1Department of Pharmaceutical Chemistry, Gyan Vihar School of Pharmacy, Suresh Gyan Vihar University, Jagatpura, Jaipur-302025, Rajasthan, India, 2Department of Pharmaceutics, Allana College of Pharmacy, Azam Campus, Camp, Pune-411001, India, 3Department of Pharmaceutical Chemistry, Poona College of Pharmacy, Bharati Vidyapeeth Deemed University (BVDU), Pune 411038, India.
Email: satish3619@rediffmail.com
Received: 04 June 2014 Revised and Accepted: 14 Jul 2014
ABSTRACT
Objective: Simultaneous quantification of Rosuvastatin and Fenofibrate tablets by HPTLC method was developed and validated as per International Conference on Harmonization [(ICH) Q2 (R1)] guideline. Methods: The chromatograms were developed using a mobile phase of ethyl acetate: acetic acid (20: 0.2, v/v) on aluminium pre-coated plates of silica gel G F254 of TLC plates and quantified by densitometric absorbance mode at 246 nm. Results: The Rf values were 0.31 ± 0.01 and 0.76 ± 0.01 for Rosuvastatin and Fenofibrate, respectively. The linearity of the method was found to be in the concentration range of 50-800 ng/band for both drugs. The limits of detection and quantification were 11.07 and 33.56 ng/band for Rosuvastatin and 12.76 and 38.68 ng/band for Fenofibrate. Conclusion: Developed densitometric method was found to be robust, precise, accurate, rapid and can be used to analyse fixed-dose tablet samples of Rosuvastatin and Fenofibrate.
Keywords: Rosuvastatin, Fenofibrate, HPTLC, Validation, ICH Q2 (R1).
INTRODUCTION
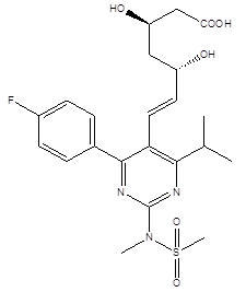
Rosuvastatin calcium (ROS) is official in Indian Pharmacopoeia [1]. Rosuvastatin calcium is chemically (E)-(3R, 5S)-7-{4-(4-flurophenyl)-6-isopropyl-2-{methyl (methyl sulphonyl amino)] pyrimidine-5-yl}-3,5-dihydroxyhepten-6-oic acid calcium. ROS belongs to statin class of drugs used to treat hypercholesterolemia both in patients with established cardiovascular disease [2]. Fenofibrate (FEN) is official in British Pharmacopoeia [3]. Chemically, Fenofibrate (FEN) is Propan-2-yl 2-[4-(4-chlorobenzoyl) phenoxy]-2- methyl propionate is the lipid regulating drug [3 - 4]. The structures of both drugs are shown in Fig. 1.

A
B
Fig. 1: Chemical structures of (A) Rosuvastatin (B) Fenofibrate
A detailed survey of analytical literature for estimation of ROS alone or in combination with other drugs revealed several methods based on various techniques viz, HPLC [5-8], spectrophotometry [9-11] and high performance thin layer chromatography (HPTLC) [12-14]. Estimation of FEN was also reported in bulk and formulations using HPLC [15-17], Spectrophotometry [18, 19] HPTLC [20, 21] and other analytical methods reported on this combination are UV [22, 23], HPLC [24, 25]. But referring to the literature survey, there is no any published HPTLC method for Rosuvastatin calcium and Fenofibrate in combined tablet form. The present paper reports for the first time a HPTLC method for simultaneous estimation of Rosuvastatin Calcium and Fenofibrate in combined tablet dosage form.
MATERIALS AND METHODS
Pure ROS and FEN were kind gifts from Emcure Pharmaceuticals Limited, Pune, India. Commercial formulation (Arvast F Tablet, Intas Pharmaceuticals Limited) containing ROS (10 mg) and FEN (67 mg) were used for the study. All the chemicals used were of analytical grade (Merck specialities private limited, India). Aluminium plates pre-coated with silica gel 60 F254 were purchased from E. Merck, Darmstadt, Germany. Double distilled water was used in the present work.
Instrumentation and chromatographic conditions
A Camag (Muttenz, Switzerland) TLC system equipped with Linomat-V sample applicator, Scanner-III, twin trough developing chamber (20 x 10 cm) and UV cabinet with dual wavelength (254 nm and 366 nm) UV lamp was used.
The slit dimension was kept at 5 mm x 0.45 mm and 10 mm/s scanning speed was employed. Before using the plates were washed with methanol and activated at 110° C for 5 min. The mobile phase used was ethyl acetate: acetic acid (20: 0.2, v/v). Samples were applied to the plates as 6 mm bands.
The chamber saturation time was 15 min at temperature 25 ± 20° C. The development distance was 8 cm. Plates were removed from chamber, dried by means of hot air, and the densitometric scanning was performed at 246 nm in absorbance-reflectance mode with winCATS software (1.4.4; Camag).
Preparation of standard stock solutions
Accurately weighed 10 mg Rosuvastatin calcium and Fenofibrate were dissolved and diluted with methanol up to 100 Ml, separately (100 μg/mL). These stock solutions were used for further analysis.
Selection of detection wavelength
Drug bands were scanned over the range of 200-700 nm and then UV-spectra were overlain. Both drugs showed significant absorbance at 246 nm and was selected for densitometric analysis.
Preparation of sample solutions
Twenty tablets were weighed the average weight was calculated and finely powdered. Tablet powder equivalent to 10 mg of ROS and FEN was accurately weighed and transferred to a 100mL calibrated volumetric flask. Around 50 mL of methanol was added, and the solution sonicated for 30 min. Volume was made up to the mark with the methanol. The solution was filtered through Whatman no.1 filter paper.
Assay validation
The developed HPTLC method was validated as per the International Conference on Harmonization (ICH) Q2 (Rl) guideline [26].
Linearity and Range
Calibration curves were plotted over the concentration range of 50-800 ng/band for ROS and FEN. The HPTLC plate was developed and analyzed as described under the above chromatographic conditions. The calibration curve was prepared by plotting peak area versus concentration (ng/band) corresponding to each band. Each reading was an average of six determinations. To ascertain linearity, residual analysis was also performed.
Limit of detection and limit of quantitation
To check sensitivity, limit of detection (LOD) and limit of quantitation (LOQ) was determined by using formula 3.3 σ/S and 10 σ/S, respectively. Where, σ is the standard deviation of the response (y-intercept) and S is the slope of the linearity plot.
Specificity
The specificity of the method was determined by analyzing standard drug and test samples. The band for ROS and FEN in the samples was confirmed by comparing the Rf and spectrum of the band with that of a standard. The peak purity of ROS and FEN was determined by comparing the spectrum at three different regions of the band i.e. peak start (S), peak apex (M) and peak end (E).
Precision studies
The precision of the method was verified by repeatability and intermediate precision studies. Repeatability studies were performed by analysis of concentrations 100 ng/band for both ROS and FEN, six times on the same day. The intermediate precision of the method was checked by repeating studies on three successive days.
Accuracy studies
The accuracy of the method was determined by calculating recoveries of ROS and FEN by the standard addition method. Known amounts of standard solutions of ROS and FEN was added at 80, 100 and 120 % level to sample solution of ROS and FEN (100 ng/band for ROS and FEN)
Robustness studies
In the robustness study, small but deliberate variations in the analytical operational parameters were done and its effects on the results were examined. Factors varied were mobile phase (ethyl acetate) composition (± 0.1 mL), amount of mobile phase (± 5 %), time from band application to chromatographic development (+ 10 min) and time from chromatography to scanning (+ 15 min). At a time, one factor was altered. Concentration of 100 ng/band for both drugs in hexaplicates was used to study robustness of the densitometric method. The standard deviation of peak areas and % relative standard deviation (% RSD) were calculated.
Solution stability
The stability of ROS and FEN standard solutions (100 ng/band) was tested after 0, 6, 12, 24 and 48 h of storage at room temperature. The stability of the solutions was determined by comparing peak areas at each time hour against freshly prepared standard solutions.
RESULTS AND DISCUSSION
Development of the optimum mobile phase
Initially, different solvent systems containing various ratios of dichloromethane, toluene, n-hexane, ethanol, methanol, water, ethyl acetate, and acetone were tried. Finally, the mobile phase consisting of ethyl acetate: acetic acid (20: 0.2, v/v) was selected as it gave sharp, symmetrical and well resolved peaks. The analytical wavelength (246 nm) was chosen on the basis of the absorption spectrum recorded in the range 200-800 nm. The retention factors were found to be 0.31 ± 0.02 and 0.76 ± 0.02, for ROS and FEN, respectively (Fig. 2).

Fig. 2: Densitogram obtained from mixed standard solution of ROS and FEN scanned at 246 nm.
Validation of the method
Linearity and Range
Linearity was observed by plotting standard drugs concentration against peak areas obtained. The results were found to be linear over a range of 20-800 ng/band for ROS and FEN.
Table 1: Linear regression data for the calibration curves (n = 6).
| Parameters | ROS | FEN |
| Linearity range (ng/band) | 20-800 | 20-800 |
| r2 | 0.999 | 0.999 |
| Slope | 8.156 | 10.744 |
| Intercept | 489.83 | 3026.5 |
| Confidence limit of slopea | 8.00-8.30 | 10.49-10.99 |
| Confidence limit of intercepta | 420.25-559.41 | 2923.0-3129.8 |
| Sy.x | 27.38 | 41.57 |
a95 % confidence limit, Sy.x - Standard deviation of residuals from line.
To ascertain linearity, residual analysis was performed (Fig. 3). Slope was significantly different from zero.

Fig. 3: Concentration residual plot of (A) Rosuvastatin
Sensitivity
The LOD and LOQ were found to be 11.07, 12.76 ng/band and 33.56, 38.68 ng/band for ROS and FEN, respectively, representing good sensitivity of the method.
Specificity
The peak purity of ROS and FEN was assessed by comparing the spectra of standard at peak start, peak apex and peak end positions of the band i.e., r (start, middle) = 0.998, and r (middle, end) = 0.9993 respectively. Hence, peaks obtained for ROS and FEN were pure.

Fig. 3: Concentration residual plot of (B) Fenofibrate
Precision
The developed method was found to be precise, with % RSD values for repeatability and intermediate precision studies below 2 % as recommended by ICH Q2 (R1) guideline (Table 2).
Accuracy
Recoveries of ROS and FEN were found to be 100.66-102.21 % and 99.58-101.58 %, respectively which indicates that the proposed simultaneous densitometric method is reliable for the estimation of ROS and FEN in the marketed formulation used in the study (Table 3)
Robustness studies
The % RSD of peak areas was calculated for each parameter and was found to be less than 2 % (Table 4).
Table 2: Intra and inter day precision of the HPTLC method (n=6)
| Drug | Actual concentration a | Intra/Inter day | |
| concentration obtained a | % RSD | ||
| Rosuvastatin | 100 | 99.06/98.74 | 0.74/0.93 |
| Fenofibrate | 100 | 98.52/99.34 | 0.49/0.68 |
n = Number of determinations; a = ng/band; RSD = Relative standard deviation
Solution Stability
Stability of standard solution of ROS and FEN were evaluated at room temperature for 48 h. The % RSD was found to be below 2.0 % indicating both standard and sample solutions were stable up to 48 h at room temperature.
Analysis of marketed formulation
Proposed HPTLC method was applied for analysis of tablet dosage form viz, Myotop tablets in six replicate determinations. The % assay was found to be 100.47 and 99.84 % for ROS and FEN, respectively.
Table 3: Results of recovery studies (n=6)
| Amount addeda | Amount found a ± SD | % Recovery ± % RSD | |||
| ROS | FEN | ROS | FEN | ROS | FEN |
| 80 | 80 | 180.98 ± 1. 52 | 181.40 ± 1.35 | 100.54 ± 0.83 | 100.77 ± 0.64 |
| 100 | 100 | 201.86 ± 1.15 | 199.77 ± 1.20 | 100.98 ± 0.70 | 99.88 ±1.33 |
| 120 | 120 | 121.33 ± 1.08 | 119.96 ± 1.74 | 101.10 ± 0.52 | 99.96 ± 0.61 |
n = Number of determinations; a = ng/band; SD = Standard deviation; RSD = Relative standard deviation
Table 4: Robustness testing (n =6, 100 ng/band)
| Parameter varied | SD of peak area | % RSD | ||
| ROS | FEN | ROS | FEN | |
| Mobile phase (Ethyl acetate) composition (± 0.1 mL) | 12.01 | 28.79 | 0.90 | 0.69 |
| Amount of mobile phase(± 5 %) | 13.59 | 21.9 | 1.01 | 0.52 |
| Time from band application to chromatography(+ 10 min) | 11.61 | 30.52 | 0.87 | 0.73 |
| Time from chromatography to scanning (+ 15 min) | 13.34 | 31.70 | 1.005 | 0.76 |
n = Number of determinations; SD = Standard deviation; RSD = Relative standard deviation
CONCLUSION
In the present research work, attempt has been made to develop and validate new, rapid, precise, accurate, and robust densitometric method for simultaneous quantification of ROS and FEN in the tablet formulation.
CONFLICT OF INTERESTS
Declared None
ACKNOWLEDGEMENTS
The authors wish to express their gratitude to Board of College & University Development (B.C.U.D.), University of Pune, India, for financial assistance to carry out research. Authors are also thankful to Principal Dr. (Mrs.) Kiran Bhise, the Management of M.C.E. Society’s Allana College of Pharmacy, Pune, India, for providing necessary research facilities and Public Testing Laboratory (P. T. L.), Erandwane, Pune, Maharashtra, India, for providing technical support and facilities to carry out research work. Authors also express their gratitude to Emcure Pharmaceuticals Limited, Pune, Maharashtra, India, for providing gift sample of pure drugs.
REFERENCES