and molecular weight.
Antiepileptic activity
For the identification of antiepileptic activity in mice, test compounds were administered i.p. and challenged by MES and scPTZ. Compounds found to be active in these seizure challenges are generally regarded to be significantly useful candidates in treatment of partial, generalized and even absence seizures. The data regarding the antiepileptic screening of all the compounds are reported in table 2 and graphically represented in figure 1.
Table 2: Antiepileptic activity and neurotoxicity of compounds 4a-4j administered intraperitoneally to mice
| Compound | MESa screening | scPTZb screening | NTc screening | |||
| 0.5 hd | 4.0 hd | 0.5 hd | 4.0 hd | 0.5 hd | 4.0 hd | |
| 4a | 300 | 300 | - | - | ND | ND |
| 4b | - | 300 | - | - | ND | ND |
| 4c | - | 300 | - | - | ND | ND |
| 4d | 300 | 300 | 300 | 300 | ND | ND |
| 4e | 100 | 300 | 100 | 300 | ND | ND |
| 4f | - | 300 | - | - | ND | ND |
| 4g | 30 | 30 | 100 | 300 | - | - |
| 4h | 100 | 300 | - | - | ND | ND |
| 4i | 30 | 100 | 100 | 300 | - | - |
| 4j | 30 | 100 | 100 | 300 | 100 | 300 |
| Phenytoine | 30 | 30 | - | - | 100 | 100 |
| Ethosuximidef | - | - | 100 | 300 | - | - |
a Maximal electroshock test (administered intraperitoneally to mice at doses ranging from 30 to 300 mg/kg)., b Subcutaneous pentylenetetrazole test (administered intraperitoneally to mice at doses ranging from 30 to 300 mg/kg)., c Neurotoxicity (administered intraperitoneally to mice at doses ranging from 30 to 300 mg/kg)., d Time of test after drug administration., eReference drug, data for phenytoin ref [17]. , f Reference drug, data for ethosuximide ref [18]. , The sign – (mdash) represents an absence of activity at maximum dose administered (300 mg/kg). ND - Not determined
In the MES investigation, three compounds 4g, 4i and 4j were found to be significantly active as they showed protection at the lowest dose of 30 mg/kg after 0.5 h. These compounds continued to show the activity after 4.0 h but at higher doses (100 mg/kg) except 4g, which continued the activity at same 30 mg/kg indicating the rapid onset as well as long duration of action of these compounds. The hopeful nature of the compounds may be attributed due to the substitutions at the hydrophobic domain. These compounds had electron withdrawing groups at the para position of the hydrophobic aryl ring. In general it was observed that the para substituted derivatives were more active than the other derivatives. This may be because of the fact that the para substituted derivatives are better binds preferentially to the sodium channel. Compounds that showed protection at 100 mg/kg after 0.5 h were 4e, and 4h indicating the ability of these compounds to protect from seizures at relatively lower dose. These compounds were also active after 4.0 h at 300 mg/kg dose. The higher dose required for longer duration of activity may be because of the high lipophilicity of the compounds as it results into bidirectional movements of the compounds through the blood-brain barrier.
In the chemo shock investigation, most of the compounds showed moderate antiepileptic activity. Compounds that revealed protection in the scPTZ test, indicative the ability of substance to increasing seizure threshold, at a dose of 100 mg/kg after 0.5 h included 4e, 4g, 4i and 4j. It was comparable to results obtained for ethosuximide which is recognized as reference antiepileptic for this screen. Other compounds that showed considerable antiepileptic activity were 4d at 300 mg/kg either after 0.5 h or 4.0 h. It was observed that in this method, the most active compounds have substitution at the para position of the distal aryl ring by electron releasing group resulted in increased antiepileptic activity.
Neurotoxicity screen
The results obtained showed that most of the candidate compounds exhibited neurotoxicity at doses higher than widely prescribed drugs Phenytoin or Carbamazepine. But while evaluating an antiepileptic compounds, separation between antiepileptic and neurotoxic dose is desirable. All the compounds evaluated for its neurotoxicity study except 4a-4f and 4h, due to its poor response in antiepileptic activity. In neurotoxic study only compound 4j were found to be neurotoxic at 100 mg/kg at 0.5 h and 300 mg/kg at 4 h, while the compounds 4g and 4i were not found to be neurotoxic at maximum administered dose.
Antiepileptic activity of selected compounds on rats by oral administration
A valuable property of candidate antiepilepsy is its ability to inhibit epilepsy when given by the oral route. This screen discloses the time of onset, the approximate time of peak effect (TPE) and the duration of antiepileptic activity or neurotoxicity. From the initial screen we identified three compounds that were further evaluated for oral availability using the MES acute seizure model and neurotoxicity in rats at a dose of 30 mg/kg. The compound includes 4g, 4i and 4j. The results obtained are presented in table 3 and graphically represented in figure 2.
As can be seen from these data, the most active compounds are 4g which protected 100% (4/4) of rats at time points 1 h, 75% (3/4) at 0.5 h, 2 h and 4 h. 25% (1/4) at 0.25 h. This molecule was more active and showed longer duration of satisfactory action. The other compounds 4i were moderately effective in rat MES oral screen and protected 75% (3/4) of tested animals at the time point 2 h and 4 h and 50% (2/4) at 0.5 h and 1 h. 25% (1/4) at 0.25 h. The least active molecule in this study is 4j which protected maximum of 50% at 0.5 h and 4 h. All derivatives tested were non-neurotoxic when given orally. The in vivo data in rats confirmed absorption of compounds from gastrointestinal tract and also their penetration to central nervous system. The inhibition of electrically induced seizures that is characteristic for Phenytoin and Phenytoin-like drugs may indicate the influence of compounds on voltage depended Na+ channels as the most plausible mechanism of antiepileptic action.

Fig. 1: Antiepileptic and neurotoxicity of compounds 4a-4j in mice

Fig. 2: Antiepileptic and toxicity of compounds 4g. 4i and 4j in rats
Table 3: Antiepileptic activity and toxicity of compounds 4g, 4i, and 4j administered orally (30 mg/kg) to rats
| Compound | MESa | TOXb | ||||
| 0.25 hc | 0.5 hc | 1 hc | 2 hc | 4 hc | ||
| 4g | 1/4 | 3/4 | 4/4 | 3/4 | 3/4 | 0/4 (-)d |
| 4i | 1/4 | 2/4 | 2/4 | 3/4 | 3/4 | 0/4 (-)d |
| 4j | 0/4 | 2/4 | 1/4 | 1/4 | 2/4 | 0/4 (-)d |
| Phenytoine | 1/4 | 4/4 | 3/4 | 3/4 | 3/4 | 0/4 (-)d |
a Maximal electroshock test (dose of 30 mg/kg was administrated. The data indicate: number of rats protected/number of rats tested)., b Neurotoxicity (number of rats protected/number of rats tested), c Time after drug administration., d (-) No neurotoxicity at dose tested, e Reference drug, data for phenytoin ref.(19)
Structure Activity Relationships (SAR) analysis
On correlating the structures of the sample candidate with their biological activity, it has been observed that, for the 10 novel derivatives 4a-4j, three compounds (4g, 4i and 4j) has selectivity towards MES (at 30 mg/kg) and the same compounds in addition with 4e had scPTZ activity (at 100 mg/kg).
All the above mentioned four compounds were all p-substituted. The position of the substituted group on the phenyl ring appeared to greatly influence the antiepileptic activity; the p-chloro derivative 4g exhibited higher antiepileptic activity than the o-chloro derivative 4h. At the same p-position, the compound with fluorine substitution 4i exhibited higher antiepileptic activity than the compound with nitro substitution 4e. Moreover, p-OCH3 and p-CH3 substituted compounds 4c and 4b had no activity at all. However, the unsubstituted phenyl 4a and the phenyl ring substituted by p-OH 4d compounds exhibit slighter antiepileptic activity. In this series, generally compounds with electron withdrawing groups exhibited significant antiepileptic activity in comparison to electron donating group.
CONCLUSION
We have designed (Based on the pharmacophore model) and synthesized the title compounds while remembering the fact that a majority of clinically active antiepileptics possess a nitrogen hetero atomic system with one or two phenyl rings, at least one carbonyl group in their structure and presence of hydrogen donor/Acceptor unit. The structure of the title compounds 4a-4j satisfied all the pharmacophoric structural requirements. All the ten compounds are screened for their antiepileptic activity by MES and scPTZ model along with its neurotoxicity. Among the screened compounds, 4g, 4i, and 4j were found significant in MES screening, while the same compounds in addition with 4e showed noteworthy antiepileptic activity in scPTZ model. Compounds 4g, 4i and 4j were selected for oral administration in rats at 30 mg/kg dose. Compounds 4g and 4i exhibited comparable antiepileptic activity in oral dose compared with phenytoin. The most active was 3-(4-(4-(4-Chlorobenzylideneamino)-5-mercapto-4-1,2,4-triazole-3-yl) phenyl imino)-1-((dimethyl amino) methyl)-5-fluoroindolin-2-one (4g) that revealed protection in the electrically induced seizures at a dose of 30 mg/kg at 0.5 h and 4 h after i.p. administration respectively. This molecule provided also protection in the scPTZ at a dose of 100 mg/kg in 0.5 h and 300 mg/kg at 4.0 h time intervals. Compound 4g emerged out as the lead molecule with a wide spectrum of antiepileptic activity without any neurotoxicity.
CONFLICT OF INTERESTS
Declared None
REFERENCES