1Analytical Chemistry Department, Faculty of Pharmacy, Helwan University, Egypt, 2Analytical Chemistry Department, Faculty of Pharmacy, Ahram Canadian University, Egypt, 3Analytical Chemistry Department, Faculty of Pharmacy, Cairo University, Egypt.
Email: nesma_fahmy@hotmail.com
Received: 16 Jul 2014 Revised and Accepted: 20 Aug 2014
ABSTRACT
Objective: Two simple, accurate and precise chromatographic methods were developed for the determination of calcium dobesilate in the presence of its interfering substances as its degradation product and/or impurity hydroquinone in pharmaceutical dosage forms with lidocaine hydrochloride alone or in combination with dexamethasone acetate.
Methods: The first method is HPTLC-spectrodensitometric one using benzene: methanol: ethyl acetate: ammonia: sodium lauryl sulphate (7: 2.1: 2.5: 0.1: 0.05 v/v/v/v/w) as a developing system and scanned at 220 nm. Second one is an HPLC method where the mixture was separated on an ODS-3 C18 column with flow rate 1 ml/min and the mobile phase was phosphate buffer: acetonitrile (35:65 v/v) (adjusted to pH 3.4 with o- phosphoric acid), scanned at 220 nm.
Results: The robustness of the method was determined to assess the effect of small but deliberate variation of the chromatographic conditions on the determination of cited drugs in a presence of interfering substances. Robustness was determined by changing the mobile phase flow rate to 0.5, 1,and 1.5 mLmin−1, pH to 3.5, 4, and 5, and the concentration of acetonitrile in the mobile phase to 60% and 80%. The proposed methods were checked using laboratory-prepared mixtures and were successfully applied for the analysis of pharmaceutical formulations containing the cited drugs and were validated via ICH guidelines.
Conclusion: The proposed methods could be used for the routine analysis of the cited drugs in their pharmaceutical formulation in quality control laboratories.
Keywords: Calcium-dobesilate, Lidocaine hydrochloride, Dexamethasone acetate, RP-HPLC, HPTLC-spectrodensitometry.
INTRODUCTION
Anti-haemorrhoidal (Antihaemorrhoidalia) medicines are mainly used in symptomatic therapy, and only partially as causal therapy of anorectic region disease. They are used locally, mostly as a combination of active compounds. Dosage forms that are used are suppositories and ointments. Usually compounds used in this therapy are anesthetics, anti-inflammatory drugs, antibiotics, vasoconstrictors, haemostatics, anticoagulants and antihistaminics [1]. Calcium dobesilate (CD) [calcium 2,5-dihydroxy-benzenesulfonate] as a cyclohexadienolic bisulphate derivative also known as hydroquinone sulfonic acid, decreases the microvascular permeability by inhibiting the histamine and bradykinin concentration. In that way it reduces edema, inflammation and bleeding from hemorrhoids. It has a protective effect on blood vessels. Recent studies showed CD as an anti-oxidant improving endothelial function [2],[3].
Lidocaine hydrochloride [16-methyl-11β, 17α, 21-trihydroxy-9α-fluoropregna-1,4 diene-3,20-dione 21-acetate] inhibits the inflammatory process, through the anti-inflammatory function, in the early stage. The function of glucocorticoids is not specific because it decreases the inflammatory action effects no matter what the cause of the reaction was [1].
Considering the literature CD was determined by HPLC [4] or potentiometric titration [5] as their official methods. CD was directly determined in plasma, using a flow-injection biamperometric method [6] and HPLC method after ion-pair extraction [7]. For the simultaneous determination of CD and HQ a spectrophotometric method and a TLC-densitometric method were developed[8]. LH was investigated in rectal medical gel [9] and human plasma using high-performance liquid chromatography (HLPC) [10, 11] and LC-MS [12], while its official methods are HPLC [4], or potentiometric titration [5]. DA was determined by HPLC according to the USP [4], or direct spectrophotometry as the BP official method [5], or by HPLC in cream [13], injection solutions [14] and equine serum [15]. DA was also determined in tablets using chemometrics- assisted spectrophotometry [16], in addition to capillary electrophoresis [17]. While for the simultaneous determination of LH, DA, CD, and HQ qualitatively and quantitatively an isocratic reversed phase high performance liquid chromatographic method was described [18], in addition to several new spectrophotometric methods [19],[20].
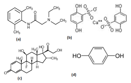
The chemical structures of the drugs [5] were shown in Figure1.

Fig. 1: The chemical structures of the proposed drugs (a) lidocaine hydrochloride [LH], (b) calcium dobesilate[CD], (c) dexamethasone acetate[DA], and (d) hydroquinone[HQ].
Experimental materials and methods
-A double beam UV-visible spectrophotometer [Shimadzu, Japan] model UV-1601 PC, with 1 cm quartz cells, connected to an IBM-compatible computer was used. The software was UV-PC personal spectroscopy software version 3.7. The spectral band width was 2 nm with wavelength- scanning speed of 2800 nm min-1.
- UV lamp with short wavelength 254 nm (USA).
-Camag Linomat S auto sampler with Camag micro syringe (100 µl); CAMAG, Muttenz, Switzerland
-Camag TLC scanner 3 densitometer model 35/N130319 equipped with wincats software densitometeric evaluation; CAMAG, Muttenz, Switzerland
-Precoated TLC- plates (20 cm ×20 cm, 0.25 mm ALUGRAM; Nano-SIL Silica Gel G/UV254 Macherey Nagel, Germany).
-Glass jar for TLC with lid 22 × 25 × 10 cm
-Source of UVB (Philips Lamp, Germany), 8 watt, with filter producing radiation (280-320)
The following requirements are taken into consideration:
The RP-HPLC Analysis was performed on a chromatographic system Jasco LC-Net II/ADC (Japan) equipped with UV detector (UV-2070 plus), isocratic pump (PU-2080 plus) and 4-line degasser (DG-2080-54). A chromatographic separation was achieved by Inertsil ODS-3 C-18, 250 x 4.6 mm, 5µ analytical columns. Data acquisition were made with ChromNAV software.
Chemicals and reagents
Pure samples
LH was kindly supplied by Sigmatec Company, while CD and DA were kindly supplied by Minapharm Company, and their purity were found to be 100.06 ± 0.23, 100.11 ± 0.31, and 99.89 ± 0.33, respectively according to BP[5], Hydroquinone (Quinol) was supplied by Alamia Company for Chemicals and their purity were found to be 100.56 ± 0.64 according to USP [4].
Market samples
Doxiproct ointment Each 1 gram claimed to contain 20 mg of LD, and 40 m g of CD, while Doxiproct Plus ointment Each 1 gram claimed to contain 20 mg of LD, 2.5 mg DA and 40 mg of CD manufactured by Mina Pharm under license of OM Pharma Switzerland were purchased. Maximum allowed content of HQ was 0.1% in ointment [18].
Solvents
Methyl alcohol, benzene, ethyl acetate, sodium lauryl sulfate and ammonia were purchased from El-NASR Pharmaceutical Chemicals Co., Abu- Zaabal, Cairo, Egypt.
Acetonitrile and potassium dihydrogen orthophosphate were HPLC grade and were supplied by Sigma Aldrich.
All solvents used were of LC grade and all reagents and chemicals were of analytical grade.
All calculations and samples preparation for reference material and pharmaceutical formulation were done regarding the salt forms.
Standard stock solutions for TLC- spectrodensitometric method
LH, CD, DA, and HQ [1 mg/ml] in methanol
Standard stock and working solutions for HPLC
LH, CD, DA, and HQ Standard stock solution; 250 µg/mL in the mobile phase were prepared.
LH, CD, DA, and HQ standard working solution; 25 µg/mL in the mobile phase were prepared. All solutions were freshly prepared on the day of analysis.
Procedures of chromatographic methods
Construction of calibration curves
TLC-spectrodensitometric method
Aliquots of 2-20 µg/band of LH, DA, and HQ standard solution [1 mg/ml] and of 8-50 µg/band of CD standard solution [1 mg/ml] were applied in the form of bands on TLC plate. The bond length was 4 mm and dosage speed was 150 nL S-1, the bands were applied 12.8 mm apart from each other and 15 mm from the bottom edge of the plate. Linear ascending development was performed in a chromatographic tank previously saturated with the mobile phase (benzene: methanol: ethyl acetate: ammonia: Sodium lauryl sulphate [7:2.1:2.5:0.1:0.05, v: v: v: w]) for 15 minutes at room temperature. The developed plates were air-dried and scanned at 220 nm using the deuterium lamp, absorbance mode at 3 mm x 0.45 mm slit dimension and scanning speed of 20 mm S-1. The spots were scanned using the following conditions:
- Photo mode: reflection. Scanning mode: zigzag. Wavelength: 220 nm.
- Result output: chromatogram and area under the peak (AUP).
Calibration curves relating the optical density of each spot to the corresponding concentration of CD, DA, LH, and HQ were constructed. The regression equations were then computed for the studied drugs and used for determination of unknown samples.
High performance liquid chromatographic methods
Method (1)
Aliquots be equivalent to 10-500 µg LH, CD, and HQ, while aliquots equivalent to 50-600 µg DA were accurately transferred from their working solutions (25 µg/ml) into four separate series of 10-ml volumetric flasks then completed to volume with the mobile phase.
The samples were then chromatographed using the following chromatographic conditions:
Stationary phase: Inertsil C-18, 250 x 4.6 mm, 5µ analytical column, mobile phase, phosphate buffer: acetonitrile [35:65 v/v], the final pH-value was adjusted to 3.4 ± 0.2 with O-phosphoric acid using a pH-meter. Flow rate 1.5 mL/ min. [isocratically at ambient temperature [~25 ◦C] with UV detection at 220 nm.
Calibration curves relating the peak area ratios of CD, DA, LH, and HQ to that of standard [20 µg/ml] versus the corresponding concentrations of CD, DA, LH, and HQ [µg/ml]. The regression equations were computed and calculations were performed following the external standard technique, concentrations of unknown samples of CD, DA, LH, and HQ were determined using the obtained regression equations. Linearity curves were constructed and the regression equations computed.
Method (2)
Aliquots equivalent to 10-500 µg LH and CD, while aliquots equivalent to 20-500 µg HQ were accurately transferred from their working solutions (25 µg/ml) into three separate series of 10-ml volumetric flasks then completed to volume with the mobile phase.
The samples were then chromatographed using the following chromatographic conditions:
Stationary phase: Inertsil C-18, 250 x 4.6 mm, 5µ analytical column, mobile phase; phosphate buffer: acetonitrile [20:80, v/v], the final pH-value was adjusted to 3 ± 0.2 with O-phosphoric acid using a pH-meter. Flow rate 0.5 mL/ min. [isocratically at ambient temperature [~25 °C] with UV detection at 210 nm.
Calibration curves relating the peak area ratios of CD, LH, and HQ to that of standard [15 µg/ml] versus the corresponding concentrations of CD, LH, and HQ [µg/ml]. The regression equations were computed and calculations were performed following the external standard technique, concentrations of unknown samples of CD, LH, and HQ were determined using the obtained regression equations. Linearity curves were constructed and the regression equations computed.
Analysis of laboratory prepared mixtures
Laboratory prepared mixtures containing different ratios of CD, DA, LH, and HQ were analyzed using the suggested methods, aliquots of CD, DA, LH, and HQ were mixed to prepare different mixtures and were proceeded as mentioned under each method, the concentrations from the corresponding regression equations were calculated.
Assay of pharmaceutical formulations
For HPTLC-spectrodensitometry
One gram Doxiproct ointment and another one gram Doxiproct plus ointment were accurately weighed and transferred into two separate 10-ml volumetric measuring flasks to be dispersed in 10 ml methanol by shaking for 5 min. to form a stock solution of 2 mg/ml LH and 4 mg/ml CD for Doxiproct ointment, and also 2 mg/ml LH, 4 mg/ml CD, in addition to 0.0025 mg/ml DA for Doxiproct Plus ointment.
Aliquots 5,6, and 8 µl of the prepared working solution of pharmaceutical preparation were applied in the form of bands on the TLC plates and the procedure described was followed in Doxiproct ointment or after spiking with 5 µg DA upon working with Doxiproct Plus ointment.
For HPLC
One gram of Doxiproct ointment was accurately weighed and dispersed in the mobile phase by ultrasonication for 5 minutes and mixing via vortex mixer before transferring to 100-ml volumetric flask and completed to volume to form a stock solution with concentration 400 µg/mL CD and 200 µg/mLLH. Then 10 mls were taken from the stock solution into 100-ml volumetric flask and completed till the mark with the mobile phase to make a working solution with conc. 40 µg/mLCD and 20 µg/mLLH. Aliquots 0.5,0.6, and 0.8 ml of the prepared working solution of pharmaceutical preparation were transferred into 10-ml volumetric flask and the procedure described was followed.
The previous steps were repeated with Doxiproct Plus ointment to prepare stock solution with concentration 400 µg/mL CD, 200 µg/mLLH, and 2.5 µg/mL DA, and then 10 mls were taken from the stock solution into 100-ml volumetric flask and completed till mark with the mobile phase to make a working solution with conc. 40 µg /mLCD, 20 µg/mLLH, and 0.025 µg/mL DA. Aliquots 0.5, 0.6, and 0.8 ml of the prepared working solution of pharmaceutical preparation were transferred into 10-ml volumetric flask and the procedure described was followed after spiking with 5 µg DA.
The procedure mentioned was adopted for the determination of the drug in its pharmaceutical formulation and the standard addition technique was applied where different known concentrations of pure standard LH, DA, and CD was added to the pharmaceutical formulation before proceeding in the previously mentioned methods. The percentage recoveries of the drug were calculated.
RESULTS AND DISCUSSION
This paper described two methods for the simultaneous determination of LH, DA, CD, and HQ, and a third method conducted as a comaparative study for the simultaneous determination of LH, CD, and HQ.
HPTLC -Spectrodensitometric method
A stability indicating assay method was developed that also quantifies the degradation product and/or impurity, and offers a simple way to quantify directly on TLC plate by measuring the optical density of the separated bands. The method was based on the difference in migration rate of the components using a development system,the reported system for the determination of CD and its degradation producy and/or impurity HQ [8] was tried and improved in order to resolve the mixtures either binary or ternary in presence of hydroquinone so the optimum system was composed of benzene: methanol: ethyl acetate: ammonia: sodium lauryl sulphate (7: 2.1: 2.5: 0.1: 0.05 v/v/v/v/w), the obtained chromatogram showed complete separation of the cited drugs and the Rf values were found to be 0.06 for CD, 0.41 for HQ, 0.54 for DA, and 0.71 for LH. Fig (2). To improve separation of bands, it was necessary to investigate the effect of different variables. Studying the optimum parameters for maximum separation was carried out as following:

Fig. 2: TLC-spectrodenisitometric resolution of a lab mixture of CD with Rf 0.06, HQ,with Rf 0.41, DA with Rf 0.54, and LH with Rf 0.71.
Different developing systems with different ratios were tried, but the problem was to obtain sharp and compact peak for CD due to tailing upwards and downwards in most of the developing systems, sharp spots and complete separation of the cited drugs was achieved by using the previously mentioned developing system, as lower methanol concentrations resulted in Rf =0.00 for CD and higher methanol concentrations hindered the separation of LH and DA resulting in nearly identical Rf values for both of them. Sodium lauryl sulphate was used as a surfactant to decrease the tailing in the CD spot. The same mobile phase without ammonia had the same Rf values for both HQ and DA, while ammonia changed their polarity resulting in different retention times. Also different scanning wavelengths were tested, but the best sensitivity obtained was when we scanned at 220 nm.
Parameters including resolution (Rs) and peak symmetry were calculated. The resolution is always above one and accepted values for symmetry factor were obtained, as shown in Table (1-b).
Table 1(b): System suitability Parameters for determination of LH, HQ, CD and DA by the proposed HPTLC spectrodensitometric method
| CD | HQ | DA | LH | Reference value | |
| Rf value | 0.06 | 0.41 | 0.54 | 0.71 | |
| Experimental Resolution (Rs) | 2.235 | 1.76 | 1.12 | Rs > 1 | |
| Tailing Factor | 1 | 0.66 | 0.8 | 1 | T≤ 2
T = 1 for symmetric peaks |
The calibration curve were constructed by plotting the peak area versus the concentration in the range of 2-20 μg/band for LH, DA, and HQ and 8-50 µg/band for CD, the concentrations were calculated from the corresponding regression equations.
High performance liquid chromatography methods
A simple isocratic high-performance liquid chromatography method was developed for the determination of cited drugs in pharmaceutical formulations either binary mixture of LH and CD mixture(A) or their ternary mixture with CD mixture (B), both mixtures in presence of its degradation product and/or impurity HQ mixture (B).
The cited drugs in pure form and in pharmaceutical formulations were separated using a 250 mm x 4.6 mm, i.d. ODS-3 C18 analytical column. ODS-3 can separate compounds with low Retention times [21, 22]. It had strong hydrophobic properties as it was ideally modified with octadecyl groups and endcapped showing excellent reproducibility. It was based on a purer, high surface area silica which was especially manufactured to provide maximium bonded phase coverage. No peak tailing and adsorption with nitrogen containing compounds as lidocaine hydrochloride (LH) due to its high inertness, as silanol groups were eliminated through a proprietary bonding endcapping technology. The mobile phase consisted of phosphate buffer [pH 4]: acetonitrile [35:65 v/v] and the final pH was adjusted to 3.4 ± 0.2 using o-phosphoric acid. The average retention times under the conditions described were 2.358 min for LH, 3.508 min for HQ, 5.833 min for CD, and 7.150 min for DA. (Fig 3) One sample could be chromatographed in 5 minutes. Calibration graphs were obtained by plotting the peak area ratios of drug to that of external standard versus concentrations of CD, DA, LH, and HQ.

Fig. 3: Liquid chromatographic separation of LH at 2.358 min, HQ at 3.508 min, CD at 5.833 min, and DA at 7.150 min.
Optimization of the methods
Effect of UV wavelength
The drugs CD, DA, LH and HQ were scanned by UV, individually, in a wavelength range of 200-400 nm and maxima for each drug was measured. The maxima for LH was found to be 202 nm, DA at 239 nm, and HQ at 225 nm, whereas, for CD it showed two maxima which were found to be at 202 nm and 305 nm. The corresponding UV spectrum of, CD, DA, LH and HQ are shown in Fig 4. To optimise the UV maxima, various HPLC experiments were performed at various wavelengths starting from 210 nm to 350 nm. The best response has been observed at 210 nm only for binary mixture of LH and CD with its degradation product and/or impurity HQ as they all had absorption maxima from 202 nm till 225 nm, while the ternary mixture in the presence of DA with absorption maxima 239 nm, measuring at 220 nm gave better linearity ranges for the four cited drugs.

Fig. 4: Zero order spectra showing a ternary mixture of CD 8 µg ml-1 (___) showing two maxima at 305 nm and 202 nm, DA 6 µgml-1 (__ __ __) showing λmax at 239 nm, LH 4 µgml-1 (. -. -.) showing λmax at 202 nm, and HQ (----) 3 µg ml-1showing λmax at 225 nm.
Effect of mobile phase composition
The mobile phase phosphate buffer: acetonitrile (35:65 v/v)was chosen after several trials to reach the optimum stationary/mobile–phase matching. Higher acetonitrile concentrations ≥70 % in the mobile phase caused CD and DA peaks to be superimposed, and lower concentration of acetonitrile in the mobile phase composition 60% caused the superimposition of the peaks of CD and HQ. The chromatographic system in this work allowed complete baseline separation of CD, DA, LH, and HQ as shown in Fig 3. System suitability parameters were tested by calculating the capacity factor, tailing factor, the selectivity factor and resolution Table (1-a). Upon using phosphate buffer [pH 4]: acetonitrile [35:65 v/v] and the final pH was adjusted to 3.4 ± 0.2 using o-phosphoric acid. The average retention times under the conditions described were 2.358±0.02 min for LH, 3.508 ±0.01 min for HQ, 5.833±0.02 min for CD, and 7.150 ± 0.01 min for DA. (Fig 3) with average run time 8 minutes with satisfactory resolution and other system suitability parameters so it could be used for the analysis of ternary mixtures with CD (mixture B). as in table 1a.
Table 1(a): System suitability Parameters for determination of LH, HQ, CD and DA by the proposed HPLC methods
Parameter |
HPLC method (1) |
HPLC method (2) |
Reference value |
||||||||
LH |
HQ |
CD |
DA |
LH |
HQ |
CD |
|||||
Retention time (tR) |
2.358 |
3.508 |
5.833 |
7.150 |
3.958 |
5.417 |
7.258 |
||||
Resolution (Rs) |
4.662 |
6.655 |
3.272 |
5.308 |
5.499 |
> 1 |
|||||
Tailing factor (T) |
1.25 |
1.37 |
1.10 |
1.16 |
1.33 |
0.99 |
1.13 |
T = 1 for a typical symmetric peak |
|||
Response factor |
47441 |
41386 |
26521 |
13546 |
153376 |
86478 |
289366 |
||||
HETP = |
0.015 |
0.0084 |
0.0089 |
0.004 |
0.005 |
0.005 |
0.003 |
the smaller the value the higher the column efficiency |
|||
Column efficiency (NTP) |
1596 |
2946 |
2787 |
6138 |
4815 |
4506 |
6928 |
increases with the efficiency of separation |
|||
Selectivity (α) |
----- |
2.74 |
4.89 |
1.32 |
---- |
3.61 |
1.91 |
>1 |
|||

Fig. 5: Liquid chromatographic separation of LH at 3.98 min, HQ at 5.41 min, and CD at7.25 min.
A comparative study was conducted by using a mobile phase composed of phosphate buffer (adjusted to pH 3 (with o-phosphoric acid): acetonitrile (20:80 v/v) with detection at 210 nm. The average retention times under the conditions described were 3.98 min for LH, 5.41 min for HQ, and 7.25 min for CD. The average run time 7.5 minutes within a very good resolution as shown in Fig 5, thus it was selected for the analysis of binary mixture of LH and CD with its degradation product and/or impurity HQ mixture (A) that were present in the pharmaceutical formulation Doxiproct ointment, but couldn’t be used for the ternary mixture with DA as its peak would superimpose with the peak of CD.
Effect of pH
While optimizing the mobile phase pH, different pH values of mobile phase 3.5, 4.0 and 5.0 were used. The resolution of the peaks didn't change a lot, but the retention times were increasing with increasing the pH. In case of pH value 3.4 the o-phosphoric acid: acetonitrile (35:65 v/v), the retention time were 2.358 min for LH, 3.508 min for HQ, 5.833 min for CD, and 7.150 min for DA within a very good resolution and shortest run time. Hence pH 3.4 ± 0.2 of the mobile phase was selected for the experimental work.
Effect of flow rate
For the ternary mixture of LH, CD, and DA in the presence of the degradation product and/or HQ while optimizing the flow rate, initially flow rate of 1 mL/min was used and the retention time of LH was 2.358 min, HQ was 3.508 min, CD was 5.833, and DA was 7.150 min, so the whole run was made in 9 min. The respective chromatograms are shown in Fig3. With an intention to reduce the retention time, the flow rate was increased to1.5 mL/min and the Retention time was recorded to be 1.24 min for LH, 1.85 min for HQ, 3.12 min for CD, and 3.57 min for DA min and the desired result of a very low Retention time was achieved but the system suitability parameters were not as good as upon working with flow rate 1 mL/min. Hence the Flow rate of 1 mL/min was selected for the experimental work.
The comparative study for the binary mixture in the presence of the degradation product and/or impurity HQ was conducted with flow rate 1 mL/min, and the retention times were 1.99 min for LH, 2.70 min for HQ, and 3.62 min for CD. With an intention to enhance resolution the flow rate was chosen to be 0.5 mL/min, and the retention times were 3.98 min for LH, 5.41 min for HQ, and 7.25 min for CD. The ultimate method developed is summarized in the Table 1(a) and the comparative study showed better system suitability parameters especially symmetry, but could only be applied to the binary mixture of LH and CD in the presence of HQ.
Method validation
Validation of the proposed methods was assessed according to ICH recommendations[21].
Linearity and range
The linearity of the proposed methods was evaluated by processing the different calibration curves on three different days.
The calibration curves were constructed within concentration ranges that were selected on the basis of the anticipated drugs concentration during the assay of the dosage form. Each concentration was repeated three times. The linear regression equations were summarized in Table 2. The corresponding concentration ranges, calibration equations and other statistical parameters for all methods were listed in Table 3.
Table 2: linearity studies and regression equations of the proposed methods
| Drug | Method | Regression equation | Correlation coefficient (r) |
| CD | HPTLC-densitometry | ya = 79.739x + 262.68 | 0.9997 |
| HPLC | yb = 0.0406x + 0.048 | 0.9999 | |
| HPLC (2) | yb = 0.0613x + 0.0781 | 0.9999 | |
| LH | HPTLC-densitometry | ya = 1169.2x + 1533.1 | 0.9997 |
| HPLC | yb = 0.0474x + 0.078 | 0.9999 | |
| HPLC (2) | yb= 0.0607x + 0.0707 | 0.9998 | |
| DA | HPTLC-densitometry | ya =1148.9x + 3218.6 | 0.9998 |
| HPLC | yb = 0.047x + 0.0872 | 0.9999 | |
| HQ | HPTLC-densitometry | ya = 1163.8x + 10128 | 0.9998 |
| HPLC | yb = 0.0511x - 0.0125 | 0.9999 | |
| HPLC (2) | yb= 0.0697x + 0.0822 | 0.9999 |
Where ya is the peak area and yb is the peak area ratio, x is the concentration of the mentioned drug
Table 3: Assay parameters and method validation obtained by applying the proposed methods for determination of calcium dobesilate, lidocaine hydrochloride, dexamethasone acetate and hydroquinone in mixtures:
HPTLC-densitometry |
HPLC |
HPLC (2) |
|||||||||
Drug name |
LH |
CD |
DA |
HQ |
LH |
CD |
DA |
HQ |
LH |
CD |
HQ |
range |
2-20 |
8-50 |
2-20 |
2-20 µg/band |
1-50 µg/ml |
1-50 µg/ml |
5-60 µg/ml |
1-50 µg/ml |
1-50 µg/ml |
1-50 µg/ml |
2-50 µg/ml |
Slope |
1169.2 |
79.739 |
1148.9 |
1163.8 |
0.0474 |
0.0406 |
0.047 |
0.0511 |
0.0607 |
0.0613 |
0.0697 |
Intercept |
1533.1 |
262.78 |
3218.6 |
10128 |
0.078 |
0.048 |
0.0872 |
0.0125 |
0.0707 |
0.0781 |
0.0822 |
Accuracy |
100.73 ± 0.89 |
100.87 ± 1.09 |
99.62 ± 1.48 |
99.46 ± 1.06 |
99.64 ± 0.27 |
100.17 ± 0.62 |
99.96 ± 0.56 |
100.14 ± 0.94 |
100.01 ± 0.64 |
99.66 ± 0.50 |
100.01 ± O.71 |
Correlation coefficient (r) |
0.9997 |
0.9997 |
0.9998 |
0.9998 |
0.9999 |
0.9999 |
0.9999 |
0.9999 |
0.9998 |
0.9999 |
0.9999 |
**RSD % a |
0.697342 |
1.434886 |
1.217849 |
0.342 |
0.130 |
0.210 |
0.257 |
0.490 |
0.373 |
0.868 |
0.175 |
**RSD% b |
0.969613 |
1.560017 |
1.469259 |
0.611 |
0.742 |
0.281 |
0.300 |
0.684 |
0.521 |
0.931 |
0.568 |
**RSD% a,**RSD% b: a The intra-day precision (n = 3), average of three different concentrations repeated three times within day. b The inter-day precision (n = 3), average of three different concentrations repeated three times in three successive day.
Accuracy
To study the accuracy of the proposed methods, procedures under linearity for the drugs were repeated three times for the determination of six different concentrations of pure LH, DA, CD and HQ. The accuracy expressed as percentage recoveries was shown in Table 3. The standard addition technique presented in Table 5 showed no interference of pharmaceutical excipients. Good accuracy of the developed methods was indicated by the obtained results.
Precision
The intra-day and inter-day precision of the proposed methods were determined by the analysis of three different concentration of the proposed drugs, within the linearity range, by three replicate analysis of three pure samples of the drugs on a single day and on three consecutive days, the results were illustrated in table 3.
Selectivity
Selectivity was ascertained by analyzing different laboratory prepared mixtures containing the drugs in different ratios within the linearity range. The RSD showed good percentage recoveries with the lowest standard deviation among the other methods. Satisfactory results were shown in table 4.
Statistical analysis
Table 6. shows statistical comparison of the results obtained by the proposed methods and official methods [5] The calculated t and F values were less than the theoretical ones indicating that there was no significant difference between the proposed and the official methods with respect to accuracy and precision. One-way ANOVA was applied for the purpose of comparison of developed methods; Table 7. shows that there was no significant difference between them for the determination of LH, DA,CD, HQ.
Robustness
Results from robustness testing were listed in Table 8 that resulted from changing the mobile phase composition and the flow rate of the solvent system.
Table 4: Determination of CD, LH, HQ and DA by the proposed methods in laboratory prepared mixtures:
RATIO |
HPTLC-densitometry |
HPLC |
HPLC (2)** |
||||||||
CD: HQ: DA: LH |
CD |
HQ |
DA |
LH |
CD |
LH |
HQ |
DA |
CD |
LH |
HQ |
2:1:1:2 |
99.89 ± 0.35 |
100.45 ± 1.24 |
101.65 ± 1.34 |
100.32 ± 0.75 |
101.34 ± 0.64 |
99.62 ± 1.2 |
99.83 ± 0.87 |
99.27 ± 1.45 |
98.78 ± 0.97 |
99.96 ± 0.98 |
100.30 ± 1.11 |
1:2:5:3 |
100.41±0.21 |
101.84 ± 0.84 |
100.23 ±1.11 |
100.78 ± 0.94 |
99.60 ± 0.97 |
100.24 ± 0.83 |
101.63 ± 0.97 |
99.51 ± 0.98 |
101.73 ± 0.76 |
99.58 ± 0.76 |
99.79 ± 0.65 |
1:3:4:2 |
98.74 ± 0.54 |
99.89 ± 0.26 |
100.23 ± 0.74 |
100.24 ± 0.17 |
100.71 ± 0.45 |
100.84 ± 0.96 |
100.96 ± 0.45 |
100.31 ± 0.55 |
99.98 ± 0.89 |
101.34 ± 1.23 |
99.40 ± 0.93 |
4:2:0.25:0* |
100.58 ± 0.96 |
---- |
100.65 ± 1.32 |
99.98 ± 1.12 |
99.61 ± 1.17 |
99.33 ± 1.34 |
---- |
100.58 ± 0.35 |
100.49 ± 0.34 |
99.40 ± 0.95 |
---- |
2:1:8:4 |
101.61 ± 0.99 |
100.89 ± 0.84 |
101.05 ± 0.75 |
98.99 ± 1.53 |
100.35 ± 0.86 |
99.44 ± 0.77 |
99.28 ± 1.46 |
100.79 ± 0.42 |
101.19 ± 0.56 |
99.04 ± 0.78 |
99.28 ± 0.87 |
*The ratio of the lab mixture present in the pharmaceutical formulation after the addition of 5 µg DA. ** Lab mixtures containing LH, CD, and HQ in the same ratio as the mentioned lab mixtures but without DA.
Table 5: Determination of CD, LH, and DA in pharmaceutical dosage form by the proposed methods
| CD | Std Add | LH | Std Add | DA | Std Add | ||
| Found% ± S. D | R% ± S. D | Found% ± S. D | R% ± S. D | Found%± S. D | R% ± S. D | ||
| HPTLC-spectrodensitometry | Doxiproct | 100.21 ± 0.55 | 99.02 ± 1.05 | 98.65 ± 0.82 | 99.60 ± 0.93 | ----- | ------ |
| Doxiproct Plus* | 100.62 ± 0.34 | 100.58 ± 1.23 | 100.51 ± 1.23 | 99.77± 0.70 | 100.02 ± 0.71 | 101.01 ± 0.74 | |
| HPLC | Doxiproct | 99.83 ± 0.78 | 100.00 ± 0.11 | 99.95 ± 0.70 | 100.39 ± 0.44 | ----- | ------ |
| Doxiproct Plus* | 100.07 ± 0.34 | 99.95 ± 0.90 | 100.07 ± 0.73 | 99.47 ± 0.74 | 100.41 ± 0.49 | 100.42 ± 0.85 | |
| HPLC (2) | Doxiproct | 99.65 ± 0.65 | 99.75 ± 0.97 | 100.01 ± 0.52 | 100.59 ± 0.19 | ----- | ---- |
*Doxiproct Plus mentioned aliquots of working solution are spiked with 5 µg DA.
Table 6: Statistical comparison between results obtained by the proposed methods and the official methods for the determination of LH, CD and DA in pure powder form:
CD |
DA |
LH |
HQ |
||||||||||||
Official method BPa |
HPTLC |
HPLC |
HPLC (2) |
Official method BPb |
HPTLC |
HPLC |
Official method BPa |
HPTLC |
HPLC |
HPLC (2) |
Official method |
HPTLC |
HPLC |
HPLC (2) |
|
Mean |
100.41 |
100.08 |
99.95 |
99.39 |
99.72 |
100.00 |
100.05 |
100.00 |
99.77 |
99.45 |
100.24 |
99.61 |
99.54 |
99.99 |
100.23 |
S. D. |
0.87 |
0.94 |
0.91 |
1.66 |
0.79 |
1.14 |
1.21 |
1.15 |
1.70 |
1.76 |
1.33 |
0.89 |
1.68 |
1.03 |
1.56 |
n |
6 |
6 |
6 |
6 |
6 |
6 |
6 |
6 |
6 |
6 |
6 |
6 |
6 |
6 |
6 |
Variance |
0.7569 |
0.88 |
0.83 |
2.7842 |
0.6241 |
1.3113 |
1.4756 |
1.3225 |
2.9000 |
3.1191 |
1.7788 |
0.7921 |
2.8383 |
1.0796 |
2.4343 |
F |
------- |
1.17 |
1.10 |
3.68 |
------ |
2.09 |
2.36 |
------ |
2.17 |
2.34 |
1.33 |
------ |
3.56 |
1.35 |
3.06 |
Student's T |
------- |
0.94 |
0.77 |
1.13 |
------ |
0.47 |
0.64 |
------ |
0.23 |
0.65 |
0.47 |
------ |
0.13 |
0.72 |
0.85 |
BP (a) is a potentiometric titrimetric method and BP (b)is a spectrophotometric method USP (c) is a direct titrimetric method, * Figures in parenthesis are the corresponding tabulated values at P=0.05.
Table 7: Results of ANOVA (single factor) for comparison of the proposed methods and the reported official methods for determination of LH, CD, DA, ad HQ in pharmaceutical dosage form
| Source of Variation | Sum of squares | Degree of freedom | Mean square | F | P-value | F crit | |
| LH | Between Groups | 2.035454 | 3 | 0.678485 | 0.297162 | 0.827003 | 3.098391 |
| Within Groups | 45.66438 | 20 | 2.283219 | ||||
| Total | 47.69983 | 23 | |||||
| CD | Between Groups | 3.31671 | 3 | 1.10557 | 0.840819 | 0.487482 | 3.098391 |
| Within Groups | 26.29744 | 20 | 1.314872 | ||||
| Total | 29.61415 | 23 | |||||
| DA | Between Groups | 0.368607 | 2 | 0.184304 | 0.161851 | 0.852033 | 3.68232 |
| Within Groups | 17.08084 | 15 | 1.138723 | ||||
| Total | 17.44945 | 17 | |||||
| HQ | Between Groups | 1.865775 | 3 | 0.621925 | 0.348385 | 0.790702 | 3.098391 |
| Within Groups | 35.70329 | 20 | 1.785165 | ||||
| Total | 37.56907 | 23 |
Table 8: Results from testing of the robustness of the method by changing the composition of the mobile phase. (The concentration of the solution analyzed was 25 µg/mL)
Mobile phase composition (acetonitrile–phosphate buffer) |
Flow rate |
Rt |
Resolution |
||||||||||
Original |
Used |
Level |
LH |
HQ |
CD |
DA |
LH |
HQ |
CD |
DA |
|||
65:35 |
60:40 |
-5 |
0.5 |
6.408 |
8.008 |
10.642 |
12.317 |
1.482 |
2.272 |
1.716 |
|||
1 |
2.842 |
4.250 |
4.733 |
6.658 |
3.420 |
0.874 |
4.530 |
||||||
1.5 |
1.459 |
2.800 |
3.125 |
4.125 |
---- |
----- |
---- |
||||||
65:35 |
0 |
1 |
2.358 |
3.508 |
5.833 |
7.150 |
4.662 |
6.655 |
2.284 |
||||
1.5 |
1.242 |
1.85 |
3.125 |
3.75 |
3.657 |
5.718 |
2.391 |
||||||
70:30 |
+5 |
1 |
2.825 |
4.150 |
5.575 |
5.917 |
3.134 |
----- |
----- |
||||
1.5 |
1.975 |
2.767 |
3.708 |
3.825 |
2.743 |
---- |
------ |
||||||
CONCLUSION
The advantages of HPTLC-densitometric method were that several samples could be run simultaneously using a small quantity of mobile phase unlike HPLC, thus lowering analysis time and cost per analysis and providing high sensitivity and selectivity.
The HPLC methods had a relatively short run time (<8 min) for the first method and (<8 min) for the second method that allowed quantifying a large number of samples in routine and quality control analysis. In the proposed method, there were no additional extraction or separation procedures to extract the drugs from the formulation excipient matrix thereby decreasing the error in quantitation. Moreover, the suggested HPLC methods were more sensitive and had a wider range of linearity than the proposed densitometry TLC method. Although there were recent spectrophotometric methods but in HPLC the mobile phase is easy to prepare. Since these methods are simple, specific, rapid, precise and accurate, they may be successfully and conveniently adopted for routine quality control analysis of cited drugs in bulk and pharmaceutical dosage forms.
According to the validation parameters, we concluded that the proposed methods were sensitive and selective, and could be used for routine analysis of the cited drugs and in its available dosage forms as well as quantitative determination of the degradation product and/or impurity hydroquinone in order to determine the extent of degradation or contamination with its precursor.
CONFLICT OF INTERESTS
Declared None.
REFERENCES