Department of Pharmaceutical analysis and Quality Assurance, Vijaya College of pharmacy, Munaganur (village), Hayathnagar (Mandal), Hyderabad 501511, India.
Email: ashok576@gmail.com
Received: 18 Jul 2014 Revised and Accepted: 05 Sep 2014
ABSTRACT
Objective: To develop an accurate, precise and linear Reverse Phase High Performance Liquid Chromatographic (RP-HPLC) method and validate as per ICH guidelines for the quantitative estimation of Solifenacin succinate (5mg) in tablets.
Methods: The optimized method uses a reverse phase column, Enable Make C18G (250 X 4.6 mm; 5μ), a mobile phase of triethylammonium phosphate buffer (pH 3.5): acetonitrile in the proportion of 30:70 v/v, flow rate of 1.0 ml/min and a detection wavelength of 210 nm using a UV detector.
Results: The developed method resulted in Solifenacin succinate eluting at 3.5 min. Solifenacin succinate exhibited linearity in the range 10-30μg/ml. The precision is exemplified by relative standard deviation of 0.76%. Percentage Mean recovery was found to be in the range of 98‐102, during accuracy studies. The limit of detection (LOD) and limit of quantitiation (LOQ) was found to be 7.65μg/ml and 23.19μg/ml respectively.
Conclusion: A rapid, accurate, precise and linear RP-HPLC method was developed and validated for the quantitative estimation of solifenacin succinate in SOLITEN (5mg) tablets as per ICH guidelines and hence it can be used for routine analysis in various pharmaceutical industries.
Keywords: RP‐HPLC, Solifenacin succinate, Method development, Validation.
INTRODUCTION
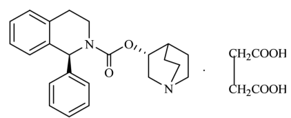
Solifenacin succinate (Figure 1) is a competitive muscarinic acetylcholine receptor antagonist. Muscarinic receptor antagonists are widely used for treatment of the syndrome of overactive bladder and urge urinary incontinence [1-4]. The binding of acetylcholine to these receptors, particularly the M3 receptor subtype, plays a critical role in the contraction of smooth muscle.
By preventing the binding of acetylcholine to these receptors, Solifenacin reduces smooth muscle tone in the bladder, allowing the bladder to retain larger volumes of urine and reducing the number of incontinence episodes. IUPAC name of Solifenacin succinateis Butanedioic acid, compound with (1S)-(3R)-1-azabicyclo [2.2.2] oct-3-yl 3,4-dihydro-1-phenyl-2(1H)-iso-quinolinecarboxylate (1:1), having an empirical formula of C23H26N2O2. C4H6O4 and a molecular weight of 480.55. It is freely soluble at room temperature in water, Glacial acetic acid, dimethyl sulfoxide and methanol [1-4].
Fig. 1: Structure of Solifenacin succinate
Literature survey reveals chromatographic methods for the analysis of Solifenacin succinatein various pharmaceutical dosage forms [1-7]. Very little literature is cited on spectrophotometric methods [8-9]. We here report a totally new, simple, accurate and precise RP-HPLC method for determination of assay of Solifenacin succinate in SOLITEN tablets and validate the developed method as per ICH guidelines.
MATERIALS AND METHODS
Chemicals and Reagents
Analytically pure sample of Solifenacin succinate with purities greater than 99% was obtained as a gift sample from Rachem Pharma, Hyderabad, India and tablet formulation [SOLITEN] was procured from MEDPLUS Pharmacy, Hyderabad, India with labelled amount 5mg of SOLIFENACIN SUCCINATE. Acetonitrile (HPLC grade), water (HPLC grade), Triethylamine (AR Grade) and ortho phosphoric acid (AR Grade) were obtained from SD Fine chemicals (Hyderabad, India), 0.45μm Nylon membrane filters were obtained from Spincotech Private Limited, Hyderabad, India.
Instrument
HPLC analysis was performed on Shimadzu Prominence Liquid Chromatography comprising a LC-20AD pump, Shimadzu SPD-20A Prominence UV-VISIBLE detector and a reverse phase C18 column, Enable Make C18G (250 X 4.6 mm; 5μ). Manually operating Rheodyne injector with 20 μL sample loop was equipped with the HPLC system. The HPLC system was controlled with “Labsolutions lite” software. An electronic analytical weighing balance (0.1mg sensitivity, Shimadzu AY 220), digital pH meter (DELUX model 101), a sonicator (sonica, model 2200 MH) and UV-Visible Spectrophotometer (Shimadzu UV-1800 series, software-UV probe version 2.42) were used in this study.
Method
Selection of Wavelength
Suitable wavelength for the HPLC analysis was determined by recording UV spectrum in the range of 200-400 nm for solifenacin succinate. Suitable wavelength selected was 210 nm (Figure 2).
Chromatographic conditions
The developed method uses a reverse phase C18 column, Enable Make C18G (250 X4.6 mm; 5μ), mobile phase consisting of triethylammonium phosphate buffer (adjusted using 30% v/v of ortho phosphoric acid pH 3.5): acetonitrile in the proportion of 30:70 v/v. The mobile phase was set at a flow rate of 1.0 ml/min and the volume injected was 20μl for every injection. The detection wavelength was set at 210 nm.
Buffer Preparation
The buffer solution was prepared by adding 5 ml of triethylamine to 1000 ml of HPLC grade water and later pH was adjusted to 3.5 using 30% v/v of ortho phosphoric acid in water. The buffer was then filtered through 0.45 μm nylon membrane filter.

Fig. 2: UV spectrum of solifenacin succinate
Mobile phase Preparation
The mobile phase was prepared by mixing acetonitrile and buffer in the ratio of 70:30 v/v and later it was sonicated for 10 minutes for the removal of air bubbles.
Preparation of stock and working standard solution
10mg of solifenacin succinate was accurately weighed and taken in 100 ml clean and dry volumetric flask containing 50 ml of diluent (same as mobile phase) and then sonicated for 2 minutes to dissolve. Later the solution was made up to the mark using the mobile phase. This is considered as the stock standard solution (100µg/ml). From the stock solution, 2 ml was pipetted out and to 10 ml using the mobile phase to get a concentration of 20µg/ml, treated as 100% target concentration.
Preparation of stock and working sample solution
Ten tablets were weighed separately and the average weight was determined. The average weight was weighed from the ten tablets grinded in a pestle and mortar, transferred to a 100 ml volumetric flask containing 100 ml diluent and then stirred for 10 minutes, followed by filtration through 0.45µ nylon membrane filter to get sample stock solution of 50µg/ml. 4 ml of the above stock solution was pipetted out and made up to 10 ml to get working sample solution equivalent to a concentration of working standard of 20µg/ml.
RESULTS AND DISCUSSION
Method Development
A Reverse phase HPLC method was developed keeping in mind the system suitability parameters i. e. Tailing factor (T), number of theoretical plates (N), runtime and the cost effectiveness. The optimized method developed resulted in the elution of solifenacin succinate at 3.5 min. Figures 3 and 4 represent chromatograms of blank solution and the standard solution (20µg/ml) respectively. The total run time is 5 minutes. System suitability tests are an integral part of method development and are used to ensure adequate performance of the chromatographic system. Retention time (Rt), number of theoretical plates (N) and peak asymmetric factor was evaluated for six replicate injections of the standard at the working concentration. The results are given in Table 1.

Fig. 3: Typical Chromatogram of Blank solution

Fig. 4: Typical chromatogram of the standard solution
Table 1: System suitabilitystudies results
| Parameters* | Solifenacin Succinate |
| Retention time (min) | 3.5 |
| Number Of Theoretical plates (N) | 4427 |
| Tailing factor (T) | 1.8 |
* Mean of six injections
In order to test the applicability of the developed method to a commercial formulation, SOLITEN was chromatographed at working concentration (20µg/ml) and it is shown in Figure 5. The sample peak was identified by comparing the retention time with the standard drug Figure 4. System suitability parameters were within the acceptance limits, ideal for the chromatographed sample. Integration of separated peak area was done and drug concentration was determined by using the peak area concentration relationship obtained in the standardization step. The protocol affords reproducible assay of the drug in the sample ranging between 98 and 102%, which is the standard level in any pharmaceutical quality control.

Fig. 5: Typical chromatogram for the tablet formulation.
Method validation
Validation of the analytical method is the process that establishes by laboratory studies in which the performance characteristics of the method meet the requirements for the intended analytical application. RP-HPLC method developed was validated according to International Conference on Harmonization (ICH) guidelines [10] for validation of analytical procedures.
The method was validated for the parameters like system suitability, specificity, linearity, accuracy, precision, limit of detection (LOD) and limit of quantitiation (LOQ).
Specificity
Figures 3-5 for blank, standard drug solution and sample chromatogram reveal that the peaks obtained in the standard solution and sample solution at working concentrations are only because of the drugs as blank have no peak at the retention time of Solifenacin succinate. Accordingly it can be concluded that, the method developed is said to be specific.
Precision
System precision
Six replicate injections of the standard solution at the working concentration showed % RSD (Relative Standard Deviation) less than 2 concerning peak area for the drug, which indicates the acceptable reproducibility and thereby the precision of the system. System precision results are tabulated in Table 2.
Method precision
Method precision was determined by performing the assay of the sample under the tests of repeatability (Intraday precision) at working concentration.
Table 2: System precision results
Injection number |
Solifenacin succinate |
|
(n) |
Rt |
Peak Area |
1 |
3.4 |
1492445 |
2 |
3.4 |
1461491 |
3 |
3.5 |
1500096 |
4 |
3.7 |
1468792 |
Average |
1480706 |
|
SD |
18483.6 |
|
% RSD |
1.2 |
|
Repeatability (Intraday precision)
Six consecutive injections of the sample from the same homogeneous mixture at working concentration showed % RSD less than 2 concerning % assay for the drug which indicate that the method developed is method precise by the test of repeatability and hence can be understood that the method gives consistently reproducible results (Table 3).
Table 3: Intra day precision results
n |
Solifenacin succinate |
% Assay |
|
1 |
101.8 |
2 |
100.6 |
3 |
101.6 |
4 |
100.2 |
Average |
101.05 |
S. D. |
0.772 |
% R. S. D. |
0.76 |
Linearity
Standard solutions of Solifenacin succinate at different concentrations level (50%, 75%, 100%, 125%, 150% and 175%) were prepared. Calibration curve was constructed by plotting the concentration level of drug versus the corresponding peak area. The results show an excellent correlation between peak area and concentration level of drug within the concentration range (50-150µg/ml) for the drug and the results are given in Tables 4-5. The correlation coefficient of Solifenacin succinate is greater than 0.995, which meet the method validation acceptance criteria and hence the method is said to be linear.
Equation
Regression
Coefficient 0.998 0.998 0.997 0.998
Accuracy
Accuracy was determined by means of recovery experiments, by the determination of % mean recovery of sample at three different levels (50-150%). At each level, three determinations were performed. Percent mean recovery was calculated as shown in Table 6. The accepted limits of recovery are 98% - 102% and all observed data are within the required range which indicates good recovery values and hence the accuracy of the method developed.
Sensitivity
Sensitivity of measurement of Solifenacin succinate by use of the proposed method was estimated in terms of the limit of quantitation (LOQ) and the limit of detection (LOD). The limit of detection (LOD) and limit of quantitiation (LOQ) was found to be 7.65μg/ml and 23.19μg/ml respectively.
Table 4: Linearity of the chromatography system
| Drug | Linearity range (µg/ml) | R2 | Slope | Intercept |
| Solifenacin succinate | 10-30 | 0.993 | 62640.66 | -63443.8 |
Table 5: Calibration data for Solifenacin succinate
| % Level | Concentration (µg/ml) | Peak Area
1 |
Peak Area
2 |
Peak Area
3 |
Average peak areas |
| 50 | 10 | 630289 | 709347 | 644157 | 661264.3 |
| 75 | 15 | 905511 | 942002 | 986204 | 944572.33 |
| 100 | 20 | 1270490 | 1259200 | 1242898 | 1257529.33 |
| 125 | 25 | 1537008 | 1521841 | 1529393 | 1529414 |
| 150 | 30 | 1993979 | 1905241 | 1905366 | 1934862 |
Regression y=7.70x+36 y=7.70x+34.2 y=7.70x+36.8 y=7.7x+35.65
Table 6: Results of Accuracy studies for Solifenacin succinate
| Concentration level (%) | *%Mean recovery |
| 50 | 100.31 |
| 100 | 101.3 |
| 150 | 101.6 |
*Mean of three replicates
CONCLUSION
A reverse phase HPLC isocratic method developed has been validated as per ICH guidelines in terms of specificity, accuracy, precision, linearity, limit of detection and limit of quantitation, for the quantitative estimation of Solifenacin succinate in tablets. The precision is exemplified by relative standard deviation of 0.76%. A good linear relationship was observed for the drug between concentration ranges of 10 and 30µg/ml. Accuracy studies revealed that mean recoveries were between 98 and 102%, indicative of accurate method. Accordingly it can be concluded that the developed reverse phase isocratic HPLC method is accurate, precise and linear and therefore the method can be used for the routine analysis of Solifenacin succinate in tablets.
ACKNOWLEDGEMENT
The authors would like to thank the management of Vijaya College of pharmacy (VJYH), Hyderabad, for providing the necessary facilities to carry out of this research work. The authors are grateful to Rachem Pharma, Hyderabad for providing gift sample of Solifenacin succinate.
REFERENCES