School of Pharmacy, Bandung Institute of Technology, Ganesha 10 Bandung, Indonesian.
Email: rachmat@fa.itb.ac.id
Received: 18 Jul 2014 Revised and Accepted: 23 Aug 2014
ABSTRACT
Objective: Ascorbyl palmitate (AP) is an effective free radical-scavenging antioxidant which promotes skin health and vitality. Besides that, AP helps to enhance the synthesis of collagen. Moreover, AP helps to reduced UVB that can induce erythema (sunburn). However, AP relatively unstable and tend to undergo oxidation and sensitive to light. According to literature study, solid lipid nanoparticle (SLN) and nanostructured lipid carrier (NLC) was used to protect AP against chemical degradation, but it was found that AP still had degraded and those preparations could not protect against chemical degradation. As an alternative, oil-in water microemulsion was formulated in order to find suitable formulation that can protect AP from chemical degradation.
Methods: The physicochemical properties of microemulsion were characterized and the antioxidant activity of AP was also determined. Component of microemulsion formula consists of AP, tween 80 as surfactant, propylene glycol and ethanol as cosurfactant, capric/caprylic triglyceride as oil phase and water. Optimization of AP, oil phase concentration and ratio of mixture of surfactant and co-surfactant were conducted. The physical stability evaluation includes organoleptic, pH and viscosity, globule size, freeze-thaw test and centrifugation determination. For chemical stability studies, remaining concentration of AP was determined using High Performance Liquid Chromatography (HPLC). Besides that, antioxidant activity of AP was determined by measuring the decreased intensity of purple colour DPPH using UV spectrophotometry.
Results: There is no significant change in terms of organoleptic of AP o/w microemulsion for all formulation. In terms of physical stability, AP o/w microemulsion was found to remain stable up to 30 days in the real time. Based on pH determination results, AP tend to become acidic after when stored at room temperature after 60 days. Resulted microemulsions showed a good physical stability after freeze-thaw test and centrifugation test. The globule size of microemulsion especially formulation C9 remained stable up to 60 days when stored at room temperature and after 6th cycle of freeze-thaw test. Although AP was formulated in microemulsion, but the effectiveness of 1% of AP loaded o/w microemulsion as an antioxidant was comparable to 1% solution of AP in methanol. The antioxidant activity of AP increased with increasing concentration. According to chemical stability test data, AP microemulsion undergoes major degradation when stored at temperature 25oC and 40oC. Meanwhile, it was seen that AP more stable when stored at temperature 4oC. The product of AP when undergoes oxidation degradation are dehydroascorbic acid and 2, 3-diketo-gluconic acid.
Conclusion: Hence, oil in water microemulsion could be generated with good physical stability and remain stable for 30 days in real time. However, microemulsion as a carrier was insufficient to chemically protect AP against chemical degradation.
Keywords: Ascorbyl palmitate, Microemulsion, Antioxidant, Physical, Chemical stability.
INTRODUCTION
Ascorbyl palmitate also known as vitamin C palmitate, L-ascorbyl-6-palmitate and 3-oxo-L-gulofuranolactone 6-palmitate has an empirical formula of C22H38O7 and molecular weight of 414.54. Ascorbyl palmitate is a synthetic ester comprised of 16-carbon chain saturated fatty acid palmitic acid and L-ascorbic acid. The ester linkage is at the 6 carbon of ascorbic acid.
Ascorbyl palmitate appears as white to yellowish powder having a slight odour. It is very slightly soluble in water and in vegetable oils. It has good solubility in ethanol. Ascorbic acid comprises 42.5% of the weight of ascorbyl palmitate. This compound has melting range of 107oC-117oC. Ascorbyl palmitate is stable in the dry state, but is gradually oxidized and becomes discoloured when expose to light and high humidity. In an unopened container, stored in a cool place, it has a shelf life of at least 12 months [1].

Fig. 1: Chemical structure of Ascorbyl palmitate adapted from USP
The use of L-ascorbic acid (vitamin C) for topical application due to its antioxidant activity is not a new concept. It has been used in pharmaceutical and cosmetic preparations on the basis of its many favourable effects on the skin for a long time.
However, applied ascorbic acid is extremely reactive and therefore unstable in dispersions due to the fast oxidation and further irreversible chemical transformation. Therefore, the use of less reactive derivatives like lipophilic ascorbyl esters is an attempt to prolong their stability. Moreover, ascorbyl palmitate (AP) due to its amphiphilic character is able to penetrate the skin better and has better stability than ascorbic acid. However, it is still not adequate. The main problem of AP is, its oxidation mediated by transition metal ions presented in traces. Besides oxygen, light can also accelerate oxidative degradation of ascorbyl palmitate.
Enhancement of chemical stability of AP into solid lipid nanoparticles and nanostructured lipid carriers has been investigated by M. Ǖner and Veerawat [2, 3]. According to previous research of solid lipid nanoparticles (SLN) and nanostructured lipid carriers (NLC), were insufficient to protect AP against chemical degradation with total remaining of AP in SLN after 90 days of storage at 40oC was 48.2 %. Moreover, it was found that the percentage of AP remaining in NLC after 30 days of storage at room temperature 25oC was 46% [2, 3]. Besides oxidation, it is well known that stability of AP is influenced also by structural properties of the formulation. Even though the colloidal carriers such as solid lipid nanoparticles and nanostructured lipid carriers have been investigated, however, the long-term stability of AP in such colloidal carriers was still not adequate. Microemulsion is nevertheless of special interest because of their high solubilisation capacity and thermodynamic stability and the simple technology of preparation. Since particle size of microemulsion is in the range of nanometer similar to nanoparticles, therefore microemulsion could give some advantages such as chemical stability improvement. Previous studies mention that nanoparticles such as hesperidin nanocrystals provided excellent stability of substances [4]. Additionally, Date confirmed that encapsulation of the drugs in the microemulsion structures can improve the chemical, photochemical, and enzymatic stability of therapeutic agents [5]. The aim of this study was not only to develop an alternative formulation namely o/w microemulsion dosage form to find appropriate preparation against chemical degradation but also physicochemical properties of the microemulsion were characterized.
MATERIALS AND METHODS
Materials
Ascorbyl palmitate (Sigma-Aldrich), Caprylic/Capric Triglyceride (MCT), Tween 80, propylene glycol, distilled water, ethanol, methanol, phosphate buffer, acetonitrile, aquabidest and 2, 2-diphenyl-1-picrylhydrazyl (DPPH) (Sigma-Aldrich).
Instruments
Particle size analyser (Beckman Coulter Delsa nano particle size analyzer), Brookfield DV-I + Viscometer, Beckman pH meter, High performance liquid chromatography –Waters HPLC 2487 Dual Absorbance detector, vortex, hotpack climatic chamber, refrigerator, oven, centrifugation machine, ultraviolet-visible spectrophotometer, sonicator and other glass apparatus that commonly used in pharmaceutical laboratory.
Method of preparation of ascorbyl palmitate microemulsion
a) Optimization of oil concentration
Tween 80, propylene glycol and ethanol as water phase was filled into beaker I and 5%-10% of Caprylic/Capric Triglyceride as oil phase was being filled in beaker II. The mixture of surfactant and cosurfactant was poured into beaker II. The stirring of microemulsion was done manually using hand. While stirring, water was added little by little until a clear microemulsion is obtained.
b) Optimization of surfactant and cosurfactant concentration
40% - 50% mixture of tween 80, propylene glycol and ethanol as water phase was filled into beaker I and 5 % of Caprylic/Capric Triglyceride as oil phase was being filled in beaker II. The stirring of microemulsion was done manually using hand. While stirring, water was added little by little until a clear microemulsion is obtained.
c) Optimization of AP concentration
The formulations were prepared by mixing appropriate amount of surfactant and cosurfactant and then 5 % of oil phase was added. The formulation was mix until completely dispersion occurs at room temperature. Then appropriate amount of ascorbyl palmitate powder 1%, 2% and 3% was added into the formulation. Sonication of this formulation was done for 30 minutes. After sonication, while stirring, water was added little by little until a clear microemulsion is obtained.
Evaluation of microemulsion
The microemulsion were evaluated through several parameters in physical stability such as organoleptic determination, centrifugation test, Freeze-Thaw test, determination of pH, viscosity and globule size determination. Chemical stability determination of AP o/w microemulsion was done using Hotpack climatic chamber 40oC 75 % RH for 3 months. Antioxidant activity of AP o/w microemulsion was determined by DPPH Free Radical Scavenging Assay.
Organoleptic observation
Visually test includes the observation of changes in colour, odour, homogeneity and clarity of the microemulsion at room temperature for 90 days. In addition pH and Viscosity was also evaluated to observe physical stability.
The viscosity of microemulsion was determined at room temperature using adequate amount of the sample. at 1st day, 7th day, 14th day, 21st day, 30th day, 60th day and 90th day after preparation. Brookfield DV-I + Viscometer and spindle No 21 and No 28 was used to determine the viscosity of various formulation.
Stability evaluation by centrifuge determination
The purpose of this evaluation was to determine the influence of gravity towards the stability of microemulsion prepared. About 3 ml of sample was inserted into a centrifuge tube and centrifuged at speed of 3500 rpm for 5 hours. At each interval of 1 hour, observation of the sample was done to ensure no separation of phase occurred.
Freeze-Thaw Tests
Freeze-thaw test was examined for microemulsions containing 1%, 2% and 3% of AP. One sample from each formulation was submitted to a total of six cycles. Each cycle consist of 48 hours storage at 4oC and 48 hours at 40oC. At the end of each cycle, the globule size of each formula was measured. The purpose of this evaluation was to determine whether the formulation will remain stable under varied conditions that it might experience during the shipping and storage phases of the product life cycle [6].
Physical stability
Determination of globule size was done for microemulsion containing 1%, 2% and 3% of AP using Beckman Coulter Delsa Nano Particle Size Analyser. Prior to the globule size measurement, various microemulsion formulations were diluted with distilled water. The globule size was measured on the 1st day, 7th day, 14th day, 21st day, 30th day, 60th day and 90th day after preparation (7).
DPPH free radical scavenging assay
The DPPH free radical method is based on the determination of the concentration of 2, 2-diphenyl-1-picrylhydrazyl (DPPH) at steady state in a methanol solution, after adding the antioxidants. In DPPH test, the antioxidants were able to reduce the stable radical DPPH to the yellow-coloured diphenylpicrylhydrazine (8). DPPH absorbs at 517 nm, and as its concentration is reduced by the existence of an antioxidant, the absorption gradually disappears with time. Based on this principle, the antioxidant activity of a substance can be expressed as its ability in scavenging the DPPH free radical (9). The percentage of DPPH discoloration of the sample was calculated according to the equation:
Accelerated chemical stability test using Hotpack climatic chamber at 40oC
Various formulation of AP o/w microemulsion was placed in light-shielded vials and the vials were stored in an incubator maintained at 40oC and 75% RH. At appropriate time intervals, samples were withdrawn and dissolved in methanol. After vortex-mixing and centrifugation, and aliquot of the filtrate was analysed using HPLC.
The instrument used was Waters HPLC 2487, Dual Absorbance Detector. The column was a reversed phase Kromasil C18 (250x 4.6 mm, 5 µm) column. The mobile phase was 75: 20: 5 (v/v) methanol: acetonitrile: 0.02M monobasic potassium phosphate buffer pH 3.5, with a flow rate of 1.5 ml/min. The injection volume was 20 µl.
Approximately 500 mg of sample was accurately weighed into centrifuge tube and 5 ml of methanol was added. The sample was extracted by mixing for one min in a vortex mixer and then centrifuged for five min at 2500 rpm. The resultant clear methanol extract was used for chromatography.
RESULTS AND DISCUSSION
Preparation of microemulsion dosage form was begun with the optimization of the oil phase concentration. Several concentrations of oil ranging from 5% to 10% were prepared (see Table 1).
Table 1 shows the optimization of oil-phase ranging from 5% - 10%. Formulation B1, B2, B3, B4 and B10 showed a clear and transparent appearance after one week observation while others showed a cloudy appearance. Hence, 5% of caprylic/capric triglyceride was chosen as the best concentration for oil phase. Optimization of oil phase concentration was followed by optimization of surfactant and co-surfactant with concentration in the ratio 3:1, 4:1 and 5:1. Based on the obtained results, the microemulsion tend to form cloudy appearance and less viscous after one week in a lower concentration of surfactant and co-surfactant. In order to achieve a good viscosity, a higher concentration of surfactant and co-surfactant is necessary. These data was transformed into a ternary diagram for verification the optimum ratio of water, oil and combination of surfactant and co-surfactant.
Table 1: Optimization of oil-phase concentration
| Formulation | Amount of Substances | Result | ||||
| Oil (%) | Tween 80 (%) | Propylene glycol (%) | Ethanol (%) | Distilled water (%) | ||
| B1 | 5 | 37.5 | 7.5 | - | 50 | Clear |
| B2 | 5 | 37 | 10 | - | 48 | Clear |
| B3 | 5 | 40 | 10 | - | 45 | Clear |
| B4 | 7.5 | 37.5 | 7.5 | - | 47.5 | Clear |
| B5 | 7.5 | 37 | 10 | - | 45.5 | Cloudy |
| B6 | 7.5 | 40 | 10 | - | 42.5 | Cloudy |
| B7 | 10 | 37.5 | 7.5 | - | 45 | Cloudy |
| B8 | 10 | 37 | 10 | - | 43 | Cloudy |
| B9 | 10 | 40 | 10 | - | 40 | Cloudy |
| B10 | 5 | 35 | 7.5 | 7.5 | 45 | Clear |
| B11 | 5 | 37 | 6.5 | 6.5 | 45 | Cloudy |
| B12 | 5 | 30 | 10 | 10 | 45 | Cloudy |
Table 2: Combination Surfactant and Cosurfactant Optimization
| Component | Formulations | ||
| C7 | C8 | C9 | |
| Caprylic/capric triglyceride (%) | 5 | 5 | 5 |
| Tween 80 (%) | 37.5 | 40 | 42 |
| Propylene glycol (%) | 12.5 | 10 | 8 |
| Ethanol | - | - | - |
| Distilled water | 45 | 45 | 45 |
| Ratio | 3:1 | 4:1 | 5:1 |
| Results | Clear | Clear | Clear |
Table 3: Optimization of AP concentration loaded o/w microemulsion
| Formulation | Amount of Substances | Concentration of AP (%) |
||||
| Oil (%) |
Tween 80 (%) |
Propylene glycol (%) | Ethanol (%) |
Distilled water (%) | ||
| C7 | 5 | 37.5 | 12.5 | - | 45 | 1 |
| C8 | 5 | 40 | 10 | - | 45 | 1 |
| C9 | 5 | 42 | 8 | - | 45 | 1 |
| B10 | 5 | 35 | 7.5 | 7.5 | 50 | 1 |
| C7 | 5 | 37.5 | 12.5 | - | 45 | 2 |
| C8 | 5 | 40 | 10 | - | 45 | 2 |
| C9 | 5 | 42 | 8 | - | 45 | 2 |
| B10 | 5 | 35 | 7.5 | 7.5 | 50 | 2 |
| C7 | 5 | 37.5 | 12.5 | - | 45 | 3 |
| C8 | 5 | 40 | 10 | - | 45 | 3 |
| C9 | 5 | 42 | 8 | - | 45 | 3 |
| B10 | 5 | 35 | 7.5 | 7.5 | 50 | 3 |

Fig. 2: Ternary phase diagram of AP microemulsion
Table 5 above shows the optimization of AP concentration of oil-water microemulsion used in this experiment. In amount 1%, 2% and 3% of AP as active ingredient, wa loaded into caprylic/capric triglyceride as oil phase, distilled water as water phase, tween 80 as surfactant, propylene glycol and ethanol as cosurfactant in order producing a microemulsion.
The optimization of oil-phase concentration and concentration of surfactant and co-surfactant was plotted into a pseudoternary diagram. The rounded circle indicates the clear region of o/w microemulsion. Based on the obtained data, the best formulation obtained was 5% of oil-phase, 45% of water and 50% of surfactant and co-surfactant.
In addition, water-in oil microemulsion was also prepared, but it was not suitable to obtain a stable formulation for water-in oil microemulsion. Cloudy microemulsion was generated after production.
In terms of organoleptic, there are no significant change in colour, odour, clarity and homogeneity of microemulsion in period of 90 days of observation.


Fig. 3: Image of microemulsion free and contained of AP
Table 4: Organoleptic Observation in period of 90 days
| Organoleptic | Observation |
| Appearance | Yellow Transparent |
| Odour | Neutral |
| Homogeneity | Homogeny |
| Clarity | Clear |
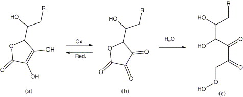
pH of microemulsion was evaluated every week for 90 days. All measurement was performed in triplicate. pH value for topical microemulsion should compliance with the human skin range from pH 4 to pH 6. Based on results obtained, the pH of AP microemulsion were in the ranged of 4.1 to 5.06 up to 30 days, which are considered acceptable to avoid the risk of irritation upon application to skin. Moreover, AP was found to be stable at acidic pH. However, after 2 months of storage at room temperature, the pH for all formulation declines sharply and become very acidic. This is due to the fact that AP has already undergoes degradation based on the chemical stability test results. Figure 7 below shows the degradation of AP (a) into dehydroascorbic acid (b) and 2,3-diketo-gluconic acid (c) when undergo oxidation reaction. R represents the palmitoyl residue (10).
Next, the viscosity of AP microemulsion was evaluated every week up to 90 days. For semi-solid preparation, the viscosity of semi-solid dosage form should be above 900 cps to indicate that the preparation has a good viscosity. Based on the results obtained, the viscosity of formulation C7 and formulation B10 were less than 900 cps which indicates a poor viscosity (7). However in final product, microemulsion can incorporated into semisolid dosage form. Therefore low viscosity of microemulsion is not influence to appearance of final product. Meanwhile for formulation C8 and formulation C9, the viscosities were above 900 cps and were still under controlled viscous condition.
Moreover the physical stability using centrifugal force was carried out to determine the influence of gravity toward the stability of prepared microemulsion. The microemulsion was evaluated under the influence of centrifuge at the speed of 3500 rpm for 5 hours. At each interval, the separation of phases was noted down. The effect of speed at 3500 rpm for 5 hours is equivalence to gravitation effect for 1 year period (7). Observation revealed that no separations of phases occurred after centrifugation at 3500 rpm for 5 hours was occurred. This indicates that all the formulation have a good stability in terms of gravitation effect.

Fig. 4: Globule size evaluations after freeze-thaw test of formulation C7
Freeze-thaw test was one of physical stability evaluation to determine whether the formulation will remain stable under varied conditions. This issue is correlation to experience during the shipping and storage phases of the product life cycle in fluctuated temperature. Freeze-thaw test showed that all formula were relatively stable. The globule size after each cycle was determined using Delsa Nano particle size analyser. Based on the results obtained, almost all globule size for all formulation remains stable after 6th cycle of freeze-thaw test. Meanwhile only formulation C8 (3 %AP), C9 (1% AP), C9 (3 % AP), B10 (1% AP) and B10 (3% AP) increased until about 300 nm after third cycle of freeze-thaw test.

Fig. 5: Globule size evaluation of formulation C7 AP o/w microemulsion up to 90 days
Particle size growth was also observed during storage time. Figure 13 shows the globule size of AP microemulsion over 3 months. Based on the results obtained, the globule size for all formulation was within the desired range. However, the globule size increased drastically from 10-16 nm to 100-300 nm after 60 days for formulation C8 3% AP, sample C9 3% AP and sample B10 3% AP. Formulation with higher concentration of AP tends to form agglomerates and influenced the stability of the formulation. Although the globule size increased up to 300 nm but the entire globule still remain in the nanometer range below 1 µm.

Fig. 6: DPPH scavenging effect of AP microemulsion at various concentrations
The free-radical scavenging capacity of AP was assayed by the 2,2-diphenyl-1-picrylhydrazil (DPPH) method. The scavenging ability of AP was determined to reduce DPPH radical. The degree of DPPH reduction is followed by monitoring the decrease in its absorbance at 517 nm during the reaction. The concentration of sample was 50 mg/ml. The reduction of DPPH is shown in Figure 17 (ordinate: scavenging activity, axis: % AP loaded). The higher the AP concentration, the smaller was the amount of remaining DPPH and the higher was the free radical scavenging activity. The obtained results revealed, formulation C9 have the highest DPPH scavenging ability followed by formulation C8, formulation B10 and lastly formulation C7. In comparison to 1% of AP methanolic solution (control), microemulsion contained 1% of AP was comparable, especially for formulation C9. Hence, it was confirmed that the effectiveness of antioxidant activity in microemulsion was similar and comparable to AP in solution and formulation AP into microemulsion did not reduce the antioxidant activity. This results confirmed AP hydrogen donating ability
The effects of temperature on the chemical stability of AP were determined for formulation contained 1% of AP at 4oC, 25oC and 40oC for 2 months. The degradation reaction of active compound can be influenced by the effects of temperature. It was reported that the reaction rate can be increased with an increase in temperature. The effect of temperature on the rate of reaction can be explained by the Arrhenius equation (11). The obtained results revealed that the temperature had a strong effect on the stability of AP microemulsion. The percentage of AP remaining at 4oC was higher compared to percentage of AP remaining at 25oC and 40oC. Formulation C8 has the lowest remaining concentration of AP after 2 months of storage at temperature 4oC and 25oC. Meanwhile, formulation C9 has the highest remaining concentration of AP after 2 months of storage with concentration of 72.41% at temperature 4oC, 43.50% at temperature 25oC and 21.65% at temperature 40oC. The main mechanism of AP degradation is oxidation (12). Generally, the oxidation composes of three steps including initiation, propagation and termination. Light and heat are known to initiate the reaction leading to the formation of free radical. This free radical combining with the oxygen molecule causes the propagation step and finally the oxidation progresses to the termination step (chain reactions) (13). It was seen that AP was relative stable at temperature 4oC for each formulation indicating the importance of the storage, moreover, storage at 40oC was not found suitable.

Fig. 7: Accelerated chemical stability test at 40oC for o/w microemulsion contains of AP (2%)
Chemical stability of AP microemulsion was done at accelerated storage condition at 40oC 75% RH in climatic chamber for 2 months for sample containing 2% of AP. The chemical stability of AP microemulsion was compared with scientific literature of AP-loaded solid lipid nanoparticles by (2, 3). Figure 7 above shows the AP remaining concentration after 30 days at storage 40oC. According to the data of 1 month obtained, the remaining concentration of AP in formulation C7 2% of AP decreased from 61.62 % to 32.26 % after one month. Meanwhile, formulation C8 2% of AP has the lowest remaining concentration of AP, 26.85 %. Formulation C9 2% of AP has the highest remaining concentration of AP after one month, which is 43.91%. In comparison, AP-loaded microemulsion showed that AP remaining concentration was comparable to all the samples of AP loaded solid lipid nanoparticles and nanostructured lipid carrier.

Fig. 8: Degradation reaction of AP
There are many possibilities to the degradation process of AP. One of the possibilities is because; the AP is poorly soluble in the oil phase. Hence, we know that AP was dissolved in both continuous phase and disperse phase. Since not all AP was dissolved in oil phase, it can cause the AP not being protected by the emulsifying agent hence causing them to undergo degradation process. In order to improve the chemical stability of AP, different types of suitable oil phase should be used which can solubilize AP such as Oleoyl polyoxyl-6 glycerides NF (Labrafil® M1944CS) or caprylocaproyl macrogol-8 glyceride (Labrasol).
CONCLUSION
Physical stability of AP o/w microemulsion remained stable up to 30 days in the real time. The effectiveness of 1% of AP loaded o/w microemulsion as an antioxidant was dependent on its concentration and it is comparable to 1% solution of AP in methanol. Based on the chemical stability results, oil-in water microemulsion as carrier was not enough to protect the stability of AP chemically. Formulation that show the most optimum result for physicochemical properties of microemulsion was formulation C9 containing 5 % of caprylic/capric triglyceride, 40 % of tween 80, 10 % of propylene glycol and 45% of water.
CONFLICT OF INTERESTS
Declared None
REFERENCES