1Chemistry Department, Faculty of Sciences, Zagazig University, Zagazig, 44519, Egypt, 2Faculty of Public Health and Informatics, Umm AL-Qura University, Makkah, Kingdom of Saudi Arabia, 3Department of Chemistry, Faculty of Science, Taibah University, Al-Madinah Al-Munawarah, Kingdom of Saudi Arabia.
Email: aymangouda77@gmail.com
Received: 28 Apr 2014 Revised and Accepted: 03 June 2014
ABSTRACT
Objective: Simple, accurate and precise spectrophotometric methods have been developed for the determination of two antihistaminic drugs (desloratadine (DES) and ebastine (EBS)) in pure forms and pharmaceutical formulations.
Methods: The proposed methods were based on the charge transfer complexation reaction of both drugs as ‘n’ electron donor with chloranilic acid (p-CLA) or 2, 3-Dichloro-5,6-dicyano-p-benzoquinone (DDQ) as π acceptors to give highly coloured complex species. The coloured products were quantitated spectrophotometrically at 459 and 460 nm using DDQ and at 532 and 533 nm using p-CLA for DES and EBS, respectively. Optimization of the different experimental conditions were studied.
Results: Beer’s law was obeyed in the concentration ranges of 5.0-120 and 10-180 µg mL-1 with good correlation coefficients were ≥ 0.9995 and 0.9992 and a relative standard deviation (R.S.D.) of ≤ 0.98 and 1.24% using DDQ and p-CLA methods, respectively. The molar absorptivity, Sandell's sensitivity, detection and quantification limits were also calculated. The developed methods were successfully applied for determination of the studied drugs in pharmaceutical formulations with good accuracy and precision and without interferences from common additives by applying the standard addition technique.
Conclusion: The developed methods have been validated statistically for their accuracy, precision, sensitivity, selectivity, robustness and ruggedness as per ICH guidelines and the results compared favorably with those obtained using the reported methods.
Keywords: Desloratadine; Ebastine, Charge transfer complexes, Spectrophotometry, Pharmaceutical formulations.
INTRODUCTION
Desloratadine (DES), 4-(8-chloro-5,6-dihydro-11H-benzo-[5,6]cyclohepta [1,2b]pyridin-11-ylidene)-1-piperidine, DES is the descarboethoxy form of loratadine). An orally active major metabolite of the nonsedating antihistamine loratadine, is a selective, potent, peripheral H1 receptor antagonist [1]. Ebastine (EBS), 4-(4-benzhydryloxy-1-piperidyl)-1- (4-tert-butyl phenyl) butan-1-one. EBS belongs to the class of second generation antihistamines used for the treatment of allergic rhinitis and chronic idiopathic urticaria. This drug is official in British pharmacopoeia. Official method uses non-aqueous titrations for assay of this drug [1, 2]. The chemical structures of the studied drugs are shown in (Fig. 1).

Fig. 1: The chemical structure of the studied antihistaminic drugs
Several analytical methods have been reported for the determination of DES in biological and pharmaceutical samples and applied in pharmacokinetic studies. These methods include gas chromatography with nitrogen phosphorous detection [3], liquid chromatography with fluorescence detection [4, 5], ultraviolet detection [6-11] or mass spectrometric detection [12-14], capillary isotachophoresis [15], stability-indicating UPLC method [16], Spectrofluorimetric methods [8, 17] and spectrophotometric methods [8, 18-27]. Comparison between the reported spectrophotometric methods for determination of DES was showed in Table 1. Literature survey revealed that determination of EBS has been reported by chromatographic methods [28-37], voltammetry [38], spectrofluorimetry [39-41] and spectrophotometry [42-49].
The molecular interactions between electron donors and acceptors are generally associated with the formation of intensely colored charge transfer complexes, which absorb radiation in the visible region [50]. A variety of electron donating compounds have been reported to yield charge-transfer complexes with various π-acceptors [51-55]. The aim of the present study was directed to investigate simple, direct, normal cost and precise spectrophotometric methods for simultaneous determination of DES and EBS as good n-electron donors via charge transfer complexation with π –acceptors; chloranilic acid (p-CLA) and 2, 3-Dichloro-5,6-dicyano-p-benzoquinone (DDQ) as chromogenic reagents in pure forms and dosage forms. The reaction conditions of the methods have been established. In addition, the molar ratio of reactants was determined. No interference was observed in the assay of the studied drugs from common excipients in levels found in pharmaceutical formulations. These methods are validated by the statistical data.
MATERIALS AND METHODS
Apparatus
All absorption spectra was made using double beam Unikon 930 spectrophotometer (Kontron Instruments, Munchen, Germany) with a scanning speed of 200 nm/min and a band width of 2.0 nm, equipped with matched quartz cells.
Materials and Reagents
All chemicals and reagents used were of analytical or pharmaceutical grade and all solutions were prepared fresh daily.
Materials
Pharmaceutical grade desloratadine (DES) was kindly supplied from Delta Pharma, Egypt. Aerius tablets labeled to contain (5.0 mg DES/tablet) was kindly supplied by SPIMACO, Al-Qassim Pharmaceutical Plant, Saudi Arabia, under authority of (Schering-Plough Cooperation/USA). Desa tablets labeled to contain (5.0 mg DES /tablet) was kindly supplied by Delta Pharma, Egypt. Pharmaceutical grade ebastine (EBS) was kindly provided by Meivo Pharmaceutical Company, Cairo, Egypt. Bastab® tablets, labeled to contain (20 mg EBS/tablet) was kindly provided by Meivo Pharmaceutical Company, Cairo, Egypt. Ebastel® tablets, labeled to contain (10 mg EBS/tablet) was kindly provided by Global Napi Pharmaceuticals, Cairo, Egypt.
Standard drugs solutions
A stock standard solutions (500 μg mL-1) of DES and EBS were prepared by dissolving an exact weight (50 mg) of pure drugs in 5.0 mL methanol and the volume was diluted to the mark in a 100 mL calibrated flask with acetonitrile. A stock solutions of DES or EBS (100 µg mL-1) and (5.0 x 10-3 mol L-1) were prepared from suitable dilution of the stock standard solution. The stock solutions of drug are stable for a period of 3.0 days when kept in the refrigerator.
Reagents
Chloranilic acid (p-CLA), (Fluka, Switzerland) and 2, 3-Dichloro-5,6-dicyano-p-benzoquinone (DDQ), (Merck-Schuchardt, Munich, Germany). Standard solutions (1.0 x 10-3 mol L-1) were freshly prepared in acetonitrile. The solutions were stable for at least one week at 4 ºC.
General Procedures
Using DDQ
Into 10- mL volumetric flasks (0.1-1.6 mL) and (0.2- 2.4 mL) of (500 μg mL-1) DES and EBS solutions in acetonitrile, respectively were transferred and 2.0 mL of DDQ (1.0 x 10-3 mol L-1) solution was added. The mixture was mixed and allowed to stand for 10 min at 60 ± 5°C for both drugs. The volume was made up to 10 mL with acetonitrile and the absorbance was measured at 459 and 460 nm for DES and EBS, respectively against a reagent blank prepared and treated similarly.
Table 1: Comparison between the reported spectrophotometric methods for determination of DES
| Reagent | λmax nm | Concentration Range (μg mL-1) | Molar absorptivityL mol-1 cm-1 | LOD, (μg mL-1) | References |
| UV-spectrophotometry | 282.5 | 16-24 | -- | -- | [19] |
| UV-spectrophotometry | 242 | 2.0-10 | -- | 0.11 | [20] |
| Eosin | 549 | 0.31–2.81 | -- | -- | [21] |
| 2,4-dichloro-6-nitrophenol (DCNP) | 402 | 3.11-93.35 | 6.14x105 | 2.132 | [22] |
| 2,4-dinitrophenol (DNP) | 426 | 3.11-62.17 | 13.72x105 | 1.884 | |
| Picric acid (PA) | 352 | 3.11-43.44 | 17.08 x105 | 0.559 | |
| 7,7,8,8-tetracyanoquinodimethane (TCNQ) | 843 | 1.5–13 | 2.2968x104 | 0.35 | [23] |
| 4-chloro-7-nitrobenzo-2-oxa-1,3-diazole (NBD-Cl) | 485 | 0.5-6 | -- | 0.112 | [8] |
| 2,4-dinitrofluorobenzene (DNFB) | 375 | 1.0-10 | -- | 0.172 | |
| Thiocyanate cobalt | 614 | 0.5-3.0 | 9.2 x104 | [24] | |
| Alizarin | 528 | 1.0-16 | 1.6078 x104 | 0.21 | [25] |
| Alizarin red S | 505 | 0.5-12 | 2.1836 x104 | 0.08 | |
| Quinalizarin | 560 | 2.0-20 | 1.5213 x104 | 0.40 |
Using p-CLA
Into 10-mL calibrated flasks (0.2-2.8 mL) and (0.2-3.6 mL) of (500 μg mL-1) DES and EBS solutions in acetonitrile, respectively were placed and 2.0 mL of p-CLA (1.0 x 10-3 mol L-1) solution was added. The reaction mixture was mixed and allowed to stand for 10 min at 60 ± 5°C for both drugs. The volume was made up to 10 mL with acetonitrile and the absorbance was measured at 532 and 533 nm for DES and EBS, respectively against a reagent blank prepared and treated similarly.
Procedure for pharmaceutical formulations
The contents of twenty DSL or EBS tablets were crushed, finely powdered, weight out and the average weight of one tablet was determined. An accurate weight equivalent to 50 mg drug was transferred into a 100-mL calibrated flask, dissolved in least volume of methanol with shaking for 5.0 min and filtered through a sintered glass crucible (G4) to remove excipient in the powdered tablets. The filtrate was diluted to 100 mL with acetonitrile in a 100 mL measuring flask to give 500 μg mL-1 stock solution of drug. Aliquot of the cited solutions was taken and analyzed as described under the above recommended procedures for construction of calibration curves. For the proposed methods, the content of tablets was calculated using the corresponding regression equation of the appropriate calibration graph. The method of standard addition was used for the accurate determination of drugs contents.
Stoichiometric Relationship
The stoichiometric ratios of the charge transfer complexes formed between the drugs under investigation and the reagents were determined by applying the continuous variation attributable to Job's, 1971 [56] at the wavelengths of maximum absorbance. Equimolar solutions was employed: a 1.0 x 10-3 mol L-1 standard solutions of drugs and 1.0 x 10-3 mol L-1 solutions of reagents (DDQ or p-CLA) were used. A series of solutions was prepared in which the total volume of drug and reagent was kept constant at 2.0 mL. The drugs and reagents were mixed in various complementary proportions (0:2, 0.2:1.8, 0.4:1.6,………..2:0, inclusive) and completed to volume in a 10-mL calibrated flask with acetonitrile following the above mentioned procedure. The absorbance of the resultant charge transfer complex was measured at optimum wavelengths after treating each reagent at best time and temperature against a reagent blank following the above mentioned procedures.
RESULTS
Absorption spectra
In the present investigation, we investigate the development of simple, rapid, accurate and reproducible spectrophotometric methods for determination of DES and EBS in bulk powders and pharmaceutical formulations based on the formation of charge-transfer complex of both drugs as electron-donor with selected π-acceptors (p-CLA and DDQ) in acetonitrile. They produce a new band of absorption intensity at 459 and 460 nm using DDQ method and at 532 and 533 nm using p-CLA method for DES and EBS, respectively (Figures 2 and 3).
Optimization of Reaction Conditions
The influence of different parameters on the colour development was studied to determine optimum conditions for the assay procedures.
Effect of solvents
Different solvents such as acetone, methanol, ethanol, dichloromethane, 1,2-dichloroethane, acetonitrile and chloroform were examined. Acetonitrile was found to be the best solvent for all the reagents, because it has a high relative permittivity which ensures the maximum yield of DDQ.- and p-CLA.- species. The other solvents, chloroform, acetone, dichloromethane and 1,2-dichloroethane are possible substitutes. The formation of DDQ.- and p-CLA.- radicals was possible in methanol or ethanol, however, the colour intensity was lower than in acetonitrile.

Fig. 2: Absorption spectra of the reaction product of 80 μg mL−1 DES and 120 μg mL−1 EBS with (1.0 x 10-3 mol L-1) DDQ in acetonitrile, respectively against DDQ reagent blank solution.

Fig. 3: Absorption spectra of the reaction product of 140 μg mL−1 DES and 180 μg mL−1 EBS with (1.0 x 10-3 mol L-1) p-CLA in acetonitrile, respectively against p-CLA reagent blank solution.
Effect of reagent concentration
The optimum concentration that give maximum colour formation using 2.0 mL of (1.0 x 10-3 mol L-1) DDQ or p-CLA solutions was found to be sufficient for the production of maximum and reproducible colour intensity in acetonitrile. Higher concentrations of the reagent did not affect the colour intensity (Figure 4).
Effect of time and temperature
The optimum reaction time was determined by following the colour intensity at ambient temperature (25 ±2 °C). Complete colour development was attained after 10 min on raising the temperature on a water-bath to 60 ± 5 °C using both DDQ and p-CLA methods. The colour remained stable for at least 4.0 and 6.0 h for DDQ and p-CLA reagent complexes, respectively.

Fig. 4: Effect of volume of (1.0 x 10-3 mol L-1) DDQ reagent concentration on the absorbance of charge transfer complexes formed with DES and EBS.
Stoichiometry of the reaction
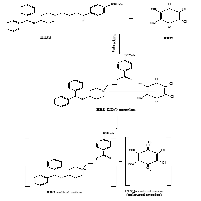
The stoichiometric ratio of the reactants (drug: reagent) was determined by Job’s method [56] of continuous variation for the reaction between drugs and DDQ or p-CLA reagents, which shows that the interaction occurs between an equimolar solution of the drug and the reagent. The result indicated that the charge transfer complex was formed in the ratio of 1:1 (Figure 5). On the basis of the literature data and our experimental results, tentative reaction mechanisms for EBS-DDQ complex is proposed and given in Scheme 1.

Fig. 5: Continuous variation plots for the reaction of DES and EBS with DDQ. λmax= 459 and 460 nm, respectively. Total molar concentration = 1.0 x 10-4 mol L-1.
Method validation
Validation of the described methods for assay of bulk amisulpride was examined via linearity, sensitivity, precision, accuracy, repeatability, reproducibility, selectivity, and robustness according to ICH guidelines [57].
Linearity and sensitivity
Under the optimum conditions a linear correlation was found between absorbance at λmax and concentration of drugs in the ranges of 5.0-120 μg mL-1 and 10-180 μg mL-1 using DDQ and p-CLA methods, respectively. The calibration graph is described by the regression equation:
A = a + b C (1)
(Where A = absorbance, a = intercept, b = slope and C = concentration in μg mL-1) obtained by the method of least squares [58]. Correlation coefficient, intercept and slope for the calibration data are summarized in Table 2. For accurate determination, Ringbom concentration ranges [59] were calculated by plotting log concentration of drug in μg mL-1 against transmittance % from which the linear portion of the curve gives accurate range of microdetermination of drugs and represented in Table 2. Sensitivity parameters such as apparent molar absorptivity (ε) and Sandell’s sensitivity (SS) values, the limits of detection and quantification were calculated as per the current ICH guidelines (ICH) [57], are illustrated in Table 2.
Scheme 1: Proposed reaction pathway for the formation of charge transfer complex between EBS and DDQ.
The high molar absorptivity and lower Sandell’s sensitivity values reflect the good and high sensitivity of the proposed methods. The validity of the proposed methods was evaluated by statistical analysis [60] between the results achieved from the proposed methods and that of the reported methods [25, 39]. Regarding the calculated Student’s t-test and variance ratio F-test (Table 2), there is no significant difference between the proposed and reported methods regarding accuracy and precision.
The limit of detection (LOD) is defined as the minimum level at which the analyte can be reliably detected for the drug was calculated using the following equation [57, 60] and listed in Table 2:
LOD = 3s / k
where s is the standard deviation of replicate determination values under the same conditions as for the sample analysis in the absence of the analyte and k is the slope of the calibration graph. In accordance with the formula, the limits of detection were found to be 1.38 and 2.85 µg mL−1 using DDQ and 2.85 and 2.46 using p-CLA for DES and EBS, respectively.
The limits of quantification, LOQ, is defined as the lowest concentration that can be measured with acceptable accuracy and precision[57, 60],
LOQ = 10 s / k
According to this equation, the limit of quantification was found to be 4.60 and 9.50 µg mL−1 using DDQ and 9.50 and 8.20 using p-CLA for DES and EBS, respectively.
Accuracy and precision
The accuracy and precision of the proposed methods (within-day and between-days) were evaluated by performing six replicate analyses on pure drug solution at three different concentration levels (within the working range). Percentage relative standard deviation (RSD%) as precision and percentage relative error (RE%) as accuracy of the proposed spectrophotometric methods were calculated. The relative standard deviation (RSD) values were ≤ 1.20% in all cases, indicating good repeatability of the suggested methods. This level of precision of the proposed methods was adequate for the quality control analysis of the studied drugs.
The percentage relative error (RE %) calculated using the following equation:
RE % is an indicator of accuracy in the range (-0.9-0.3) also indicating high accuracy and repeatability of the methods. The intra-day and inter-day precision and accuracy results show that the proposed methods have good repeatability and reproducibility reflecting the usefulness of the methods in routine analysis (Table 3).
Table 2: Analytical and regression parameters of proposed spectrophotometric methods for determination of DES and EBS.
| Parameters | DDQ | p-CLA | ||
| DES | EBS | DES | EBS | |
| Wavelengths λ max (nm) | 459 | 460 | 532 | 533 |
| Beer’s law limits (µg mL−1) | 5.0-80 | 10-120 | 10-140 | 10-180 |
| Ringbom optimum concentration range(µg mL−1) | 10-60 | 20-100 | 20-120 | 20-160 |
| Molar absorptivity ε, (L/mol-1 cm-1) x 103 | 1.5147 | 2.7373 | 1.1391 | 1.4117 |
| Sandell,s sensitivity (ng cm-2) | 205 | 172 | 273 | 333 |
| Regression equation a | ||||
| Slope (b) | 0.0045 | 0.0064 | 0.0038 | 0.0028 |
| Intercept (a) | 0.0038 | - 0.0041 | -0.0033 | 0.0028 |
| Correlation coefficient (r) | 0.9993 | 0.9992 | 0.9995 | 0.9997 |
| Mean ± SD | 99.70 ± 1.24 | 99.90 ± 0.62 | 99.80 ± 0.98 | 99.85 ± 0.70 |
| Relative standard deviation, RSD% | 1.24 | 0.62 | 0.98 | 0.70 |
| Relative error, RE% | 1.30 | 0.65 | 1.03 | 0.73 |
| LOD, (µg mL−1) b | 1.38 | 2.85 | 2.85 | 2.46 |
| LOQ, (µg mL−1) b | 4.60 | 9.50 | 9.50 | 8.20 |
| Calculated t-value c | 0.28 | 0.52 | 0.16 | 0.62 |
| Calculated F-value c | 1.20 | 1.42 | 1.33 | 1.81 |
a A = a + bC, where C is the concentration in µg mL−1, A is the absorbance units, a is the intercept, b is the slope. b LOD, limit of detection; LOQ, limit of quantification; ε, molar absorptivity. c The theoretical values of t and F are 2.57 and 5.05, respectively at confidence limit at 95% confidence level and five degrees of freedom (p= 0.05).
Table 3: Evaluation of inter-day and intra-day precision and accuracy for the determination of DES and EBS using the proposed DDQ method
| Drug | Added (μg mL-1) | Inter-day | Intra-day | ||||||
| Recovery% | PrecisionRSD % a | AccuracyRE % a | Confidence limit b | Recovery% | PrecisionRSD % a | AccuracyRE % a | Confidence limit b | ||
| DDQ method | |||||||||
| DES | 20 | 99.60 | 0.40 | -0.40 | 19.92±0.08 | 99.40 | 0.45 | -0.60 | 19.88 ± 0.09 |
| 40 | 99.10 | 0.60 | -0.90 | 39.64±0.25 | 99.20 | 0.74 | -0.80 | 39.68 ± 0.31 | |
| 80 | 99.80 | 0.90 | -0.20 | 79.84±0.75 | 99.50 | 0.96 | -0.50 | 79.60 ± 0.80 | |
| EBS | 20 | 99.50 | 0.37 | -0.50 | 19.90±0.08 | 99.60 | 0.52 | -0.40 | 19.92 ± 0.10 |
| 60 | 99.70 | 0.73 | -0.30 | 59.82±0.46 | 99.10 | 0.85 | -0.90 | 59.46 ± 0.53 | |
| 100 | 99.20 | 1.10 | -0.80 | 99.20±1.15 | 100.20 | 1.20 | 0.20 | 100.20 ± 1.26 | |
| p-CLA method | |||||||||
| DES | 20 | 99.80 | 0.38 | -0.20 | 19.96±0.08 | 99.30 | 0.47 | -0.70 | 19.86±0.10 |
| 80 | 99.40 | 0.72 | -0.60 | 79.52±0.60 | 99.50 | 0.70 | -0.50 | 79.60±0.58 | |
| 140 | 100.20 | 1.16 | 0.20 | 140.28±1.71 | 99.70 | 0.98 | -0.30 | 139.58±1.44 | |
| EBS | 30 | 100.30 | 0.50 | 0.30 | 30.09 ± 0.09 | 99.50 | 0.30 | -0.50 | 29.85 ± 0.09 |
| 90 | 99.50 | 0.86 | -0.50 | 89.55 ± 0.81 | 100.20 | 0.56 | 0.20 | 90.18 ± 0.53 | |
| 150 | 99.70 | 1.05 | -0.30 | 149.55 ± 1.65 | 99.60 | 0.86 | -0.40 | 149.40 ± 1.35 |
a Mean of six determination, RSD%, percentage relative standard deviation; RE%, percentage relative error, b Mean ± standard error.
Robustness and ruggedness
The robustness of the methods was evaluated by making small incremental changes in the volume of reagent (± 0.2 mL) and time (±1.0 min), and the effect of the changes were studied on the absorbance of the charge transfer complex. The changes had negligible influence on the results as revealed by small intermediate precision values expressed as %RSD (≤ 3.0%).
Method ruggedness was demonstrated having the analysis done by three analysts, and also by a single analyst performing analysis using three different spectrophotometer instruments in the same laboratory. Intermediate precision values (%RSD) in both instances were (≤ 2.0%) indicating acceptable ruggedness (Table 4).
Table 4: Method robustness and ruggedness expressed as intermediate precision (RSD, %) for EBS-acceptors charge transfer complex.
| Method | EBS taken(μg mL-1) | Robustness | Ruggedness | ||
| Parameters altered | Inter-analysts (RSD, %) | Inter-instruments (RSD, %) | |||
| Volume of reagent a | Reaction time b | (n = 3) | (n = 3) | ||
| DDQ | 20 | 1.10 | 1.40 | 1.30 | 1.80 |
| 60 | 1.32 | 1.75 | 1.80 | 2.20 | |
| 100 | 1.64 | 1.60 | 2.30 | 2.50 | |
| p-CLA | 30 | 1.30 | 1.20 | 1.40 | 1.50 |
| 90 | 1.20 | 1.80 | 1.70 | 1.90 | |
| 180 | 1.95 | 2.10 | 2.40 | 2.30 |
a The volumes added of DDQ or p-CLA were 2.0±0.2 mL, b The reaction times were 10±1.0 min for p-CLA or DDQ.
Table 5: Application of the standard addition technique for the determination of DES and EBS in dosage forms using the proposed DDQ method
| Taken(μg mL-1) | Added(μg mL-1) | Recovery a (%) | Added(μg mL-1) | Recovery a (%) | |||||||
| Aerius tablets | ReferenceMethod [25] | Desa tablets | Referencemethod[25] | Bastab® tablets | Reference method[39] | Ebastel® tablets | Reference method[39] | ||||
| 10 | - | 99.20 | 99.40 | - | 99.10 | 99.70 | |||||
| 10 | 99.50 | 99.90 | 20 | 100.40 | 99.80 | ||||||
| 20 | 98.40 | 99.30 | 40 | 99.60 | 100.20 | ||||||
| 40 | 98.60 | 99.50 | 60 | 100.50 | 99.90 | ||||||
| 60 | 100.80 | 100.60 | 80 | 100.70 | 99.30 | ||||||
| 70 | 99.30 | 98.70 | 100 | 99.20 | 100.80 | ||||||
| Mean ±SD | 99.30 ±0.849 | 99.65 ±1.02 | 99.57 ±0.64 | 99.48 ±0.93 | 99.92 ±0.703 | 99.88 ± 0.61 | 99.95 ±0.509 | 100.23 ±0.48 | |||
| V | 0.72 | 1.04 | 0.41 | 0.865 | 0.494 | 0.372 | 0.259 | 0.23 | |||
| R.S.D% | 0.843 | 1.02 | 0.64 | 0.93 | 0.703 | 0.61 | 0.509 | 0.48 | |||
| S.E | 0.364 | 0.416 | 0.26 | 0.38 | 0.287 | 0.249 | 0.208 | 0.196 | |||
| T valueb | 0.59 | 0.18 | 0.07 | 0.89 | |||||||
| F-value b | 1.20 | 2.11 | 1.33 | 1.13 |
a Average of six determinations.,b The theoretical values of t and F are 2.57 and 5.05, respectively at confidence limit at 95% confidence level and five degrees of freedom (p= 0.05).
Recovery studies
The accuracy and validity of the proposed methods were further ascertained by performing recovery studies. In this study, pre-analyzed tablets powder was spiked with pure drugs at different concentration levels and the total was determined by the proposed methods using standard addition technique.
The percent recovery of pure drugs added was in the range 98.30–100.80% with relative standard deviation of 0.509–0.94% (Tables 5, 6) indicating that the recovery was good and revealed that the co-formulated substances did not interfere in the determination
Table 6: Application of the standard addition technique for the determination of DES and EBS in dosage forms using the proposed p-CLA method
| Taken(μg mL-1) | Added(μg mL-1) | Recovery a (%) | Added(μg mL-1) | Recovery a (%) | |||||||
| Aerius tablets | Referencemethod[25] | Desa tablets | Reference method[25] | Bastab® tablets | Reference method[39] | Ebastel® tablets | Reference method[39] | ||||
| 20 | - | 98.40 | 100.30 | - | 99.20 | 99.20 | |||||
| 20 | 100.10 | 99.20 | 20 | 99.10 | 99.60 | ||||||
| 40 | 99.00 | 98.50 | 40 | 100.60 | 99.90 | ||||||
| 60 | 98.50 | 98.30 | 80 | 99.50 | 100.70 | ||||||
| 80 | 99.60 | 99.70 | 120 | 100.50 | 100.50 | ||||||
| 100 | 100.80 | 100.60 | 160 | 100.50 | 100.60 | ||||||
| Mean ±SD | 99.40 ±0.94 | 99.65 ± 1.02 | 99.38 ±0.89 | 99.48 ±0.93 | 99.90 ±0.707 | 99.88 ± 0.61 | 100.08 ± 0.61 | 100.23 ± 0.48 | |||
| V | 0.892 | 1.04 | 0.79 | 0.93 | 0.50 | 0.372 | 0.374 | 0.23 | |||
| R.S.D% | 0.94 | 1.02 | 0.88 | 0.865 | 0.707 | 0.61 | 0.61 | 0.48 | |||
| S.E | 0.385 | 0.416 | 0.363 | 0.38 | 0.289 | 0.249 | 0.25 | 0.196 | |||
| t-value b | 0.40 | 0.17 | 0.05 | 0.43 | |||||||
| F-value b | 1.17 | 1.09 | 1.34 | 1.62 |
a Average of six determinations., b The theoretical values of t and F are 2.57 and 5.05, respectively at confidence limit at 95% confidence level and five degrees of freedom (p= 0.05).
Interference studies
The studied drugs were determined in the presence of possible excipients and additives such as lactose, microcrystalline cellulose, sodium starch glycolate and magnesium stearate. Under the experimental conditions employed, to a known amount of drugs, excipients in different concentrations were added and studied. Excipients do not interfere with the assay. In addition, recoveries in most cases were around 100% and the lower values of the RSD (≤ 2.0%) indicate the good precision of the methods. Regarding the interference of the excipients and additives usually presented in pharmaceutical formulation and interference due to the degradation products of drugs, the energy of the charge transfer (ECT) depends on the ionization potential (IP) of the donor and the electron affinity of the acceptor (EA), hence the λmax values of the other π-donors mostly differ from that of the investigated compounds if they are able to form charge transfer complexes. Preliminary experiments showed that all additives, excipients and degradate products did not form charge transfer complexes with the studied acceptors indicating the high selectivity of the proposed methods and applicability to use for routine determination in pure and in dosage forms.
Application of the proposed methods to the analysis of tablets
In order to evaluate the analytical applicability of the proposed methods to the quantification of the studied drugs in commercial tablets, the results obtained by the proposed methods were compared with those of the reference methods [25, 39] by applying Student’s t-test for accuracy and F-test for precision. The results (Table 5, 6) show that the Student’s t- and F-values at 95% confidence level are less than the theoretical values, indicating that there is a good agreement between the results obtained by the proposed methods and the reference method with respect to accuracy and precision.
DISCUSSION
Chloranilic acid (p-CLA) exists in three ionic forms, the neutral yellow- orange H2A at very low pH, the dark purple HA− which is stable at pH 3.0 and a colorless A2−, which is stable at high pH; these transformations are illustrated in the following scheme:
H2A
H++HA−(violet),
HA−
H++A2−(colorless).
Since the interaction of the studied drugs with p-CLA in acetonitrile forms charge transfer complex gave a violet product (p-CLA radical anion) which absorbing maximally at wavelength 532 and 533 nm for DES and EBS, respectively, it might be concluded that HA− was the form of p-CLA involved in the reaction described herein. This compound is considered to be an intermediate molecular association complex which dissociates in the corresponding radical anions in acetonitrile solvent. The reaction of the studied drugs with DDQ yields intense orange-red colored radical anion (DDQ.−) in acetonitrile, which exhibits two absorption maxima at 532 and 459 nm for DES and at 527 and 460 nm for EBS. The 459 and 460 nm band for DES and EBS, respectively, having the highest absorption intensity were selected for construction of Beer's plot. nm The predominant colour with DDQ is from the reddish brown radical anion DDQ.-, which was probably formed by the dissociation of an original donor-acceptor (DA) complex with the studied drugs.
The interaction of the studied drugs with selective polyhaloquinone and polycyanoquinone π-acceptors in non-polar solvents such as dichloroethane was found to produce colored charge-transfer complexes with low molar absorptivity values. In polar solvents such as acetonitrile, complete electron transfer from the studied drugs (D), as an electron donor, to the acceptor moiety (A) takes place with the formation of intensely colored radical ions with high molar absorptivity values, according to the following scheme:
The dissociation of the (D–A) complex was promoted by the high ionizing power of the polar solvent and the resulting peaks in the absorption spectra of D-acceptor reaction mixtures were similar to the maxima of the radical anions of the acceptors obtained by the iodide reduction method. Further support for the assignment was provided by the comparison of the absorption bands with those of the DDQ.- and p-CLA.- radical anions produced by the iodide reduction method.
CONCLUSIONS
The present study described the successful evaluation of two π acceptors (DDQ and p-CLA) as analytical reagents in the development of simple and rapid charge transfer complexation spectrophotometric methods for the accurate determination of DES and EBS in bulk drugs and its tablets and validated as per the current ICH guidelines. The present spectrophotometric methods are characterized by simplicity since they do not involve any critical experimental variable and are free from tedious, time-consuming, extraction steps and do not need expensive sophisticated apparatus unlike many previous methods. The proposed methods have additional advantages of ease of operation and possibility of carrying them out with a common laboratory instrument unlike many other instrumental methods reported for both drugs. They are characterized by high selectivity and comparable sensitivity with respect to the existing methods. The accuracy, reproducibility, simplicity, and cost-effectiveness of the methods suggest their application in the quality control laboratories where the modern and expensive instruments are not available.
CONFLICT OF INTERESTS
The authors declare that they have no conflict of interests with the company name used in the paper.
REFERNCES