Int J Pharm Pharm Sci, Vol 6, Issue 9, 252-256Original Article

BIOLOGICAL STUDIES ON NITROGEN - CONTAINING COMPOUNDS FROM CAMPYLOSPERMUM OLIVERIANUM AND CAMPYLOSPERMUM SULCATUM (OCHNACEAE)

AUGUSTE ABOUEM À ZINTCHEM1,*, JOSEPH THIERRY NDONGO1, SERGE DOMINIQUE NGONO BIKOBO2, JEANNE LOUISE NKOT2

1Department of Chemistry, Higher Training College, University of Yaounde I, P. O. Box 47, Yaounde, Cameroon, 2Department of Organic Chemistry, Faculty of Science, University of Yaounde I, P. O. Box 812, Yaounde, Cameroon.
Email: augabouem@yahoo.fr

Received: 26 Jun 2014 Revised and Accepted: 18 Aug 2014


ABSTRACT

Objective: Campylospermum oliverianum and C. sulcatum (Ochnaceae) are considered conspecific by some reports.

Methods: Following phytochemical analyses on those species, biological tests were carried.

Results: Phytotchemical analyses led to the isolation of three known nitrogenous compounds: two cyanoglucosides named dhurrin and menisdaurin and an indole alkaloid, serotobenine. These nitrogen-containing compounds showed potent cytotoxic activities against the microcrustacean Artemia salina (brine shrimp), when two of them exhibited efficient bactericidal effects against a few Gram cocci. This newest co-occurrence of both α- and γ-hydroxynitrile glucosides within the same species suggested another biosynthetic pathway for putative tyrosine-derived non-cyanogenic cyanoglucosides.

Conclusion: This study does not recommend an identical chemical profile for the two species, hence they might not be regarded as the same. The biosynthetic pathway of numerous putative tyrosine-derived cyanoglucosides is supported by the isolated compounds from C. sulcatum. The taxonomical value of serotobenine in species of the Campylospermum genus as well as the other one of cyanoglucosides in angiosperms is once more highlighted.

Keywords: Campylospermum, cyclohex(en)yl cyanoglucosides, menisdaurin, serotobenine, biosynthesis, chemotaxonomy, antimicrobial assay, brine shrimp toxicity.


INTRODUCTION

Campylospermum oliverianum (Gilg) Farron (Ochnaceae) is a shrub usually less than 02 m high. Its habitat is made up of Gilbertiodendron dewevrei (Caesalpiniaceae) and mixed species of terra firma forest. Its distribution involves areas from Côte d’Ivoire to the East of Cameroon. Farron [1] keeps C. oliverianum separate from C. sulcatum (Van Tiegh.), although Keay [2] considers them conspecific and treats them as Ouratea sulcata [3]. Some Campylospermum species are used in pharmacopeia as laxatives, purgatives, pain-killers, as well as in the treatment of upper respiratory tract infection, dysentery, toothache, diarrhea, rheumatism, digestive and gastric disorders. C. sulcatum, for example, is used in the treatment of some people suffering from dementia [4]. The bactericidal effects of some related species against some Gram positive cocci have been reported as well as many other biological properties including anti-malarial and anti-viral activities[5–8]; meanwhile, in the case of C. flavum, its methanolic crude extracts and some of its isolated compounds exhibited potent cytotoxic activities against Artemia salina larvae [9].

In terms of secondary metabolites, typical constituents of the subtribe of the Campylospermum (or Ouratea) species are terpenoids, flavonoids and biflavonoids [10–12]. Many other ones have previously been reported from other species. Among them are indole alkaloids and cyanoglucosides or their derivatives [5, 7, 9, 13].

The most common members of the group of cyanoglycosides are the cyanogenic glycosides, which are α -hydroxynitriles stabilized by β -linked sugar chains, usually formed of D-glucose [14]. Among the plants harboring cyanogenic glucosides several also produce β – and/or γ-hydroxynitrile glucosides. Little is known about how and why the plants produce β – and/or γ-hydroxynitrile glucosides. Because of the striking structural similarities of α -, β - and γ-hydroxynitrile glucosides and a high frequency of co-occurrence it has been proposed that the compounds are biosynthetically related [15]. Some biosynthetic relationships between acyclic α -, β – and γ -hydroxynitrile glucosides have been set up [16–17].

Although dhurrin, an α -hydroxynitrile glucoside, has recently been reported from Campylospermum flavum [9], it was not clearly expressed whether this species should be considered or not as cyanogenic. That result could however appear as an additional reason for performing other phytochemical analyses within the same genus, especially to assess the occurrence of either indole alkaloids or cyanoglucosides. Some biflavonoids have previously been isolated from Ouratea sulcata [12]; to our knowledge, there is still no report of any phytochemical analysis carried on C. oliverianum. The aim of this work was to identify the indole alkaloids and the cyanoglucosides exhibiting an apparent tyrosine nucleus from the leaves of C. oliverianum and C. sulcatum. In addition, assays for cytotoxicity testing against Artemia salina have been applied on the nitrogen-containing compounds isolated. These compounds were also assayed against some Gram cocci. Meanwhile, following a work done by Seigler et al. [18], the biosynthesis of γ - cyanoglucosides with a cyclohex(en)yl unit is discussed.

MATERIALS AND METHODS

Preparation of extracts

The leaves of C. oliverianum and C. sulcatum were collected, respectively, at Sok Elle (March 2006) and Kribi (March 2006) in Centre- and South-regions of Cameroon. All these plant materials were identified by Mr. Nana Victor (botanist). The voucher samples (No. 31383 HNC and No. 10133/SRF/CAM respectively), were deposited at the National Herbarium in Yaoundé, Cameroon.

Dried leaves of C. oliverianum were ground and the resulting powder (0.89 kg) was extracted with MeOH during 48 h at room temperature. After filtration and removal of solvent, the solid product (82 g) was submitted to a new extraction using CH2Cl2/MeOH 1:1 to yield 53 g. This quantity was merged in Et2O; after removal of the solvent, the insoluble phase (35 g) was analyzed by chromatography. The same process was applied to C. sulcatum; 1.34 kg leaves produced 74 g of crude extracts.

Isolation of the compounds

The analysis of the crude extract of C. sulcatum by a column chromatography of silica gel using CH2Cl2/MeOH as eluent with increasing polarity systems (from 50:1 to pure MeOH) gave five fractions A – B – C – D – E. Fraction D (4.6 g) afforded compound 1 (10 mg) after successive column chromatographies on silica gel and Sephadex LH–20 (with MeOH as eluent in the case of Sephadex LH–20). Fraction C (5.4 g) produced three sub-fractions, C.1 – C.2 – C.3, after a column chromatography of silica gel using CH2Cl2/MeOH 10:1. The first sub-fraction C.1 (1.6 g) was purified by a column chromatography of silica gel with CH2Cl2/MeOH 15:1 to yield compound 2 (16 mg). The second sub-fraction C.2 (1.1 g) yielded five main sub-parts C.2.1 – C.2.2. – C.2.3. – C.2.4 – C.2.5. The first sub-part, C.2.1 (0.4 g), led to compound 3 (25 mg) after repeated column chromatographies on silica gel and Sephadex LH-20.

Flash chromatography of C. oliverianum extracts using CH2Cl2/MeOH at increasing polarity (from 0% to 100% MeOH) as eluent(s) gave four main fractions A’ – B’ – C’ – D’. Fraction B’ (6.5 g) was submitted to a silica gel column chromatography (CH2Cl2/MeOH, 15:1); it yielded compound 3 (224 mg) together with a sub-fraction B’.2.1 (4.8 g). The fraction D’ (16.8 g) was subjected to a silica gel column chromatography (CH2Cl2/MeOH, 10:1), producing three sub-fractions D’.1 – D’.2 – D’.3. The sub-fraction D’.2 (0.5 g) was subjected to repeated column chromatographies over Sephadex LH-20 (MeOH) to afford compound 2 (16 mg).

Antimicrobial assay

The antimicrobial tests were performed with clinical isolates of Bacillus subtilis and Escherichia coli on peptone agar, with Staphylococcus aureus on Bacto nutrient agar. 1, 2 and 3 were dissolved in CH2Cl2/MeOH (90:10) and paper disks of the diameter of 9 mm were impregnated with 40 μg of pure compounds, dried for 1 h under sterile conditions and placed on the pre-made agar test plates. The plates were kept in an incubator at 37 °C for 12–16 h. The diameter of inhibition zone was measured in mm. Gentamycine was used as positive control at 40 μg per paper disk for bacteria, giving a diameter of inhibition zone of 22 mm for B. subtilis and E. coli and 21 mm for S. aureus.

Brine shrimp toxicity assay

Anhydrous Artemia salina eggs were hatched in filtered seawater under aeration. The assays were performed in duplicate on a microtiter plate with more than 20 (20–40) larvae, in 990 μL of seawater and 10 μL of pure compounds or crude extract dissolved in DMSO to give an end concentration of 10 μg/mL or 100 μg/mL respectively. DMSO (10 μL) was used for blind control, and 10 μg/mL of actinomycine D for positive control. Toxicity T in % was determined after 24 h of exposure at room temperature under the microscope according to the formula T = (A - N - B). Z-1100 with A = number of dead larvae after 24 h, N = number of dead larvae before the addition of compound or extract, B = average number of dead larvae in the blind sample, Z = total number of larvae.

RESULTS AND DISCUSSION

Identification of the compounds

Final purification of fractions collected from C. sulcatum extracts yielded two cyanoglucosides identified as dhurrin [18, 19] (1) and menisdaurin [18, 20–21] (2); another nitrogenous compound was isolated and recognized as serotobenine [22–23] (3) (Figure 1). C. oliverianum extracts gave, after purification of its own fractions, menisdaurin (2) and serotobenine (3). Consequently, dhurrin (1) was isolated as the only cyanogenic compound although several attempt to detect its enantiomer, taxiphillin [24], failed. Its 1H NMR spectrum did not reveal signals corresponding to a mixture of compounds [18]. Dhurrin (1) was accompanied by menisdaurin (2), a co-occurrence which is remarkable after some early ones from Tiquilia canescens and T. plicata [20].

Fig. 1: It shows nitrogenous compounds isolated from C. sulcatum and C. oliverianum

Relationship between dhurrin (1) and cyclohex (en)yl cyanoglucosides

The biosynthesis of dhurrin (1) is catalyzed by two multifunctional cytochromes P450 (P450) and a UDPG-glucosyl transferase (UGT) as demonstrated in detail for Sorghum bicolor (L.) Moench (sorghum, Poaceae), which produces the cyanogenic glucoside dhurrin (1) [25]. The biosynthetic origin of cyclic γ-hydroxynitrile glucosides has not been explored so far but it seems most likely that they have evolved from tyrosine like dhurrin (1) as formerly hypothesized [18, 26].

Their role in plants remains unclear while they are not known to occur in animal kingdom conversely to many α-hydroxynitrile glucosides. Thus, it is presumably that their presence in some plants should imply important biological functions, especially regarding attacks by herbivores.

An investigation of the co-occurrence of dhurrin (1) and menisdaurin (2) in Tiquilia canescens and T. plicata (Boraginaceae) species suggested the close relationship between tyrosine-derived α- and γ-hydroxynitrile glucosides [18]. Ndongo et al. [9] have recently obtained an analogous result after phytochemical analyses carried on Campylospermum flavum (Ochnaceae).

They have admittedly identified, due to its spectroscopic data, an isolated compound as dihydrodhurrin [27]; this compound has nevertheless been recognized as menisdaurin (2) after revision [20]. C. sulcatum can therefore be considered as another species producing both cyanogenic and non-cyanogenic tyrosine-derived compounds. This result tends de facto to strengthen previous suggestions done by Lechtenberg and Nahrstedt [14] or Seigler et al. [18] concerning the biosynthetic origin of tyrosine-derived γ-hydroxynitrile glucosides.

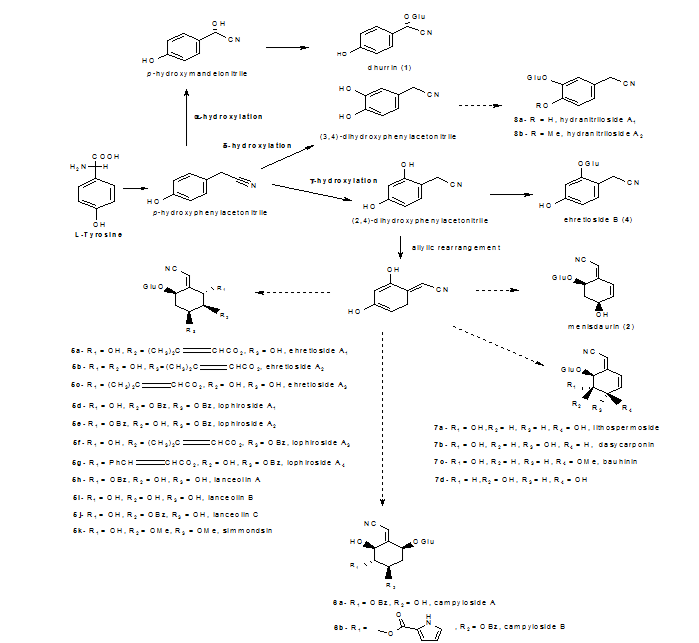
The common intermediate in the biosynthesis of all tyrosine-derived α- and γ-hydroxynitrile glucosides looks like p-hydroxyphenylacetonitrile. Additional hydroxylation(s) can afterwards take place at α- or γ- position of the nitrile group to yield at last the corresponding α- or γ-hydroxynitrile glucosides as theorized for acyclic nitrile glucosides [13–14, 28] (Figure 2). The putative γ-hydroxynitrile formed in one case can be subsequently either glucosylated to produce ehretioside B [29] (4) or be subjected to a wide range of reactions which probably go from allylic rearrangement to a possible δ-hydroxylation along with hydrogenation(s), followed at the end by further etherification or esterification reactions.

This suggestion can explain the co-occurrence of ehretioside B (4) and the series of ehretiosides A1, A2 and A3 (5a-c) from Ehretia philippinensis in one side [29], and the co-occurrence of ehretioside B (4) with a related compound exhibiting a cyclohexenyl unit from Semiaquilegia adoxoides (Ranunculaceae) [30] in another side. Moreover, it cannot justify the production by Moringa oleifeira (Moringaceae) (drumstick) of another class of cyanoglycosides, niaziridin and niazirin, where the sugar part is not represented by D-glucose [31]; these compounds tend particularly to demonstrate how complex is the biosynthesis of aromatic non-cyanogenic cyanoglycosides.

Fig. 2: It shows a suggested biosynthetic pathway of cyclohex(en)yl cyanoglucosides.

Note: p-hydroxyacetonitrile is most likely the common intermediate in the biosynthesis; hydroxylations can therefore take place at α-, β- or γ-position of the nitrile group.

Chemotaxonomy

Some biflavonoids have been previously reported from Ouratea sulcata (Ochnaceae) but no nitrogenous compound [12]. The present results disclose Campylospermum sulcatum and C. oliverianum as possible sources of cyanoglucosides. Serotobenine (3) or other indole alkaloids have been reported from Ouratea turnarea [5], Campylospermum densiflorum [6], C. flavum [9]. Indole alkaloids are gradually appearing as taxonomic markers of the subtribe Ouratinae, especially for species present in Africa. Menisdaurin (2) was recently reported from C. flavum and C. densiflorum [6, 9], after its occurrence in Ochna calodendron (Ochnaceae) [32].

The lophirosides A1, A2, A3 and A4 (5d-g), the lanceolins A, B and C (5h-j) (Figure 2) have been identified as constituents of the sister species Lophira alata and L. lanceolata (Ochnaceae) [33–35]. Another compound exhibiting the same skeleton is simmondsin (5k) from Simmondsia chinensis (Simmondsiaceae) [36] when campylosides A and B (6a-b), characterized by unusual stereochemistry, were isolated from Campylospermum glaucum [5]. Other reports by Tih et al. [37–38] have revealed the isolation of lithospermoside [39] (7a) from L. alata. Hitherto, the Ochnaceae and Phyllantaceae (Samoylenko et al., personal communication) families are considered as the unique providers of γ-hydroxynitrile glucosides exhibiting a cyclohex(en)yl unit within the order Malpighiales. Generally, plants harboring this group of compounds are all tricolpates [32–42]. The order Ranunculales is the sole provider of this type of compounds within the basal tricolpates through the genera Menispermum (Menispermaceae), Semiaquilegia and Thalictrum (Ranunculaceae) [21,30, 43–47].

Apart from ehretioside B (4) with its aromatic cycle, other compounds are noticeable by the cyclohexenyl unit arguing that the primary hydrogenations had taken place prior to the segregation of core tricolpates and orders like Buxales or Trochodendrales; an example in this category of compounds is dasycarponin (7b) isolated from Thalictrum dasycarpum [48]. Within the core tricolpates, the presence of compounds exhibiting the cyclohexyl unit is noteworthy in addition to the other ones with a partially hydrogenated or intact aromatic cycle. It suggests that additional hydrogenations had occurred, throughout the course of Evolution, in the same way to the retention of the aromatic skeleton. The Simmondsiaceae family, from the order Caryophyllales (Caryophyllids), has already been presented above; hitherto, no report of any other species producing a compound of the same group of cyanoglucosides is available from this order. Bauhinin (7c) is a secondary metabolite which was first found in the rosids, especially in the Fabales (eurosids I) through Bauhinia championii (Fabaceae) [49]. Menisdaurin (2) and lithospermoside (7a) have been mentioned in the order Rosales (eurosids I), sometimes along with purshianin [50], a stereoisomer of menisdaurin (2). The latter and an unnamed glucoside (7d) have been characterized respectively from Ilex aquifolium and I. warbugii (Aquifoliaceae, Aquifoliales) [26, 51-52], all of them members of the asterids clade, mainly the Campanulids [53]. The placement of the Boraginaceae within the same clade is unclear but a report has indicated a relationship with Solanales (lamiids) [54]. Other putative tyrosine-derived cyanoglucosides include a new series of compounds, hydranitrilosides A1 and A2 (8a-b), found in the Saxifragaceae family (Saxifragales) [55]; their biosynthesis should be supported by preliminary hydroxylation at δ-position of p-hydroxy phenylacetonitrile. They might probably constitute the group of tyrosine-derived δ-hydroxynitrile glucosides (Figure 2).

Biological assays

Dhurrin (1), menisdaurin (2) and serotobenine (3) were assayed against some Gram cocci, Staphylococcus aureus, Bacillus subtilis and Escherichia coli. In the disk-diffusion assays, excepting menisdaurin (2), each of the tested compounds inhibited the growth of at least one of the species of Gram cocci (Table 1). Dhurrin (1) showed moderate activities against S. aureus and B. subtilis when serotobenine (3) displayed a strong activity against S. aureus and moderate ones against the two other species. A different result was obtained by Kumarasamy et al. [56] on the activity of serotobenine (3) against S. aureus; the authors have argued that it could be explained by the concentration of the tested compound. It is important to remark that dhurrin (1) has previously expressed almost similar results as those observed from Johnson grass [57].

Table 1: It shows results of antimicrobial assays.

Compounds aAntimicrobial assay against some Gram cocci
S. aureus B. subtilis E. coli
bDhurrin (1) 09 12 00
cMenisdaurin (2) 00 00 00
Serotobenine (3) 19 09 08
dGentamycine 21 22 22

aAntimicrobial results are based on inhibition zone diameter (in mm); Gram cocci are Staphylococcus aureus, Bacillus subtilis and Escherichia coli; bDhurrin (1) shows the best activities, cMenisdaurin (2) does not show any activity, dResults refer to Gentamycine.

Table 2: It shows results of cytotoxic assays.

Compounds aCytotoxicity (%)
bDhurrin (1) 100
Menisdaurin (2) 80
Serotobenine (3) 90
cActinomycine D 100

aCytotoxicity (%) of A. salina is treated with compounds 1, 2, 3 and Actinomycine D, bDhurrin (1) exhibits the best percentage, cResults refer to Actinomycine D.

For examination of cytotoxicity, the same compounds were studied using the brine shrimp assay (Table 2). According to this survey, these compounds exhibited potent cytotoxic activities against Artemia salina. Dhurrin (1) showed the strongest activity. Kumarasamy et al. [55] reported similar results for Serotobenine (3). The cytotoxic activity of menisdaurin (2) was perhaps predictable while it has already exhibited some anticancer properties against Epstein Barr Virus [58]. It seems most likely that these results appear as the first report of the cytotoxic properties of dhurrin (1).

CONCLUSIONS

In this study, we have identified dhurrin (1), menisdaurin (2) and serotobenine (3) from Campylospermum sulcatum, the two latter ones from C. oliverianum, as specific nitrogenous compounds. The chemical profile of the two species, based on nitrogen – containing compounds, does not really seem to be the same; hence we suggest that they should not be considered identical. Due to this most recent co-occurrence of both α- and γ- hydroxynitrile glucosides from the same species, we have proposed another biosynthetic pathway for the probable tyrosine derived γ-hydroxynitrile glucosides (Figure 2) to the one suggested in the Seigler et al. paper [18]. This also supports the hypothesis that the γ-hydroxynitrile glucosides biosynthetic pathway had evolved from the α-hydroxynitrile glucosides pathway by recruitment of other P450(s). Campylospermum species can therefore be used as valuable object for studies of evolution of the biosynthetic pathways involved. It seems likely that Campylospermum has p-hydroxyphenylacetonitrile at the biosynthetic branching point. Serotobenine (3) appears as a taxonomic marker of Campylospermum species as well as menisdaurin (2) and closed compounds are markers of the angiosperms where structural modifications of the aromatic ring (hydrogenations, etherifications) could depend on Evolution. The biological assays have revealed that these nitrogen - containing compounds exhibited some interesting bactericidal and cytotoxic effects. Further to a work done by Kumarasamy et al. [55], serotobenine (3) showed the best biological activities. Results observed for menisdaurin (2) tend to confirm that putative tyrosine derived γ-hydroxynitrile glucosides display relatively weak biological functions [27].

ACKNOWLEDGMENT

This work was partially supported by a grant from the Ministry of Higher Education, Cameroon. We thank Mr. Victor Nana (National Herbarium of Cameroon) for the botanical identification. We express our gratefulness to Mr. R. Machinek and Dr. Frauendorf for NMR and mass spectra. We acknowledge fruitful remarks by Prof Atchadé.

CONFLICTS OF INTEREST

The authors declare no conflict of interest.

REFERENCES

  1. Farron C. Les genres Rhabdophylum van Tiegh. et Campylospermum van Tiegh. (Ochnaceae) en Afrique tropicale (Note préliminaire). Bull Jard Bot État 1965;35:389–405.
  2. Keay RWJ. Revision of the “Flora of West Tropical Africa”-III. Kew Bull 1953;8:69–82.
  3. Harris DJ. The vascular plants of the Dzanga-Sangha Reserve, Central African Republic. National Botanic Garden: Meise; 2002.
  4. Bouquet. Féticheurs et médecines traditionnelles du Congo (Brazzaville). Paris: ORSTOM; 1969.
  5. A Zintchem AA, Bikobo DN, Atchadé AT, Mbing JN, Pieboji JG, Tih RG, et al. Nitrile glucosides and serotobenine from Campylospermum glaucum and Ouratea turnarea (Ochnaceae). Phytochemistry 2008;69:2209–13.
  6. Bikobo DSN, Atchadé AT, Tih RG, Piéboji JG, Blond A, Pegnyemb DE, Bodo B. Antimicrobial activities of some Ouratea species (Ochnaceae) and biflavonoids from Ouratea elongata. Asian Chemistry Letters 2009;13:59–66.
  7. Bikobo DSN, Nkot JL, Mosset P, Atchadé AT, Ndongo JT, Pemha R, et al. Acylsteryl glycosides and constituents from Campylospermum densiflorum species (Ochnaceae). RĀSAYAN J Chem 2011;4:753–63.
  8. Brandão GC, Kroon EG, dos Santos JR, Stehmann JR, Lombardi JA, de Oliveira AB. Antiviral activity of plants occurring in the state of Minas Gerais (Brazil):part III. J Chem Pharm Res 2011;3:223–36.
  9. Ndongo JT, Shaaban M, Mbing JN, Bikobo DN, Atchadé AT, Pegnyemb DE, Laatsch H. Phenolic dimers and an indole alkaloid from Campylospermum flavum (Ochnaceae). Phytochemistry 2010;71:1872–8.
  10. À Zintchem AA, Atchadé AT, Tih RG, Mbafor JT, Blond A, Pegnyemb DE, et al. Flavonoids from Ouratea staudtii (Ochnaceae). Biochem Syst Ecol 2007;35:255–6.
  11. Ba Njock GB, Bartholomeusz TA, Foroozandeh M, Pegnyemb DE, Christen P, Jeannerat D. NASCA-HMBC, a new NMR methodolody for the resolution of severely overlapping signals: application to the study of agathisflavone. Phytochem Anal 2012;23:126–30.
  12. Pegnyemb DE, Mbing JN, Atchadé AT, Tih RG, Sondengam BL, Blond A, et al. Antimicrobial biflavonoids from the aerial parts of Ouratea sulcata. Phytochemistry 2005;66:1922–6.
  13. Manga SSE, Messanga BB, Sondengam BL. 7,8-dihydrobenzofuranones from Ouratea reticulata. Fitoterapia 2001;72:706–8.
  14. Bak S, Paquette SM, Morant M, Rasmussen AB, Saito S, Bjarnholt N, et al. Cyanogenic glucosides: a case study for evolution and application of cytochromes P450. Phytochem Rev 2006;5:309–29.
  15. Lechtenberg M, Nahrstedt A. Cyanogenic glycosides. In: Ikan R, editor. Naturally Occuring Glycosides. Chichester: John Wiley and sons; 1999. p. 147–91.
  16. Bjarnholt N, Møller BL. Hydroxynitrile glucosides. Phytochemistry 2008;69:1947–61.
  17. Bjarnholt N, Rook F, Motawia MS, Cornett C, Jørgensen C, Olsen CE, et al. Diversification of an ancient theme: Hydroxynitrile glucosides. Phytochemistry 2008;69:1507–16.
  18. Seigler DS, Pauli GF, Fröhlich R, Wegelius E, Nahrstedt A, Glander KE, et al. Cyanogenic glycosides and menisdaurin from Guazuma ulmifolia, Ostrya virginiana, Tiquilia plicata and Tiquilia canescens. Phytochemistry 2005;66:1567–80.
  19. Hegnauer R. Die cyanogenen Verbindungen der Liliatae und Magnoliatae: Zur systematischen Bedeutung des Merkmals der Cyanogenese. Biochemical Systematics 1973;1:191–7.
  20. Nahrstedt A, Wray V. Structural revision of a putative cyanogenic glucoside from Ilex aquifolium. Phytochemistry 1990;29:3934–6.
  21. Takahashi K, Matsuzawa S, Takani M. Studies on the constituents of medicinal plants. XX. The constituents of the vines of Menispermum dauricum. Chem Pharm Bull 1978;26:1677–81.
  22. Sarker SD, Savchenko T, Whiting P, Šik K, Dinan LN. Moschamine, cis-moschamine, moschamindole and moschamindolol: four novel indole alkaloids from Centaura moschata. Nat Prod Lett 1997;9:189–99.
  23. Sato H, Kawagishi H, Nishimura T. Serotobenine, a novel phenolic amide from Safflower seeds (Carthamus tinctorins L. ). Agric Biol Chem 1985;49:2969–74.
  24. Nahrstedt A, Lechtenberg M, Brinker A, Seigler DS, Hegnauer R. 4-Hydroxymandelonitrile glucosides, dhurrin in Suckleya suckleyana and taxiphyllin in Girgensohnia oppositifolia (Chenopodiaceae). Phytochemistry 1993;33:847–50.
  25. Fleming FF. Nitrile containing natural products. Nat Prod Rep 1999;16:597–606.
  26. Willems MA. Cyanogenic glucoside from Ilex aquifolium. Phytochemistry 1988;27:1852–3.
  27. Nielsen KA, Olsen CE, Pontoppidan K, Møller BL. Leucine-derived cyanoglucosides in barley. Plant Physiol 2002;129:1066–75.
  28. Saito S, Motawia MS, Olsen CE, Møller BL, Bak S. Biosynthesis of rhodiocyanoside A is synthesized from (Z)-2-methylbutanaloxime via 2-methyl-2-butenenitrile. Phytochemistry 2012;77:260–7.
  29. Simpol LR, Otsuka H, Ohtani K, Kasai R, Yamasaki K. Nitrile glucosides and rosmarinic acid, the histamine inhibitor from Ehretia philippinensis. Phytochemistry 1994;36:91–5.
  30. Zhang H, Liao ZX, Yue JM. Cyano and nitro-containing compounds from the roots of Semiaquilegia adoxoides. Chin J Chem 2004;22:1200–3.
  31. Shanker K, Gupta MM, Srivastava SK, Bawankule DU, Pal A, Khanuja SPS. Determination of bioactive nitrile glycoside(s) in drumstick (Moringa Oleifera) by reverse phase HPLC. Food Chem 2007;105:376–82.
  32. Messanga BB, Kimbu SF, Sondengam BL, Martin MT, Bodo B. Triflavonoids of Ochna calodendron. Phytochemistry 2002;59:435–8.
  33. Murakami A, Ohigashi H, Tanaka S, Hirota M, Irie R, Takeda N, et al. Bitter cyanoglucosides from Lophira alata. Phytochemistry 1993;32:1461–6.
  34. Tih AE, Tih RG, Sondengam BL, Martin MT, Bodo B. Lanceolins A and B: nitrile glycosides esters from Lophira lanceolata. J Nat Prod 1994;57:971–4.
  35. Messanga BB, Ghogomu R, Sondengam BL, Blond A, Bodo B. Lanceolin C, a new nitrile glycoside from Lophira alata. Fitoterapia 1998;69:439–42.
  36. Elliger CA, Waiss AC, Lundin RE. Simmondsin, an unusual 2-cyanomethylenecyclohexyl glucoside from Simmondsia californica. J Chem Soc Perkin I 1973;2209–12.
  37. Tih AE, Ghogomu RT, Sondengam BL, Caux C, Bodo B. Constituents of Lophira alata leaves. Biochem Syst Ecol 2003;31:549–51.
  38. Tih AE, Ghogomu RT, Sondengam BL, Caux C, Bodo B. Minor biflavonoids from Lophira alata leaves. J Nat Prod 2006;69:1206–8.
  39. Sosa A, Winternitz F, Wylde R, Pavia AA. Structure of a cyanoglucoside of Lithospermum purpureo-caeruleum. Phytochemistry 1977;16:707–9.
  40. The Angiosperm Phylogeny Group. An update of the Angiosperm Phylogeny Group classification for the orders and families of flowering plants: APG II. Botanical Journal of the Linnean Society 2003;141:399–436.
  41. Judd WS, Olmstead RG. A survey of tricolpate (eudicot) phylogenetic relationships. Am J Bot 2004;91:1627–44.
  42. Soltis PS, Soltis DE. The origin and diversification of angiosperms. Am J Bot 2004;91:1614–26.
  43. Erdemgil FZ, Baser KHC, Akbay P, Sticher O, Ҫalis I. Thalictricoside, a new phenolic compound from Thalictrum orientale. Z Naturforsch 2003;58c:632–6.
  44. Han Q, Jiang B, Mei S, Ding G, Sun H, Xie J, Liu Y. Constituents from the roots of Semiaquilegia adoxoides. Fitoterapia 2001;72:86–8.
  45. Niu F, Cui Z, Chang HT, Jiang Y, Chen FK, Tu PF. Constituents from the roots of Semiaquilegia adoxoides. Chin J Chem 2006;24:1788–91.
  46. Sano T, Matsumura I, Nakamura R. Genetic and chemical comparison of Boi and Seifuto. J Nat Med 2010;64:257–65.
  47. Wu J, Fairchild EH, Beal JL. Lithospermoside and dasycarponin, cyanoglucosides from Thalictrum dasycarpum. J Nat Prod 1979;42:500–11.
  48. Elliger CA, Waiss AC, Lundin RE. Cyanomethylenecyclohexyl glycosides from Simmondsia californica. Phytochem Rep 1974;13:2319–20.
  49. Chen CC, Chen YP, Hsu HY. Bauhinin, a new nitrile glucoside from Bauhinia championii (Leguminosae). J Nat Prod 1985;48:933–7.
  50. Nakanishi T, Nishi M, Somekawa M. Structures of new and known cyanoglucosides from a north american plant Purshia tridentata DC. Chem Pharm Bull 1994;42:2251–5.
  51. Ueda K, Yasutomi K, Mori I. Structure of a new cyanoglucoside from Ilex warburgii Loesn. Chem Lett 1983;149–50.
  52. Willems M. Quantitative determination and distribution of a cyanogenic glucoside from Ilex aquifolium. Planta Med 1989;2:195.
  53. Bremer B, Bremer K, Heidari N, Erixon P, Olmstead RG, Anderberg AA, et al. Phylogenetics of asterids based on 3 coding and 3 non-coding chloroplast DNA markers and the utility of non-coding DNA at higher taxonomic levels. Mol Phyl Evol 2000;24:274–301.
  54. Olmstead RG, Kim KJ, Jansen RK, Wagstaff SJ. The phylogeny of the Asteridae sensu lato based on chloroplast ndhF gene sequences. Mol Phyl Evol 2000;16:96–112.
  55. Wang ZB, Gao HY, Yang CJ, Sun Z, Wu LJ. Novel cyanoglucosides from the leaves of Hydrangea macrophylla. Helv Chim Acta 2011;94:847–52.
  56. Kumarasamy Y, Fergusson ME, Nahar L, Sarker SD. Bioactivity of moschamindole from Centaurea moschata. Pharm Biol 2002;40:307–10.
  57. Nicollier GF, Pope DF, Thompson AC. Biological activity of dhurrin and other compounds from Johnson grass (Sorghum halepense). J Agric Food Chem 1983;31:744–8.
  58. Ito H, Miyake M, Nishitani E, Mori K, Hatano T, Okuda T, et al. Anti-tumour promoting activity of polyphenols from Cowania mexicana and Coleogyne ramosissima. Cancer Lett 1999;143:5–13.