STES’s Smt Kashibai Navale College of Pharmacy, Kondhwa, Pune 410048, India.
Email: mrghante@gmail.com
Received: 12 Mar 2014 Revised and Accepted: 15 Apr 2014
ABSTRACT
Two simple, precise and economical UV methods have been developed for the estimation of Darunavir ethanolate (DRV) in bulk and pharmaceutical dosage form. Method A is Absorbance maxima method, which is based on measurement of absorption at maximum wavelength, 266 nm. Method B is area under curve (AUC), in the wavelength range of 255-275 nm. Linearity for detector response was observed in the concentration range of 3-18 μg/ml for the both methods. The developed method was validated with respect to linearity, accuracy (recovery), precision and specificity. The accuracy of the methods was assessed by recovery studies and was found to be 100.07% and 99.58% for Method A and Method B respectively. The results were validated statistically as per ICH Q2 R1 guidelines and were found to be satisfactory. The proposed methods were successfully applied for the determination of DRV in tablet dosage form.
Keywords: Darunavir ethanolate (DRV), UV Spectrophotometry, Absorbance maxima method, Area under curve.
INTRODUCTION
Darunavir ethanolate (DRV) [Fig.1] is an antiviral drug and inhibitor of the human immunodeficiency virus (HIV) protease in adults and children 6 years of age and older. It was approved by the Food and Drug Administration (FDA) on June 23, 2006. Chemically it is [(1S,2R)-3-[[(4-aminophenyl)sulfonyl] (2-methylpropyl)amino]- 2-hydroxy-1- (phenyl methyl)propyl]-carbamic acid (3R,3aS,6aR) hexahydrofuro [2,3-b] furan-3-yl ester monoethanolate. DRV, a second generation protease inhibitor, is discovered to overcome the problems with early protease inhibitor (PIs) like severe side effects and drug toxicities, require a high therapeutic dose, are costly to manufacture, and show a disturbing susceptibility to drug resistant mutations. DRV is used with ritonavir and other medications to treat HIV. It works by slowing the spread of HIV in the body.
DRV selectively inhibits the cleavage of HIV-1 encoded Gag- Pol polyproteins in infected cells, thereby preventing the formation of mature virus particles. DRV was designed to form robust interactions with the protease enzyme from many strains of HIV, including strains from treatment-experienced patients with multiple resistance mutations to PIs. It blocks HIV protease, an enzyme which is needed for HIV to multiply. HIV infection destroys CD4 (T) cells, which are important to the immune system. The immune system helps fight infection. Reducing the amount of HIV and increasing the CD4 (T) cell count may improve your immune system and, thus, reduce the risk of death or infections that can happen when your immune system is weak (opportunistic infections).
The literature survey reveals that several analytical methods have been reported for the quantification and determination of the drug individually in human plasma by liquid chromatography/tandem mass spectrometry.1,2,3,4,5 It was found that no spectrophotometric method has been reported for the estimation of DRV. Hence, two simple, rapid, precise and accurate methods for the estimation of DRV in bulk and tablet dosage form is developed and validated.
MATERIALS AND METHODS
Materials
DRV was generous gift samples from Ranbaxy Lab, Gurgaon. Commercial tablets with brand name, Daruvir (Cipla Ltd., Mumbai) containing 300mg was purchased from local market and used within their shelf-life period. All chemicals and solvents viz: methanol, used were of spectroscopy grade.

Fig. 1: Structure of Darunavir ethanolate
Instrumentation
A Jasco double beam UV–visible spectrophotometer, Model: V-630, with a fixed bandwidth (2nm) and 1-cm quartz cell was used for Spectral and absorbance measurements. In addition, electronic balance, micropipette and sonicator were used in this study.
Procedure
Preparation of standard stock solution
Standard stock solution of DRV was prepared separately by dissolving 25mg of drug in 25ml of methanol (spectroscopy grade) to get standard stock solution of 1000μg/ml by sonicating for 15mins and 1ml was pipetted out and further volume was made up to 10ml with methanol to obtain concentration of 100μg/ml.
Method A: Absorption Maxima Method
For the selection of analytical wavelength, standard solution of DRV was scanned in the spectrum mode from 400 nm to 200 nm. From the spectra of drug [Fig.2], λmax of DRV, 266 nm was selected for the analysis. Aliquots of standard stock solution were made and calibration curve was prepared in the concentration range of 3-18μg/ml [Fig.3], at 266nm.
Method B: Area under Curve Method
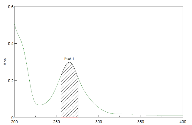
From the spectra of drug obtained after scanning of standard solution of DRV, area under the curve in the range of 255-275nm [Fig.4] was selected for the analysis. The calibration curve was prepared in the concentration range of 3-18μg/ml at their respective AUC range. The drug followed the Beer-Lambert’s law in the concentration range of 3-18μg/ml. The calibration curve was plotted as absorbance against concentration of DRV.

Fig. 2: λmax of DRV For the both methods (Absorption maxima method and AUC method), the coefficient of correlation (r), slope and intercept values are given in Table.1

Fig. 3: Calibration curve of DRV
Analysis of the marketed formulations
Twenty tablets (Daruvir, Cipla Ltd., Mumbai) were taken and tablet weight equivalent to 300mg of DRV was weighed accurately and transferred to 100ml volumetric flask, dissolved in methanol with sonication and volume was made upto 100ml to get standard stock solution of 3000μg/ml. The solution was filtered through filter paper no. 41; 10 ml of this filtrate was further diluted to 100 ml of methanol. From this solution, further dilutions were made and the solution was scanned in the range of 200-400nm against blank. Absorbance was recorded at wavelength 266nm for method A and area was recorded in the range of 255 to 275nm for method B.
Validation of UV method6
Validation of the UV method was done with respect to following parameters.
Linearity and Range
The standard solutions were prepared by dilution of the stock solution with methanol to reach a concentration range. The absorbance was plotted against the corresponding concentrations to obtain the calibration curves.

Fig. 4: Area under curve of DRV
Accuracy
Recovery studies were carried out by applying the method to drug sample to which known amount of DRV corresponding to 80, 100, 120% was added (standard addition method).
Precision
Precision of the method was verified by repeatability and intermediate precision studies. Repeatability studies (intra-day) were performed by analysis of DRV respectively on the same day. Intermediate precision (inter-day) of the method was checked by repeating analysis of DRV on three different days. Measurement of peak area for active compound was expressed in terms of % relative standard deviation (%R.S.D.).
RESULTS AND DISCUSSION
The methods discussed in the present work provide a convenient and accurate way for analysis of DRV in the tablet dosage form. Absorbance maxima of DRV at 266nm (Method A); Area Under Curve is measure in range of 255-275 (Method B) were selected for the analysis. Linearity for detector response was observed in the concentration range of 3-18μg/ml for the two methods.
Percent label claim for DRV in tablet analysis was found in the range of 99.07 and 99.18 % respectively. Standard deviation and coefficient of variance for six determinations of tablet formulation, was found to be less than ± 2.0 indicating the precision of the methods. Accuracy of proposed methods was ascertained by recovery studies and the results are expressed as % recovery.
Percent recovery for DRV was found in the range of 100.07 and 99.58 values of standard deviation and coefficient of variation was satisfactorily low indicating the accuracy of all the methods. Percent RSD for Intraday assay precision was found to be 0.607 and 0.8847 for Method A and B. Interday assay precision was found to be 0.587 and 0.865 for Method A and B. Based on the results obtained, it is found that the proposed methods are accurate, precise, reproducible & economical and can be employed for routine quality control of DRV in bulk drug and its pharmaceutical dosage form.
Table 1: Table shows Optical characteristics and precision.
| S. No. | Parameter | Method A | Method B |
| 1 | λ max/wavelength range(nm) | 266 | 255-275 |
| 2 | Beer’s law limit (μg/ml) | 3-18 (μg/ml) | 3-18 (μg/ml) |
| 3 | Molar absorptivity (L/mol.cm) | 26187.015 | 480991.54 |
| 4 | Sandell’s sensitivity (μg/Sq.cm/0.001) | 0.0209 | 0.0011 |
| 5 | Correlation coefficient (r ) | 0.999 | 0.999 |
| 6 | Slope (m) | 0.047 | 0.8782 |
| 7 | Intercept | 0.003113 | 0.8873 |
Table 2: Table shows Results of Analysis of Tablet Formulation (N* =6)
| Method | Label claim mg | Amount of drug estimated (mg/tab) | %Label claim* ± SD |
| A | 300 | 99.07 | 99.07±0.001 |
| B | 300 | 99.18 | 99.18±0.04 |
Table 3: Table shows Result of Recovery studies
| Excess drug added to the analyte (%) | % Recovery | %RSD | SE | |||
| Method A | Method B | Method A | Method B | Method A | Method B | |
| 80 | 99.90 | 99.71 | 0.1858 | 0.1862 | 0.00156 | 0.02785 |
| 100 | 100.16 | 99.75 | 0.0831 | 0.3181 | 0.00097 | 0.03025 |
| 120 | 100.15 | 99.28 | 0.0832 | 0.3085 | 0.00063 | 0.03159 |
RSD: a) Relative Standard deviation b) SE: Standard error
Table 4: Table shows Result of Intra-day and Inter-day precision
| S. No. | Intra-day Precision | Inter-day Precision | ||||
| SD | %RSD | SE | SD | %RSD | SE | |
| Method A | 0.0017 | 0.6071 | 0.00072 | 0.0015 | 0.587 | 0.00069 |
| Method B | 0.0480 | 0.8847 | 0.01960 | 0.0467 | 0.865 | 0.01897 |
CONFLICT OF INTERESTS
Declared None
ACKNOMLEDGEMENT
Authors are grateful to Prof. M. N. Navale, President Sinhgad Technical Education Society for his continuous support and Ranbaxy Lab, Gurgaon for drug gift sample.
REFERENCES