1Industrial Pharmacy Laboratory, Medical and Pharmaceutical Chemistry Department, Division of Pharmaceutical Industries, National Research Centre, El-Tahrir Street, Dokki, Giza 12622, Egypt, 2Department of Pharmaceutics, Faculty of Pharmacy, Cairo University, Cairo, 11562, Egypt.
Email: lhhemara@yahoo.com
Received: 15 Jul 2014 Revised and Accepted: 20 Aug 2014
ABSTRACT
Objective: Hot-melt extrusion technique (HME) was used to prepare a sustained release (SR) multiparticulate oral dosage form (pellets) containing Ibuprofen (IBU). Prepared IBU-HME pellets were in vitro evaluated by flow-through cell dissolution tester (FTC, USP Apparatus #4) using different flow conditions and FTC designs.
Methods: In this study, Sucroester®WE15 was used as the polymeric carrier to prepare two different IBU loadings (60 % and 30 % w/w). In order to optimize the FTC conditions, different cell sizes, pellets loading and hydrodynamic conditions of FTC on IBU release rate from pellets were proposed.
Results: The results showed that the IBU release rate was increased in the larger cell than the small cell. In addition, laminar flow showed more reproducible results than turbulent flow. It was found that the large cell with laminar flow rate and homogeneous mixing of the pellets with glass beads was the optimum conditions for in vitro evaluation of these preparations.
Conclusion: Improper methods of sample loading as well as cell size may result in confusing or erroneous data if not analyzed carefully. Therefore, it might be critical to choose a specific cell design of the FTC for in vitro evaluation of pellets to obtain reliable and discriminative results reflecting the major as well as minor formulation variables.
Keywords: Ibuprofen, Flow-through cell, Hot-melt extrusion, Pellets, Sustained-release, Sucroester.
INTRODUCTION
IBU is a chiral nonsteroidal anti-inflammatory drug (NSAID) which is currently administered as racemate. It has proven over more than 50 years to be safe and effective as a potent inhibitor of prostaglandin synthesis with the S-(+)-enantiomer possessing the majority of pharmacological activity. The absorption of IBU is rapid and complete when gave orally but suffers from short biological half life, approximately 2 h, thus require multiple daily dosing. Administration of SR dosage forms reduces the frequency of drug administration and maintains plasma concentration within the therapeutic range, thus enhancing patient compliance [1].
According to Biopharmaceutics Classification System (BCS), IBU is classified as class II (poorly soluble, highly permeable) [2]. Therefore, an enhancement of the dissolution rate of the drug is thought to be a key factor in improving the bioavailability of BCS Class II drugs [2]. IBU has been prepared in SR dosage forms such as tablets [3,10]. Capsules [11,13] and pellets [14,15] using different manufacturing techniques.
Multiparticulate (MP) drug delivery systems give many advantages over the single-unit dosage forms due to their small size. MP systems improve the therapeutic efficiency, reduce the adverse effects and limit the risk of local irritation resulting in a more patient compliance. Moreover, MP systems achieve a unique release pattern with no risk of dose dumping [16]. However, studies on IBU in the form of pellets were very few in literature [14,15]. One of the recent preparation of MP drug delivery systems in the form of pellets is the use of HME technique [17,18].
HME is recently used as an alternative method for preparation of solid dispersions instead of the conventional methods such as melting and solvent evaporation methods, hence HME processed in the absence of solvents or water. Solid dispersions have shown promising future for both increasing the bioavailability of drugs and for developing controlled-release preparations [19].
Moreover, HME technology is an innovative and viable approach in the preparation of various pharmaceutical drug delivery systems such as pellets, granules, immediate and modified release tablets, oral fast dissolving systems, transdermal and transmucosal delivery systems [20]. In HME technique, raw materials or blends can be mixed and extruded under defined conditions as a continuous process.
Carriers used in hot melt extruded dosage forms can be classified into polymeric [e. g. Polyethylene glycol (PEG), polyethylene oxide (PEO) and Eudragit® (acrylates)] and non-polymeric carriers (e. g. Carnauba wax). The properties of the carrier material often dictate the processing conditions necessary for the production of the dosage unit. The physical and chemical properties of the carrier often modulate the release of the active compound from the final dosage form [20].
Sucrose esters (SEs) are non-ionic surface active agents consisting of sucrose as hydrophilic moiety and fatty acids as lipophilic groups. They are used in HME technology, because of their low melting points but the information available on these carriers is not sufficient and further investigations are still needed. SEs have a wide range of hydrophilic–lipophilic balance (HLB) values, ranges from 1 to 16. In most cases, SEs are used in melt technology to improve the bioavailability of poorly water soluble materials [21]. For example, Sucroester S1670 (HLB=16) has been utilized as a hydrophilic polymer to improve the dissolution rate of glybuzole [22]. In the present study Sucroester®WE15 (HLB=15) with melting point (60 °C), will be used as a hydrophilic polymer with IBU for HME process. The use of polymeric carriers in HME might require the incorporation of a plasticizer into the formulation. Plasticizers are typically low molecular mass compounds capable of softening polymers to make them more flexible by decreasing the polymer glass transition temperature (Tg) and melt viscosity, resulting in reducing the drug and carrier degradation and improve the stability profile of the active compound. Thus, thermal stability of the individual compound is a prerequisite for the HME process [20]. IBU, a low melting point drug (78 °C), has a plasticizing effect on Sucroester®WE15, hence lower the extrusion temperature favorably affecting the stability of both the drug and polymer [23].
The aim of this study was to prepare IBU-Sucroester®WE15 sustained release pellets by HME technique. IBU-HME pellets were in vitro evaluated by FTC. Different cell sizes (large and small), flow conditions (turbulent and laminar) and pellets loading into the FTC were investigated to select the optimum hydrodynamic conditions that are capable to discriminate between the different preparations.
MATERIALS AND METHODS
Materials
Pure Ibuprofen (IBU) was kindly donated from Sigma Pharma, Cairo, Egypt. Sucroester®WE15 was obtained from Gattefose S. A., France. Sodium hydroxide pellets and potassium dihydrogen orthophosphate were purchased from Laboratory Rasayan, India. Methanol (HPLC grade, Prolabo, France) was used for stock solution preparation. Milli-Q purified water (Millipore Corp., Billerica, MA, USA) was used to prepare the dissolution medium.
Methods
Preparation of IBU-HME Pellets
HME was performed using ¼ inch single screw extruder with a single rod die (Randcastle Microtruder RC-025, Randcastle Extrusion Systems, Inc., USA). It has four heating zones [three cylinder heating zones and one die heating zone] (Figure 1). Two formulae P1 & P2 were prepared, the ratios of IBU: Sucroester®WE15 were (60: 40 % w/w) and (30: 70 % w/w) for P1 and P2, respectively. For each formula, IBU and Sucroester®WE15 were weighed in their specified ratios and physical mixtures were prepared by blending simultaneously, using polyethylene bag [24] for 10 minutes and then hot melt extruded. The four zones of the extruder were heated to the required temperatures ranges from 55-65 °C and cooled by water. The extrusion temperature was well below the drug’s melting point (78 °C) and also below its decomposition temperature. Once the extrusion temperature was reached, the screw speed was set at 30 rpm and melt extrusion was started. The produced ‘spaghetti-like’ shape extrudates were cut manually into pellets of 2 mm length.

Fig. 1: Schematic diagram of the single screw extruder (Randcastle Extrusion Systems, Inc., USA).
UV-Spectrophotometric analysis of IBU
A standard curve ranging from 0.5 to 35 μg/ml in phosphate buffer (pH 7.2) was constructed. A stock solution was prepared by dissolving 0.05 g of IBU powder in 100 ml methanol to yield a concentration of 500 μg/ml. This solution was serially diluted with phosphate buffer (pH 7.2) to yield the desired concentration range. The absorbance of the prepared solutions was measured spectrophotometrically (DU–650 UV-Vis spectrophotometer, Beckman, DU-650, USA) at λmax of 221 nm against a blank of phosphate buffer (pH 7.2). The absorbance was plotted against the concentration and the response factor was calculated. Each concentration was analyzed in triplicate and the mean values were calculated. A linear zero intercept relationship was established where the slope and regression coefficient were 0.0095 and 0.9986, respectively. Percent recoveries ranged from 85.18 % to 114.10 % and the average response factor was 19.97 ± 1.68.
Flow-through dissolution Tester
These studies were carried out using the FTC, USP Apparatus # 4, which is composed of Dissotest CE-6 equipped with a CY 7-50 piston pump (Sotax, Switzerland). Figure 2 describes the dissolution cell which could help in better understanding of the various IBU-HME pellets loading designs used in this study. It has 3 parts: the entry cone in which a rubby bead (6 mm diameter) was placed, the middle cylindrical portion and the filter head on top.
Dissolution medium enters the cone through a capillary pore on the bottom and flows up the cell [25]. A built-in filtration system, in the filter head, with 0.7-μm Whatman glass microfiber (GF/F and GF/D) and glass wool was used throughout the study. The dissolution medium used throughout the experiments was filtered (0.45 µm), degassed (vacuum filtration system, Millipore, USA) phosphate buffer of pH 7.2 and its temperature was kept at 37 ± 0.5 °C.

Fig. 2: Schematic diagram of the dissolution cell in the FTC apparatus.
The prepared IBU-HME pellets (P1 & P2) were loaded into the FTC in five different designs (Figure 3) as follows:
Design-A
IBU-HME pellets were loaded in the small cell (12 mm) without glass beads (turbulent flow).
Design-B
IBU-HME pellets were loaded in the large cell (22.6 mm) without glass beads (turbulent flow).
Design-C
IBU-HME pellets were loaded in the entry cone of the large cell (22.6 mm) with 1-mm round glass beads fill only the cylindrical portion of the cell (turbulent flow limited to a defined volume of the cell).
Design-D
IBU-HME pellets were loaded in the large cell (22.6 mm) homogeneously mixed with glass beads (ratio of pellets to glass beads 1: 2, respectively) (v: v). Mixing was carried out very gently with the help of a spatula then glass beads were added till the score of tablet holder [26].
Design-E
IBU-HME pellets were loaded as design D but the glass beads fill the whole cell volume then covered with wide and narrow meshes.

Fig. 3: Schematic diagrams showing the five designs for IBU-HME pellets loaded into the FTC.
The amount of pellets weighed in each cell was equivalent to 400 mg of pure IBU. All experiments were carried out in a closed-loop setup, using 900 ml filtered degassed phosphate buffer of pH 7.2 as dissolution medium with flow rate of 8 ml/min. Sample fractions were collected every half-hour for the first 2 h then every hour till 8 h. At predetermined time intervals, volume fractions were collected and then analyzed spectrophotometrically for IBU content by measuring the absorbance at the corresponding λmax (221 nm) against phosphate buffer (pH 7.2) as blank. Each formula was tested in triplicate for up to 8 h and the mean value was calculated.
Comparison between different FTC Designs
The similarity factor (ƒ2), as proposed by Moore and Flanner [27] was calculated from the mean release data and was used to compare between different FTC designs. (ƒ2) is defined as:
ƒ2 = 50 x log {[1+ (1/n) Σt=1n (Rt – Tt) 2 ]‐0.5 x 100}
where, n is number of data time points collected during the in vitro release test, Rt and Tt are the cumulative percentages release at the selected (n) time points. The (ƒ2) value is a measure of similarity between two release profiles and its value ranges from 0 and 100. FDA has set a public standard of (ƒ2) value of 50-100 to indicate similarity between two dissolution profiles [27].
Results and Discussion
In this study, SEs with high HLB values were used to increase or sometimes to slowdown drug release [21]. P1 & P2 pellets were prepared by extrusion of IBU with Sucroester®WE15 (HLB= 15) which was used as a hydrophilic polymeric carrier to sustain the IBU release.
It is critical that the dissolution method employed be capable of demonstrating the extent of improvement in release that may be achieved by different formulation variables. Available evidence has shown that dissolution testing provides the means to evaluate critical parameters, such as bioavailability and provides information necessary to the formulator in developing more efficacious and therapeutically optimal dosage forms [28].
FTC dissolution apparatus (USP Apparatus # 4) offers a viable option for carrying out release of various dosage forms such as tablets, powders, suppositories, hard gelatin capsules, implants, semisolids and drug-eluting stents [29]. It offers a distinct advantage compared to USP paddle and basket apparatuses especially for drugs with poor solubility and wettability [28]. It solves the problem of non-sink conditions by supplying an unlimited quantity of fresh dissolution medium [30].
Moreover, FTC is specially designed to have a small holdup volume compared with other USP dissolution apparatuses that helps to minimize spreading of drug particles to undefined sites of the apparatus. This adjustment could eliminate or minimize the errors of highly variable release profiles that might be obtained from the conventional dissolution apparatuses (Basket & Paddle) [25]. Also, it assures that the tests are carried out under well-controlled conditions of agitation and uninterrupted sampling that are capable of discriminating between products and detecting any formulation changes that might affect drug bioavailability.
However, there have been few reports in literature regarding the testing of pellets using the FTC [31,32]. Also, no systematic evaluation of pellets loading into the FTC, to detect any formulation changes as well as the reproducibility of the results has been described.
In our study, IBU-HME pellets (P1 & P2) containing different IBU concentrations were loaded into the FTC according to different designs as illustrated in Figure 3 and the impact of the loading pattern on IBU release rate was studied.
Figures 4-8 showed the release rate profiles of the two formulae P1 & P2 containing 60 % and 30 % IBU, respectively loaded into the FTC according to designs (A-E). Error bars on the graphs represent the standard deviation (S. D.) of the mean (n=3). When the pellets were loaded according to design-A, under the turbulent flow, the IBU released after 8 h was the lowest for P1 & P2 (35 % and 28 %, respectively) as shown in Figure 4. On the other hand, when the pellets were loaded according to design-B, the IBU released was the highest for P1 & P2 (89 % and 67 %, respectively) as shown in Figure 5.

Fig. 4: Release profiles of IBU-HME pellets loaded into the FTC according to design-A

Fig. 5: Release profiles of IBU-HME pellets loaded into the FTC according to design-B
These results showed that the IBU released was lower in the small cell than in the large cell, which could be attributed to the phenomena of pellets agglomeration which was observed in the small cell during the dissolution testing. These agglomerates retained a lot of air bubbles between pellets which decrease the surface area exposed to the dissolution medium and hence low IBU was released. While using the large cell allowed larger space for pellets and eliminated pellets agglomeration, which might increase IBU release rate. However, these designs (A & B) suffered from bad reproducibility as indicated by the high S. D. values (Figures 4 & 5).
These results were not in agreement with previous studies done [28,33,34]. A study was carried out on Voltaren Retard tablets where the cell size (small or large) had almost no effect on the release of diclofinac sodium [28]. The dissolution rates of nifedipine from commercially available controlled-release tablets in the large cell were significantly lower than those in the small cell [33]. Similarly, Cammaran et al [34] reported that the dissolution rate of salicylic acid tablets in the large cell was significantly lower than those in the small cell. This was explained by the fact that, the fresh dissolution medium was recirculated faster in the small cell, resulting in more drug diffusion, which was expected to increase the amount of drug in the small cell [34]. It is worthy to mention here that the dosage forms previously studied were tablets [28,33,34], while in our study the dosage form was pellets which might require special FTC design.
In case of applying the large cell with turbulent flow limited to a defined volume of cell (design-C), the IBU released was almost the same for both P1 & P2 (49.94 % and 50.25 %, respectively) as shown in Figure 6 with reproducible results as proved by the low S. D. Values.

Fig. 6: Release profiles of IBU-HME pellets loaded into the FTC according to Design-C
However, P1 contained a double amount of IBU than P2 (60 % and 30 % w/w, respectively), this design did not reflect this large drug loading difference. Comparing designs B & C, it was clear that the IBU released from P1 & P2 was drastically decreased (from 89 % and 67 % to 49.94 % and 50.25 %, respectively) as shown in Figures 5 & 6. On the other hand, a study on Volatren Retard tablets [28] showed similar release profiles of diclofenac sodium when the tablet was loaded into the FTC using the same cell designs (B & C). Again, we should report that the use of different dosage forms might require modification of the FTC.
Therefore, designs (A, B & C) were not appropriate for IBU-HME pellets loading into the FTC. These unexpected results led to the exploration of alternative designs of sample loading in order to achieve acceptable release data capable to discriminate between different formulations with low variability of a results by applying the laminar flow instead of the turbulent flow.
Accordingly, the pellets were loaded according to design-D under laminar flow conditions. Figure 7 showed that the IBU released from P1 & P2 were found to be 64 % and 46 %, respectively.
The release of IBU from P2 pellets showed a relatively bad reproducibility of results as indicated by the high S. D. Values. It was observed that, in case of P2, after 1 h of release, some pellets migrated over the glass beads and swelled in the free part of the cell which might be the reason of the bad reproducibility of the release rate results. To overcome the migration of pellets to undefined sites in the cell, additional amount of glass beads was used to fill the whole cell volume and covered with wide and narrow meshes as shown in (design-E). Figure 8 showed the release rates of plain IBU powder as well as P1 and P2. The IBU powder showed a burst release in the first hour (80 %) then almost a plateau for 7 h, while IBU released was 65 % and 47 %, for P1 and P2, respectively.

Fig. 7: Release profiles of IBU- HME pellets loaded into the FTC according to design-D

Fig. 8: Release profiles of IBU powder, P1 and P2 pellets loaded into the FTC according to design-E
Although, IBU released in both designs (D & E) from P1 & P2 was almost the same, design-E showed reproducible results as indicated by the very low S. D. values for both P1 & P2. This result agreed with a previous study [25] on a poorly soluble compound using different designs of powder loading within the glass beads into the FTC and their impact on its dissolution. It was reported that homogeneous mixing of the drug powder with glass beads was the best method of drug loading into the cell.
This result showed that the Sucroester®WE15 succeeded in sustaining the IBU release rate from P1 & P2 compared to the IBU powder (Figure 8). On the other hand, Sucroester®WE15 has been used with HME in previous studies to enhance the release of 17-estradiol [35] and Nifedipine [33].
Design-E was selected as the best design to carry out future in vitro release studies for IBU-HME pellets. The advantages of this design were as follows: it achieved the optimum conditions for IBU release from the proposed formulations, solved the problems of unreliable release data due to spreading of pellets to undefined sites of the cell and thereby, eliminated the resulting errors in the release data and finally, achieved maximum release with minimum variability of results.
Moreover, design-E was able to discriminate between the two formulae P1 & P2 containing different IBU loading (60 % and 30 %, respectively), so it reflected the very important formulation difference: the drug loading. Therefore, it might be crucial to design a specific cell design for each drug and/or dosage form upon using the FTC apparatus.
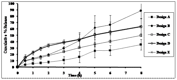
Figures 9 and 10 summarized the impact of different designs of the FTC on the release rate of IBU for each formula, which showed the variability within the same test sample due to FTC design change. In order to figure out to what extent the different designs could affect the IBU release within each formula, (f2) was calculated to show the similarity or dissimilarity of IBU release profiles obtained from each design. Table 1 recorded the similarity factor (f2) of IBU release profiles between the selected design-E set as reference, against the other four designs (A-D). In case of P1, the designs (A, B & C) showed dissimilar release profiles. In a case of P2, designs (A & B) showed dissimilar release profiles.

Fig. 9: Release profiles of P1 pellets loaded into the FTC according to designs (A-E)

Fig. 10: Release profiles of P2 pellets loaded into the FTC according to designs (A-E)
Table 1: Similarity factors (f2) values between the selected design-E set as reference, against other designs (A-D).
| Formula | IBU (% w/w) | ƒ2 values | |||
| FTC designs | |||||
| A | B | C | D | ||
| P1 | 60 | 30 | 44 | 42 | 91 |
| P2 | 30 | 41 | 47 | 82 | 93 |
ConclusionS
To successfully employ the FTC for evaluating MP dosage forms, it is critical that the drug substance be maintained in the body of the cell during testing. As seen from this study, this was not simple to achieve and optimize the FTC conditions with pellets. In the absence of a better cell design, the method of sample preparation and loading into the cell need to be carefully chosen in order to obtain reliable results. The intent of this work was to determine how well this method of release testing and the design of pellets loading can discriminate between 60 % and 30 % w/w IBU loadings. Achieving 100 % of IBU release, although desirable, was not set as a goal. The data presented demonstrates that for a MP/IBU delivery system, design E was the design of choice. Improper methods of sample loading as well as cell size may result in confusing or erroneous data if not analyzed carefully.
CONFLICT OF INTEREST
There is no conflict of interest to disclose.
Reference