1P. G. & Research Department of Chemistry, The New College, Chennai 600014, Tamil Nadu, India, 2P. G. & Research Department of Chemistry, Jamal Mohamed College, Tiruchirappalli 620020, Tamil Nadu, India.
Email: alichem00@gmail.com
Received: 29 Nov 2013 Revised and Accepted: 01 Mar 2014
ABSTRACT
Objective: The present study is focused on the synthesis of novel Mannich bases and their metal complexes, and to characterize them by physical, chemical and biological methods. Mannich bases, 2-(piperazin-1-yl(thiophen-2-yl)methyl)hydrazinecarboxamide (PTMHC), 2-(piperazin-1-yl(thiophen-2-yl)methyl)hydrazinecarbothioamide (PTMHCT), and 2-((4-methylpiperazin-1-yl)(thiophen-2-yl)methyl)hydrazinecarboxamide (MPTMHC) and 2-((4-methylpiperazin-1-yl)(thiophen-2-yl)methyl)hydrazinecarbothioamide (MPTMHCT), were prepared by Mannich condensation method.
Methods: The compounds and complexes were prepared by known literature methods. Characterizations were carried out through physical methods such as elemental analyses, melting point and TLC. IR, 1H NMR, [13]C NMR and Mass spectral studies were carried out to characterize the ligands. The methods like EPR, magnetic susceptibility measurements, conductance measurements and thermal analysis were carried out for complexes besides the UV-Vis and IR spectral studies. Anti-cancer activity of synthesized ligands was performed using human lung and colon cancer cell lines.
Results: Eight compounds have been prepared and characterized. Four among the eight compounds were used as ligands for the preparation of metal complexes. The results of physical and chemical methods show all the complexes act as bidentate ligands. The coordination with the metal ion takes place through N, S and O atoms. The results of molar conductivity and magnetic susceptibility measurements reveal the electrolytic and non-electrolytic nature of the metal complexes. EPR and TG-DTA studies also support the other spectral data.
Conclusions: Copper (II) complexes of PTMHC, PTMHCT, MPTMHC, and MPTMHCT were prepared and their structures were determined. The anti-cancer activity of the synthesized ligands and their complexes was evaluated. The synthesized novel ligands of Mannich bases can serve as a potential anti-cancer agent.
Keywords: Mannich base metal complexes, Thiophene-2-carbaldehyde, Anticancer activity of metal complexes and ESR.
INTRODUCTION
Cancer is one of the most vulnerable diseases characterized by the uncontrolled, rapid and pathological proliferation of abnormal cells which ultimately leads to tissue invasiveness and is one of the most terrible afflictions in the world [1]. In recent years, many efforts have been taken by researchers to eradicate this disease, as a result of improvements in cellular and molecular biology leading to the development of potent anticancer agents that are capable of targeting the cancerous tissues with nominal side effects [2]. Even though these advancements along with the design of cancer chemotherapy have increased our understanding of cancer inheritance, it still remains as a complex disease and a cure for cancer is quite challenging to the scientific community [3].
Metal-based compounds attracted medicinal chemists very much because of their wide range of coordination numbers and geometries, accessible oxidation-reduction states, thermodynamic and kinetic characteristics, and the intrinsic properties of the cationic metal ion and ligand. Metal-based compounds were employed as anti-cancer agents after the discovery of the biological activity of cisplatin. Extensive studies have been made on the synthesis and characterization of metal complexes of Mannich bases in recent years due to its selectivity and sensitivity of ligands towards various metal ions [4–9]. Metal complexes of O, N donor ligands are found to possess interesting biological activities such as anti-cancer, anti-tubercular and anti-microbial. Metal-based compounds offer possibilities for the design of therapeutic agents that are not readily available to organic compounds. A commendable number of reports are available in the literature on the synthesis of Mannich bases using formaldehyde, amines (10/ 20) and substrates like phenol, heterocyclic compounds, alkyl ketones, alkynes and carboxylic acid derivatives. In the recent years, much work have been carried out using acyclic carboxamide as substrate for the synthesis of Mannich bases.[ 446,447] Raman et al., have reported the synthesis and characterization of transition metal (II) complexes of a Mannich base which was prepared by reacting benzaldehyde, morpholine and semicarbazide. Abdul Jameel et al., reported synthesis, characterization and anti-microbial studies of Mannich bases using semicarbazide as a substrate. Further, they reported the synthesis and characterization of metal complexes of the same[10-14]. From the literature, it has been revealed that Mannich bases derived from semicarbazide / thiosemicarbazide and their metal complexes possess potent anti-microbial activity against the selected microorganism. A probe into the literature clearly indicates that the Mannich bases of heterocyclic molecules and their metal complexes are found to posse’s anti-cancer activity besides other biological activities. In view of the biological significance of Mannich bases, an effort has been made to synthesize Mannich bases using semi / thiosemicarbazide as a substrate by reacting with thiophene 2-carbaldehyte and N – Methyl piperazine / piperazine according to the prescribed schemes. In the present study, the compounds thus obtained by the above reactions were used as ligands for the preparation of Cu(II) complexes.
The structures of both the compounds and complexes were characterized by analytical and spectral methods. Further, they were screened for anti-cancer activity against human lung cancer (A 549), Colon cancer (HCT 15) and normal (VERO) cells.
MATERIALS AND METHODS
Reactants
Analytical grade solvents and reactants were used. Thiosemicarbazide, N- Methyl piperazine, piperazine and thiophene-2-carbaldehyde were purchased from Merck Products.
Measurements
Elemental analyses and characterization studies were carried out at Sophisticated Analytical Instrument Facility (SAIF), Indian Institute of Technology, Government of India, Chennai. Melting points were measured on electric melting point apparatus SMP1. 1H NMR spectra were recorded on 300 MHz Shimadzu spectrometer using DMSO-d6 with TMS as the internal standard. The homogeneity of the compounds was monitored by Thin Layer Chromatography (TLC) Silica-G coated glass plate and visualized by iodine vapour. The absorption in the UV-Vis region was recorded for the compounds by a Perkin Elmer Lambda 35 spectrophotometer using DMF/DMSO as solvents. The IR spectra was recorded with a Bruker FTIR Vector 22 spectrometer between 4400 and 400 cm-1 (KBr disks).
The molar conductance of solid complexes in DMF was measured using conductometer. The magnetic susceptibilities of the solid complexes were recorded on Magnetic Susceptibility Balance. Thermogravimetric analyses were carried out in a nitrogen atmosphere with a heating rate of 25oC min-1 using a Shimadzu TGA-50H.Electrochemical measurements were carried out using electrochemical Analyzer model BAS-50 voltammograph. The three-electrode cell contained a reference Ag/ AgCl electrode, Pt wire auxiliary electrode and glassy carbon working electrode. ESR spectra of the copper complex were recorded on a Varian E112 X- band spectrometer at the Regional Sophisticated Instrumentation Centre, Indian Institute of Technology, Chennai using tetracyanoethylene (TCNE) as the internal standard. Anti-cancer and cytotoxic studies were carried out at Royal Bio Research Centre, Chennai.

Scheme 1: Synthesis of compounds (A and B)

Scheme 2: Synthesis of compounds (B and C)
Experimental
Synthesis of mannich base
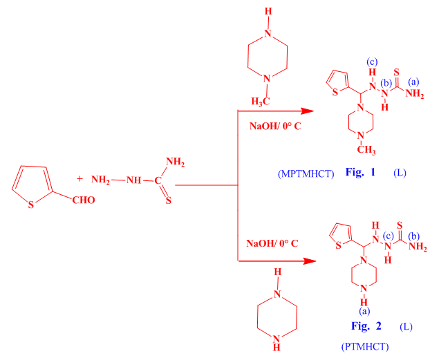
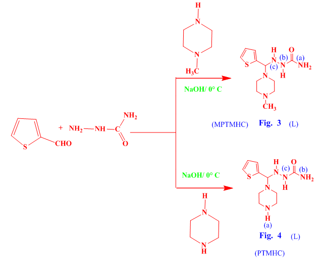
2-((4-methylpiperazin-1-yl)(thiophen-2-yl)methyl)hydrazinecarboxamide (MPTMHC) was prepared by reacting semicarbazide hydrochloride (0.05 mol), N- Methyl piperazine (0.05 mol) and thiophene-2-carbaldehyde (0.05 mol) in 1:1:1 mol ratio. To the methanolic solution of semicarbazide hydrochloride, N- Methyl piperazine was added slowly followed by liq. NH3. This reaction mixture was stirred well using magnetic stirrer. After a few minutes, thiophene-2- carbaldehyde was added drop by drop to the reaction mixture. Then the reaction mixture was allowed to stand at 5oC for 5 h. The colorless solid thus obtained was washed with water several times and finally with the 1:1 mixture (V / V) of acetone and petroleum ether. Later, it was filtered and dried in vacuum. The same procedure was employed for the synthesis of the rest of the compounds. [10-17].
Preparation of complexes
To a methanolic solution of ligand (L1-L4) (Fig. 1 – 4), Cu(II) chloride was dissolved in mixture of CHCl3 and CH3OH (1:2) V /V was added. The resulting mixture was stirred well by keeping on a magnetic stirrer for 2 h, during which solid separated out was collected by filtration, washed with methanol followed by diethyl ether and dried in vacuum. (Fig. 5, 6,7 and 8)

Fig. 1: Cytotoxic study of normal cell line (VERO) and cancer cell line(A549) of compound (a) and (c).

Fig. 2: Anticancer activity of normal cell line (VERO) and cancer cell line (HCT15) of compound (a) and (c).
Anticancer (cytotoxic) evaluation
The anticancer activity of the synthesized ligands MPTMHCT, MPTMHC and their metal complexes were determined against human lung cancer (A549) cell and colon cancer (HCT15) cell lines. The cancer cell lines were obtained from the National Centre for cell sciences (NCCS), Pune. The cell line was cultured in minimum essential media fetal bovine serum supplemented with 10 % heat inactivated fetal bovine serum (FBS), penicillin (100 µg/mL) and streptomycin (100 µg/mL) in a humidified atmosphere of 50 µg/mL CO2 at 37 oC. The experiment was carried out at Royal Bio Research Centre. Anticancer activity of synthesized ligands at various concentrations was assessed using the trypsin, methylthiazol, diphenyl- tetrazolium bromide (MTT) (Sigma) assay, as described by Mosmann, but with minor modification, following 72 h of incubation. Assay plates were assessed using spectrophotometer at 520 nm. Data generated were used to plot a dose–response curve, from which the concentration of test compounds required to kill 50% of the cell population (IC50) were determined.[18-22] The effect of the samples on the proliferation of A549, HCT15 & VERO cells was expressed as the % cell viability, using the following formula:
Fig. 3: [Bis (2-((4-methylpiperazin-1-yl)(thiophene-2-yl) methyl) hydrazine carbothioamide) dichloro copper (II) .]
Fig. 4: [Bis (2-((piperazin-1-yl)(thiophene-2-yl)methyl)hydrazinecarbothioamide) dichloro copper (II) .]
Fig. 5: [Diaqua Bis(2-((4-methylpiperazin-1-yl)(thiophene-2-yl)methyl)hydrazinecarboxamide) copper (II) .]
Fig. 6: [Diaqua Bis(2-((piperazin-1-yl)(thiophene-2-yl)methyl) hydrazinecarboxamide)copper (II) .] (H)
Calculation

RESULTS AND DISCUSSION
Characterization
Physicochemical characterization of the synthesized compounds was done by the analytical methods such as melting point, TLC, elemental analysis, and spectral methods such as UV – Visible, IR, 1H NMR, [13]C NMR and Mass. For the complexes molar conductivity, elemental analysis and magnetic susceptibility studies were also carried out besides UV-Vis, IR, ESR, Mass Spectra and TG-DTA studies to determine the structures.
1H NMR spectra
Unfortunately, the insolubility of Cu(II) complexes in CDCl3, CD3COCD3 or DMSO-d6 makes it difficult to carry out 1H NMR spectra of the complexes to further clarify the way of binding of HL ligand to the metal ions.
2-((4-methylpiperazin-1-yl)(thiophen-2-yl)methyl)hydrazinecarbothioamide (MPTMHCT) (L) (Fig. 1) A
IR (KBr, cm-1) 3411(NaH2), 3150 (NcH), 1595(NbH), 1084(-C=S), 1142(C-N-C). 1H NMR (300 MHz, DMSO-d6, δ ppm) 7.53 (d, H, NH(C=S)), 7.47 (q, H,NH(CH)), 7.15 (m, 3H, thiophene), 4.17 (s, 1H, CH), 2.52 (m, 8H, piperazine), 2.23(s, 1H, N-CH3), 2.00(s, 1H, NH2). [13]C NMR (300 MHz, DMSO-d6, δ ppm) 170.14(-C=S, thiosemicarbazide), 150.07 (C-S, thiophene), 139.23-114.24 (Ar-CH), 40.49(CH(NH)), 40.32-34.19 (Aliphatic - CH), 40.15 (N-H). The mass spectrum of the compound (L) exhibits a molecular ion peak[M] at m/Z 285 which is equivalent to its molecular weight. The fragmentation peaks at m/z 252, 235, 219, 185, 99, 83, 73 indicate the cleavage of C11H21N5S, C11H20N4S, C11H19N3S, C6H9N3S2, C5H12N2, C4H4S and CH4N2S fragments respectively. Base peak appears at m/z 109.
2-(piperazin-1-yl(thiophen-2-yl)methyl)hydrazinecarbothioamide (PTMHCT)(L)(Fig. 2) B
IR (KBr, cm-1) 3424(NaH2), 3355(NcH), 1606(NbH), 1077(-C=S), 1156(C-N-C). 1H NMR (300 MHz, DMSO-d6, δ ppm) 7.6 (d, H, NH(C=S)), 7.53-7.52 (q, H,NH(CH)), 7.25-7.23 (m, 3H, thiophene), 4.31 (s, 1H, CH), 2.50 (m, 8H, piperazine), 2.0(s, 1H, N-H), 1.90(s, 1H, NH2). [13]C NMR (300 MHz, DMSO-d6, δ ppm) 169.82(-C=S, thiosemicarbazide), 150.17 (C-S, thiophene), 137.32-114.04 (Ar-CH), 40.48(CH(NH)), 40.31-34.54 (Aliphatic - CH), 40.14 (N-H). The mass spectrum of the compound (L) exhibits a molecular ion peak[M] at m/Z 271 which is equivalent to its molecular weight. The fragmentation peaks at m/z 243, 202, 184, 96, 90, 85 indicate the cleavage of C10H19N5S, C7H17N5S, C9H14N2S, C5H6S, CH5N3S, and C4H10N2 fragments respectively. Base peak exhibits at m/z 110.
2-((4-methylpiperazin-1-yl)(thiophen-2-yl)methyl)hydrazinecarboxamide (MPTMHC) (L) (Fig. 3) C
IR (KBr, cm-1) 3655(OH), 3156(NaH2), 2924(NbH), 1600(-C=N),1249(C-O),1179(C-N-C). 1H NMR (300 MHz, DMSO-d6, δ ppm) 7.88 (s, 2H, NH2), 7.45-7.44 (m, 3H,thiophene), 7.13-7.11 (d, H, NH(C=O)), 4.15 (s, H, CH(NH), 3.90 (s, 3H, CH3 (piperazine)), 2.51-2.50 (m, 8H, piperazine), 1.92(s, H, NH(CH)). [13]C NMR (300 MHz, DMSO-d6, δ ppm) 150(N=C-OH, semicarbazide), 132.26 (C-S, thiophene), 121.89-114.97 (Ar-CH), 56.15(CH(NH)), 40.49-21.50(Aliphatic - CH), 40.49 (N-CH3). The mass spectrum of the compound (L) exhibits a molecular ion peak[M] at m/Z 269 which is equivalent to its molecular weight. The fragmentation peaks at m/z 234, 202, 186, 148, 114, 90, 82 indicate the cleavage of C10H18N4S, C9H16N3S, C7H17N5O, C6H16N4, C6H14N2, C5H3S and C4H4S fragments respectively. Base peak occurs at m/z 90.
2-(piperazin-1-yl(thiophen-2-yl)methyl)hydrazinecarboxamide (PTMHC) (L) (Fig. 4) D
IR (KBr, cm-1) 3800(OH), 3245(NaH2), 3153(NbH), 1599(-C=N),1206(C-O),1156(C-N-C). 1H NMR (300 MHz, DMSO-d6, δ ppm) 9.95(s, 1H, N=C-OH), 7.85(s, 2H, NH2), 7.13(m, 3H, Thiophene), 4.18(s, 1H,CH), 2.56 (m, 8H, piperazine), 2.40 (d, 1H, N-H(CH)), 1.92(s,1H, NH of piperazine). [13]C NMR (300 MHz, DMSO-d6, δ ppm) 150.02(N=C-OH, semicarbazide), 139.75 (C-S, thiophene), 130.75-121.89 (Ar-CH), 56.15(CH(NH)), 40.50-21.50(Aliphatic - CH), 40.50 (N-H). The mass spectrum of the compound (L) exhibits a molecular ion peak [M] at m/Z 271 which is equivalent to its molecular weight. The fragmentation peaks at m/z 218, 194, 184, 177, 168, 131, 114, 84 indicate the cleavage of C9H16N4S, C9H15N3S, C9H14N2S, C7H16N4O, C6H9N3OS, C5H14N4, C5H13N3 and C4H10N2 fragments respectively. Base peak lies at m/z 110.
Bis [2-((4-methylpiperazin-1-yl)(thiophene-2-yl)methyl) hydrazinecarbothioamide copper (II) chloride] (Fig. 5)
IR (KBr, cm-1) 3400(NaH2), 3134 (NcH), 1610(NbH), 1068(-C=S), 1142(C-N-C). 1H NMR (300 MHz, DMSO-d6, δ ppm) 7.53 (d, H, NH(C=S)), 7.47 (q, H,NH(CH)), 7.15 (m, 3H, thiophene), 4.17 (s, 1H, CH), 2.52 (m, 8H, piperazine), 2.23(s, 1H, N-CH3), 2.00(s, 1H, NH2). [13]C NMR (300 MHz, DMSO-d6, δ ppm) 170.14(-C=S, thiosemicarbazide), 150.07 (C-S, thiophene), 139.23-114.24 (Ar-CH), 40.49(CH(NH)), 40.32-34.19 (Aliphatic - CH), 40.15 (N-H). The mass spectrum of the compound [CuL2Cl2] exhibits a molecular ion peak [M] at m/Z 701 which is equivalent to its molecular weight.




ESR Spectra
The ESR spectra of the complexes was recorded in the solid state at room temperature. The giso, gII and g┴ values are presented in table 1. From the observed g values, it is clear that the unpaired electron lies predominantly in the dx2-y2. According to the studies of Nieman, the gII value complexes greater than 2.3 are usually ionic in nature and less than 2.3 are covalent in nature. In the present study, the g values of all the complexes are found to be less than 2.3 indicating the covalent nature of the complexes.
Thermal Analysis
The nature of thermal stability and the molecules that are desorbed or buried in the complexes with respect to temperature was studied by TGA and compared with the literature and are presented in (Fig. 5). The complex [CuL2Cl2] was heated in the nitrogen atmosphere with a heating rate of 25oC min-1. The following thermogram shows three stages. The first mass change 9.30 % at 57-146.6oC indicates the loss of moisture. The second stage between 146.6 - 413.3oC with the mass change of 34.63 corresponds to the loss of ligand chloride. Further, decomposition of other ligand moieties takes place at 413.3oC and remains stable upto1400oC.
Table 1: Solid State EPR spectral parameters of the Cu(II) complexes of Ligands (PTMHC, PTMHCT, MPTMHC, and MPTMHCT)
| S. No. | Compound/Complex | gII | g┴ | gaverage/ giso |
| 1. | C22H36Cl2CuN10S4 | 2.18 | 2.04 | 2.13 |
| 2. | C20H32Cl2CuN10S4 | 2.20 | 2.10 | 2.16 |
| 3. | C22H40CuN10O4S2 | 2.09 | 2.13 | 2.10 |
| 4. | C20H36CuN10 O4S2 | 2.21 | 2.09 | 2.17 |
The complex [CuL2(OH)2] (Fig. 7) was heated in nitrogen atmosphere with a heating rate of 25oC min-1. The thermogram shows three different regions. The first weight loss 29.78 % at 180-300oC indicates the loss of two water molecules. This is further supported by the color change due to the change of co-ordinated from 6 to 4. The region between 180 - 350oC and 780-1063oC corresponds to the loss of coordinated organic moieties. The third region starts at 1060oC and stays stable up to 1400oC and the weight loss found to be about 72.77% for this step. The residue of metal atom remains behind because under nitrogen atmosphere no metal oxide will be formed.
Metal complexes
The physiochemical parameters are shown in Table 2 and Table 3. The elemental analyses show 1:2 (metal: ligand) stoichiometry for all complexes. The analytical data of the ligands and their complexes are in good agreement with the proposed structures. The low molar conductance values of the complexes of [CuL2Cl2] (Fig.5) and [CuL2Cl2] (Fig.6) support the non-electrolytic nature and high conductance values of the complexes of [CuL2(OH)2] (Fig.7) and [CuL2(OH)2] (Fig. 8) favour the electrolytic nature.

TGA and DTA curve of [CuL2(OH)2] Complex
IR spectra and mode of bonding
The important characteristics stretching frequencies of the ligands and their complexes are compared and the values are tabulated in Table 4 and Table 5. From the table it has been clearly reveals that the MPTMHCT and PTMHCT behave as neutral bidentate ligands and MPTMHC and PTMHC behave as monobasic bidentate ligands. For the complexes [CuL2Cl2] (Fig.5) and [CuL2Cl2] (Fig.6), the IR absorption bands of ν(NcH) and ν(C=S) of the ligands have been shifted to lower frequencies by 10-20 cm-1 and ν(NbH) has been shifted to higher frequency.

TGA and DTA curve of [CuL2Cl2] Complex
These changes indicate the participation of sulphur atom of C=S and nitrogen atom of -NcH in coordination with the metal ion. There have been no changes observed in other characteristics absorption bands such as νC-N-C and νC-S-C. These rules out the involvement of nitrogen atom of piperazine ring and sulphur atom of thiophene ring. In the case of [CuL2(OH)2] (Fig.7) and [CuL2(OH)2] (Fig. 8) complexes, the IR absorption bands due to ν(OH) of the free ligand is found absent in the complexes. ν(C=O) modes of the free ligands are not observed which indicate the enolisation of C=O followed by deprotonation and complexation with metal ions. The bands due to ν(NbH) and ν(C-O) are found shifted to lower frequencies by15 to 30 cm-1 in the spectra of the complexes and another band due to ν(C=N) is slightly shifted to higher frequency in the spectra of the complexes. These changes indicate the participation of oxygen atom of OH after deprotonation and nitrogen atom of NcH in coordination with the metal ion. This is further confirmed by the presence of new bands at 545, 548 cm-1 and 454, 452, 458, 449 cm-1 which are assigned to ν (M-O) and ν (M-N) respectively [10-11]. The band at 345 cm-1 is assigned to (M-S) which confirms the coordination of sulphur with the metal ion.
Table 2: Mass spectral data, Elemental (C, H, N, S, O) Analytical data and % yield of compounds.
| S. No. | M. F | M. W | M. P 0C |
Yield (%) | Elemental analysis, [ Found % (Calcd. %)] | ||||||
| C | H | N | O | S | Cu | Cl | |||||
| 1. | C11H19N5S2 | 285.3 | 195 | 98 | 45.89(46.29) | 6.02(6.71) | 23.67(24.54) | --- | 22.46(22.47) | --- | --- |
| 2. | C10H17N5S2 | 271.4 | 190 | 95 | 42.87(44.0) | 5.46(6.31) | 23.98(25.80) | --- | 23.16(23.63) | --- | --- |
| 3. | C11H19N5OS | 269.2 | 185 | 92 | 41.09(49.05) | 7.11(7.12) | 26.0(27.23) | 5.94(6.00) | 11.90(12.23) | --- | --- |
| 4. | C10H17N5OS | 271 | 188 | 92 | 44.0(47.04) | 6.31(6.71) | 25.80(27.43) | 5.56(6.00) | 10.63(12.56) | --- | --- |
| 5. | C22H36Cl2CuN10S4 | 701 | 298 | 92 | 29.78(37.57) | 4.0(5.16) | 17.15(19.92) | --- | 13.28(18.24) | 8.0 | 20.0 |
| 6. | C20H32Cl2CuN10S4 | 673.0 | 284 | 83 | 30.78(35.57) | 4.0(4.78) | 16.19(20.74) | --- | 14.24(18.99) | 8.0 | 10.0 |
| 7. | C22H40CuN10O4S2 | 635.2 | 265 | 82 | 33.78(41.53) | 5.1(6.34) | 17.00(22.01) | 8.19(10.6) | 9.24(10.08) | 9.0 | --- |
| 8. | C20H36CuN10O4S2 | 607.1 | 265 | 77 | 32.53(39.49) | 4.19(5.97) | 15.22(23.03) | 8.33(10.5) | 8.18(10.54) | 9.0 | --- |
Table 3: Molar conductance and magnetic susceptibility data of the complexes
| S. No. | Compound/Complex | Colour | ʎ(mho cm2 mol-1) | µeff.(BM) |
| 1. | C22H36Cl2CuN10S4 | Green | 16.0 | 1.54 |
| 2. | C20H32Cl2CuN10S4 | Green | 15.0 | 1.48 |
| 3. | C22H40CuN10O4S2 | Green | 20.0 | 1.68 |
| 4. | C20H36CuN10 O4S2 | Green | 18.0 | 1.65 |
Table 4: IR Spectral data of Ligands (L) and their metal complexes([CuL2Cl2] and [CuL2Cl2])
| S. No. | Compound | ν(NaH2) | ν(NbH) | ν(NcH) | ν(C=S) | ν(M-N) | ν(M-S) |
| 1. | L1 (Fig. 1) | 3411 | 1595 | 3150 | 1084 | ---- | ----- |
| 2. | [CuL2Cl2] | 3400 | 1610 | 3134 | 1068 | 454 | 345 |
| 3. | L2 (Fig. 2) | 3424 | 1606 | 3355 | 1077 | ----- | ----- |
| 4. | [CuL2Cl2] | 3410 | 1616 | 3342 | 1058 | 452 | 345 |
Table 5: IR Spectral bands of Ligands (L) and their metal complexes([CuL2(OH)2] and [CuL2(OH)2]).
| S. No. | Compound | ν(OH) | ν(NaH2) | ν(Nb-H) | ν(C=N) | ν(C-O) | ν(M-N) | ν(M-O) |
| 1. | L3 (Fig. 3) | 3655 | 3156 | 2924 | 1600 | 1249 | ---- | ---- |
| 2. | [CuL2(OH)2] | 3301 | 3155 | 2908 | 1620 | 1232 | 458 | 545 |
| 3. | L4 (Fig. 4) | 3800 | 3245 | 3153 | 1599 | 1206 | ---- | ---- |
| 4. | [CuL2(OH)2] | 3678 | 3240 | 3140 | 1608 | 1991 | 449 | 548 |
Table 6: UV Spectral data of metal complexes ([CuL2Cl2], [CuL2Cl2]) and ([CuL2(OH)2], [CuL2(OH)2]).
| S. No. | Compound/Complex | Observed nm (cm-1) | Transitions |
| 1. | [CuL2Cl2] | 604.50 (16556) | 2Eg → 2T2g |
| 2. | [CuL2]Cl2] | 373.94 (26742) | 2T2g → 2Eg |
| 3. | [CuL2(OH2)] | 415, 447 (24096, 22324) | 2B1g → 2A1g, 2B1g → 2Eg |
| 4. | [CuL2(OH)2] | 420, 425 (23809, 23504) | 2B1g → 2A1g, 2B1g → 2Eg |
Table 7: Cytotoxic study of normal cell line (VERO) and Lung cancer cell line(A549) of compound (a) and (c).
| S. No. | Concentration µg/ml | VERO CELL LINE | A549 -Compound (a) | A549 -Compound (c) |
| 1 | 1000 | 55.5 | 12.8 | 12.3 |
| 2 | 500 | 60.3 | 21.5 | 21.8 |
| 3 | 250 | 67.1 | 27.8 | 27.2 |
| 4 | 125 | 71.6 | 45.0 | 44.9 |
| 5 | 62.5 | 78.2 | 49.5 | 49.1 |
| 6 | 31.2 | 89.3 | 64.2 | 63.1 |
| 7 | 15.6 | 93.5 | 83.1 | 82.2 |
| 8 | 7.8 | 98.4 | 92.3 | 91.3 |
| 9 | Control | 100 | 100.0 | 100.0 |
Table 8: Anticancer activity of normal cell line(VERO) and Colon cancer cell line (HCT15) of compound (a) and (c).
| S. No. | Concentration µg/ml | VERO CELL LINE | HCT15 -Compound (a) | HCT15 -Compound (c) |
| 1 | 1000 | 55.5 | 12.5 | 11.0 |
| 2 | 500 | 60.3 | 18.5 | 16.2 |
| 3 | 250 | 67.1 | 25.6 | 24.3 |
| 4 | 125 | 71.6 | 43.5 | 42.5 |
| 5 | 62.5 | 78.2 | 48.1 | 47.0 |
| 6 | 31.2 | 89.3 | 62.1 | 61.1 |
| 7 | 15.6 | 93.5 | 80.5 | 78.2 |
| 8 | 7.8 | 98.4 | 90.3 | 88.8 |
| 9 | Control | 100 | 100.0 | 100.0 |
UV-Vis spectroscopy
Electronic spectra of complexes were recorded in DMSO solution. For[CuL2Cl2](Fig. 5) complex, an absorption band exhibited at 16656 cm-1 is assigned to 2Eg →2T2g transition. This corresponds to octahedral geometry of the complex. The absorption band exhibited at 26742 cm-1 for [CuL2Cl2](Fig. 6) complex is assigned to 2T2g →2Eg transition, favouring octahedral geometry. [CuL2(OH)2] (Fig. 7) complex shows two absorption bands at 24096 cm-1and 22324 cm-1. These absorptions are assigned to 2B1g →2A1g and 2B1g →2Eg transitions respectively, suggesting octahedral geometry. In the case of [CuL2(OH)2] (Fig. 8) complex, two absorption bands are exhibited, one at 23809 cm-1 and another at 23504 cm-1 whichare assigned to 2B1g →2A1g and 2B1g →2Eg respectively. These transitions favour octahedral geometry (Table 6).
Anticancer activity
The invitro anti-cancer activity of the synthesized compounds MPTMHCT, MPTMHC was studied against human lung cancer (A549), colon cancer (HCT15) and VERO cell lines. The results of the study are presented in Table 7 and 8 and their studies are shown in Fig. 1 and 2. In the present study, the normal cell line (VERO) shows 55.5% of cell viability, 12.8 % of cell viability for human lung cancer cell A(549) and 12.5% of cell viability for colon cancer cell (HCT15) for the compound MPTMHCT at a concentration of 1000 µg/mL, 55% of cell viability for VERO cell, 12.3% for A549 and 11.0% for HCT15 at a concentration of 1000 µg/mL were observed for the compound MPTMHC.
CONCLUSION
Mannich bases such as MPTMHCT, PTMHCT, MPTMHC and PTMHC were prepared. The results of physical and chemical methods reveal that the complexes act as bidentate ligands. From the IR and UV-Visible studies, Octahedral geometries have been proposed for Cu(II) complexes of MPTMHCT, PTMHCT, MPTMHC and PTMHC. The coordination with the metal ion takes place through N, S and O atoms. The results of molar conductivity and magnetic susceptibility measurements reveal the electrolytic and non-electrolytic nature of the metal complexes. EPR and TG-DTA studies also support the other spectral data. Invitro anti-cancer study shows that both MPTMHCT and MPTMHC have moderate activity against the selected cell lines.
CONFLICT OF INTERESTS
Declared None
ACKNOWLEDGEMENT
The authors would like to express their gratitude to the Head, Department of Chemistry, Principal and Management Committee of Jamal Mohamed College, Trichy for providing necessary facilities.
REFERENCES