
1Department of Pharmaceutical Chemistry, Faculty of Pharmacy, Parul University, Vadodara, Gujarat, India, 2Department of Pharmaceutical Chemistry, Shri Sarvajanik Pharmacy College, Mehsana, Gujarat, India, 3Department of Pharmacology, Faculty of Pharmacy, Parul University, Vadodara, Gujarat, India, 4Department of Pharmaceutical Chemistry, Ramanbhai Patel College of Pharmacy, Charotar University of Science and Technology, Changa, Gujarat, India
Email: ishanpharma@gmail.com
Received: 19 Aug 2017 Revised and Accepted: 02 Nov 2017
ABSTRACT
Objective: The present work deals with the designing, scoring, synthesis and, characterization of 1-(4-(2-(4-Substitutedphenylamino)-2-oxoethyl)phenylsulfonyl)-3-(4-substitutedbenzoyl)urea (5A-5B),1-(4-(2-(4-substitutedphenylamino)-2-oxoethyl)phenylsulfonyl)-3-(4-substituted-benzoyl)guanidine(5C-5E) and, 1-(4-Substitutedbenzoyl)-3-(4-(2-oxo-2-(piperazin-1-yl)ethyl)phenylsulfonyl)urea (5F-5H) based derivatives as hypoglycemic agents.
Methods: Docking calculations were performed to predict the binding affinity between the AKR1C1 complexes and sulphonylureas compounds using the Glide docking program. Docking studies on LigPrep treated ligands were carried out to predict the binding pocket of protein 4YVP using the docking program. The QikProp program was used to predict the ADME/T properties of the analogues. All these newly synthesized compounds were screened for their in vivo hypoglycemic activity by most relevant animal models like alloxan-induced diabetic rats by measuring blood plasma concentration compared with reference drug glibenclamide.
Results: Novel compounds 1-(4-(2-(4-Substitutedphenylamino)-2-oxoethyl)phenylsulfonyl)-3-(4-substitutedbenzoyl)urea (5A-5B), 1-(4-(2-(4-substitutedphenylamino)-2-oxoethyl)phenylsulfonyl)-3-(4-substitutedbenzoyl) guanidine (5C-5E), and 1-(4-Substitutedbenzoyl)-3-(4-(2-oxo-2-(piperazin-1-yl)ethyl)phenylsulfonyl)urea (5F-5H) were synthesised and characterized using spectral and analytical data. The results of molecular docking and in vivo hypoglycemic activity, all compounds have shown considerable activity with respect to glibenclimide, but compounds 5D (52.49±7.73) and 5E(48.18±4.22)are equipotent with respect to activity as compared to standard glibenclamide(55.97±3.19).
Conclusion: Compounds 5D and 5E have exhibited good hypoglycemic activity,hence both the derivatives will consider as a lead molecule and further some modification in their structures to get a more potent anti-diabetic agent.
Keywords: Diabetes mellitus, Sulphonylureas, ADME/T, AKR1C1, QikProp, Alloxan
© 2017 The Authors. Published by Innovare Academic Sciences Pvt Ltd. This is an open access article under the CC BY license (http://creativecommons.org/licenses/by/4.0/)
DOI: http://dx.doi.org/10.22159/ijpps.2017v9i12.21937
Diabetes mellitus (DM) is a major degenerative disease in the today’s world. It is a group of disorders of carbohydrate metabolism resulting from body's failure to produce insulin in Type 1 and insulin resistance in Type 2 diabetes mellitus through altered secretion, decreased insulin activity, or a combination of both factors and characterized by hyperglycaemia [1]. In Type 1 diabetes, the cause is an absolute deficiency of insulin secretion caused by pancreatic beta cell destruction. In
Type 2 diabetes, which is a much more prevalent category, the cause is a combination of resistance to insulin action and an inadequate compensatory insulin secretory response [2]. Several epidemiological and clinical studies indicate a direct relationship between hyperglycemia and long-term complications such as retinopathy, nephropathy, neuropathy like micro and macro vascular complications. This disease is associated with reduced life expectancy significant morbidity due to specific diabetes-related microvascular complications that diminish the quality of life. India became the diabetic capital of the world with over 20 million diabetics and this number is set to increase to 57 million by 2025 [3].
Numerous drugs such as sulfonylureas and biguanides are presently available to reduce hyperglycemia in diabetes mellitus. These drugs have side effects and thus searching for a new class of compounds is essential to overcome this problem [4]. The onset of insulin in the body, which causes an abnormal effect on glucose metabolism, is related not only to the development of Type II diabetes but also to cardiovascular disease [5]. Sulfonylureas [6-18] are the backbone of antidiabetic therapy for many years. Thus, it was thought to develop new antidiabetic agents with higher efficacy and lower toxicity for the long-term treatment of type II diabetes mellitus. Searching for new, safer anti-diabetic agents are still a challenge for medicinal chemists. Hui-bin Zhang et al. has reported1-(4-(2-(4-substituted phenyl sulfonamide) ethyl) phenylsulfonyl)-3-(4-substituted phenyl) thiourea/ urea derivatives with benzene sulfonamide groups as potential hypoglycemic agents [15]. Abbas Ahmadi et al. has reported the synthesis and investigating hypoglycemic and hypolipidemic activities of some glibenclamide analogues in rats [18].

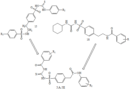
Fig. 1: Structures of lead compound and (5A-5E) synthesized a compound
Based on extensive literature review, we have designed and synthesized the compounds and subjected to In silico docking studies. The best-scored compounds further explored for In vivo biological activity and In silico ADMET study. Fig. 1 shows the lead compounds and targeted derivatives.

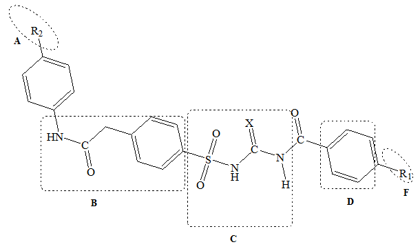
Fig. 2: Influences of structural components in determining the structure-activity relationship: A) halogen atoms enhancing binding affinity and insulin secretion; B) acid amide moiety enhancing binding affinity by the factor 1000 in comparison to tolbutamide; C) acidic sulfonylurea group essential for binding; [19] D) benzene moiety increasing lipophilicity) nitro group at the para position in compound to produce significant blood glucose lowering activity [20]
Materials
Laboratory grade chemicals and reagents were collected from Sigma Alderich and Loba Chemie. The reactions were monitored by thin layer chromatography on TLC silica gel 60 F254 plates for completion of the reaction; mobile phase solvents were selected as n-hexane: ethyl acetate (7:3). Melting points of all the synthesized compounds were checked in capillary tubes by using a melting point apparatus (VEEGO melting point apparatus).
All the compounds were characterized by FT-IR spectrometer (Bruker); 1H NMR, 13C NMR spectra were obtained from 400 MHz NMR Spectrometer (Brüker Biospin, Switzerland) CoE Rajkot, Gujarat. The molecular mass of synthesized compounds was performed in Mass spectrophotometer (O2h discovery, Ahmedabad and synzeal research Pvt Ltd, Gandhinagar).
Molecular docking study
The Crystal structure of alpha ketoreductase (AKR1C1) complexes with glibenclamide complexes with hypoglycemic drug glibenclamide (PDB ID: 4YVP) was imported and prepared by a multistep process through the protein preparation wizard of Maestro (version 10.4, Schrodinger, LLC, New York, NY) from protein data bank. The protein preparation was done by protein preparation wizard of the maestro. During protein preparation, hydrogen atoms were added and water molecules within 5A ° of the co-crystallized ligand were removed. The Protonation states of entire systems were adjusted to the pH range of 7.0±2.0 using Epik v3.4 and the geometry optimization was performed to a maximum root mean square deviation (RMSD) of 0.3 A ° with the OPLS (Optimized Potentials for Liquid Simulation) 2005 force field. Docking calculations were performed to predict the binding affinity between the AKR1C1 complexes and sulphonylureas compounds using the Glide docking program [21]. The chemical structures of designing compounds were built using Maestro 10.4. Ligand structures were submitted to the energy minimization using the OPLS force field until the energy difference between subsequent structures was 0.001 KJ/Mol A °. The possible tautomers of legends maintaining original stereochemistry were explored using Lig Prep (version 3.0, Schrodinger, LLC, New York, NY. Lig Prep generated multiple conformations using confusion, and ionization states were generated for all the compounds by using Epik 3.4. A single legend was searched for multiple conformations based on torsional angles. Molecular docking studies on LigPrep treated legends were carried out to predict the binding pocket of protein 4YVP using the glide docking program.
In silico ADME/T property analysis
The QikProp program of maestro was used to predict the ADME/T properties of the analogues. All the analogues were neutralized before being used by QikProp (V4.6, 2015). QikProp helps in analyzing the pharmacokinetics and pharmacodynamics of the legend by accessing the drug-like properties. Lipinski’s rule of five provides a method of assessing the likelihood that a given molecule could be orally bioavailable based on a series of physicochemical requirements, not more than one of which should be violated. Molecules violating any of these rules may have problems with bioavailability. [22] It was also evaluated the acceptability of analogues based on Lipinski’s rule of five which was essential to ensure drug-like properties. The number of physical descriptors as well as pharmaceuticals relevant properties of all sulphonylureas analogues using QikProp was analyzed, amongst that the significant descriptors were reported and are important for predicting the drug−like properties of molecules. The properties include H−bond Donor (0.0−6.0), H−bond Acceptor (2.0−20.0), Predicted water/gas partition coefficient. (QPlogpw) (5.0−48.0), Predicted octanol/water partition coefficient (QPlogPo/w) (–2.0 to 6.5), Predicted aqueous solubility (QPlogS) (–6.0 to 0.5). The values represented in the bracket are standard values for each parameter [23-25].
Experimental section
Chemistry–Scheme 1 and 2
General procedure for Synthesis of 1-(4-(2-(4-Substitutedphenyl-amino)-2-oxoethyl) phenylsulfonyl)-3-(4-substituted-benzoyl) urea (5A-5B)
The compounds (5A-5B) were prepared by following the literature method. [26] The novelty of all of the compounds was checked by Sci finder report [27].
Synthesis of 5A-5B was achieved by fridalcraft alkylation of 1-(4-substituted benzoyl)-3-(phenylsulfonyl)urea (0.1 mmol) and N-(4-substituted phenyl)-2-chloroacetamide (1 mmol) kept on reflux for 7 h in the presence of anhydrous AlCl3 and dry DCM (50 ml) as a solvent. A reaction mixture was monitored by TLC. The resultant mixture was poured onto crushed ice. The separated solid was filtered and recrystallized with rectified spirit.
General procedure for Synthesis of 1-(4-(2-(4-substituted phenylamino)-2-oxoethyl) phenylsulfonyl)-3-(4-substituted benzoyl) guanidine (5C-5E):
Synthesis of 5C-5E was achieved by fridal craft alkylation of 1-(4-Substituted benzyl)-3-(phenylsulfonyl) guanidine (0.1 mmol) and N-(4-substituted phenyl)-2-chloroacetamide (1 mmol) kept on reflux for 7 h in the presence of anhydrous AlCl3 and dry DCM (50 ml) as a solvent. A reaction mixture was monitored by TLC. The resultant mixture was poured onto crushed ice. The separated solid was filtered and recrystallized with rectified spirit.
General procedure for Synthesis of 1-(4-Substituted benzyl)-3-(4-(2-oxo-2-(piperazin-1-yl) ethyl) phenylsulfonyl) urea (5F-5H):
Synthesis of 5F-5H was achieved by fridal craft alkylation of 1-(4-Substituted benzyl)-3-(phenylsulfonyl) urea (0.1 mmol) and 2-Chloro-1-(piperazin-1-yl)ethanone(1 mmol) kept on reflux for 7 h in the presence of anhydrous AlCl3 and dry DCM (50 ml) as a solvent. A reaction mixture was monitored by TLC. The resultant mixture was poured onto crushed ice. The separated solid was filtered and recrystallized with rectified spirit.
Spectral data
1-(4-(2-(4-Bromophenylamino)-2-oxoethyl) phenylsulfonyl)-3-(4-nitrobenzoyl) urea (5A)
Yield: 55%, M. P 140-142 °C; Rf = 0.70 (ethyl acetate: hexane 2:8 v/v) IR (KBr) (cm1): 3648(N-H)str, 2973(C-H), 1169(S=O), 1568(C-C,Ar), 848(C-Br).
1H NMR (DMSO): δ (ppm) 3.40(s,2H,CH2), 7.12(d,2H,ArH), 7.60 (d,6H,ArH),8.36(d,2H,ArH),8.21(d,2H,ArH),8.18(s,1H,NH),10.41(s,1H,NH); MS: m/z: 561(M+1); 13C NMR (DMSO):157.04, 43.45, 164, 116.31,120.2,120.3,124.6,124.6,130.11,125
1-Benzoyl-3-(4-(2-oxo-2-(phenylamino) ethyl) phenylsulfonyl) urea (5B)
Yield: 75%; gray crystalline powder; M. P=164-166 °C; ; Rf = 0.75 (ethyl acetate: hexane 2:8 v/v) IR (KBr) (cm-1):3263(N-H) str,2973(C-H),1190(S=O),1590(C-C, str Ar);1HNMR(DMSO): δ(ppm) 3.42(s,2H,CH2),7.16(d,2H,ArH), 7.26(d,2H,ArH), 7.60(d,6H, ArH), 8.32(d,2H,ArH),8.21(d,2H,ArH),8.14(s,1H,NH), 1.40(s,1H,NH); MS: m/z: 439.2(M+2); 13C NMR (DMSO):43.45,164, 116.31,120.2, 120.3, 124.6,124.6,130.11,125,130
1-benzoyl-3-(4-(2-oxo-2-(phenylamino) ethyl) phenylsulfonyl) guanidine (5C)
Yield: 80%; gray crystalline powder; M. P=156-158 °C; Rf = 0.65 (ethyl acetate: hexane 2:8 v/v) IR (KBr) (cm-1): 3449(N-H) str,1691(C=O) str, 2989(C-H), 1187(S=O), 1590(C-C,Ar),1HNMR (DMSO): δ (ppm)3.44(s,2H,CH2),2.51(s,1H,NH), 7.98(s,1H,NH), 7.65 (d,2H,ArH),7.16(d,2H,ArH),7.60(d,6H,ArH)8.17(d,4H,ArH); MS: m/z: 437.2(M+1);13C NMR (DMSO):43.45,164, 118.31, 122,126, 130.11
1-(4-(2-(3-Fluorophenylamino)-2-oxoethyl) phenylsulfonyl)-3-(4-nitrobenzoyl) guanidine (5D)
Yield: 65%;M. P: 116-118 °C. Rf = 0.65 (ethyl acetate: hexane 3:7 v/v) IR (KBr) (cm-1): 3274(C-H),1724(C-O),1625(C-H,Ar), 1157 (S=O),1568(N-O) str,1355(N-O) str,1102(S=O); MS: (m/z): 500[M+1]; 1H NMR (δ ppm): 3.45(s,2H,CH2), 2.50(s,1H,NH), 7.98(s,1H,NH),7.65(d,2H,ArH),7.16(d,2H,ArH),7.60(d,6H,ArH),8.20(d,2H,ArH); 13C NMR (DMSO):157.04,38.81, 40.07,164.53, 115.31, 134.88
1-(4-Nitrobenzoyl)-3-(4-(2-oxo-2-(phenylamino) ethyl) phenyl-sulfonyl) guanidine (5E)
Yield: 55%; M. P=112-114 °C. Rf value: 0.5 (ethyl acetate: hexane: 0.7:0.3). IR (KBr) (cm-1): 3361(N-H) str,1638(C=O) str,1474(C-H,Ar),2974(C-H),1170(S=O),1560(N-O) str,1365(N-O) str; MS (m/z): 480.3[M]; 1HNMR (δ ppm) 2.31 (s, 2H, CH2), 10.41(s,1H,NH), 8.32(s,1H,NH),8.17(s,1H,NH),7.46-7.68(d,4H,ArH),7.0-7.46(d,5H, ArH), 8.21-8.37(d,4H,ArH)
1-(4-Nitrobenzoyl)-3-(4-(2-oxo-2-(piperazin-1-yl)ethyl) phenylsulfonyl)urea(5F)
Yield: 58%; M. P=122-126 °C. Rf value: 0.5 (mobile phase: ethyl acetate: hexane: 0.3:0.7). IR (KBr) (cm-1): 3361(N-H),1638(C=O) str,1574(N-O),1345(N-O)2974(C-H),1170(S=O);MS (m/z): 476 [M+1].1.71(s,1H,NH),7.6-8.02(d,4H,ArH),7.20-7.55(d,4H,ArH) 3.40 (s,2H,CH2),3.33(t,4H,H2 and H6piperazine), 1.92(t,4H, H3 and H5 piperazine)
1-benzoyl-3-(4-(2-oxo-2-(piperazin-1-yl)ethyl)phenyl-sulfonyl) urea(5G)
Yield: 37%; M. P=148-152 °C. Rf value: 0.5 (mobile phase: ethyl acetate: hexane: 0.3:0.7);IR (KBr) (cm-1):1719(C-O) str,1510(C-H,Ar),2927(C-H),1275(S=O);MS(m/z):431(M+1);1HNMR (δ ppm): 1.75(s,1H,NH),8.03(d,2H,ArH),7.35(d,2H,ArH)3.41(s,2H,CH2),3.34(t,4H,H2 and H6 piperazine),1.95(t,4H, H3 and H5 piperazine)
1-(4-Fluorobenzoyl)-3-(4-(2-oxo-2-(piperazin-1-yl) ethyl) phenyl-sulfonyl) urea(5H)
Yield: 42%; M. P=112-114 °C. Rf value: 0.5 (mobile phase: ethyl acetate: hexane: 0.3:0.7); IR (KBr) (ƛval in cm-1):1719 (C=O),1157(S=O),711(C-F),1510(C-H,Ar),2927(C-H); MS (m/z): 450(M+2); 1HNMR (δ ppm):1.72 (s,1H,NH), 8.12(d,2H,ArH), 7.32(d,2H,ArH)3.45(s,2H,CH2),3.38(t,4H,H2 and H6piperazine), 1.99(t,4H, H3 and H5 piperazine)
In vivo biological evaluation
Albino wistar rats (Parul University, Vadodara) were used for in vivo biological evalution of novel hypoglycemic agents. Experiments were carried out in male rats have weight between 150-200 g. They were housed (six per cage) in plastic cages (47 cm × 34 cm × 18 cm) lined with husk renewed every 24 h under standard laboratory conditions maintained at 25±10 °C and under 12/12 hour light/dark cycle. The rats were fed on pelletdiet (Hindustan Lever, India). Drinking water was allowed ad libitum. The experimental protocol was approved by the institutional animal ethics committee (Protocol No: PIPH 03/16) and by the animal regulatory body of the Indian Government (Registration No: 921/PO/EReBi/S/ 05/CPCSEA/ PIPH03).
Diabetes was induced in the rats by a single intraperitoneal injection of alloxan (150 mg kg-1 body weight). Since alloxan is capable of producing fatal hypoglycaemia as a result of the massive pancreatic insulin release, rats were treated with 20% glucose solution (15-20 ml) intraperitoneally after 6h. The rats were then kept for the next 24h on 5% glucose solution bottles in their cages to prevent hypoglycaemia. [28] After 1 w, rats with moderate hyperglycaemia with blood glucose range of 200-400 mg dl−1 were used for the study. Blood was collected from the tail vein. All of the target molecules were given to the diabetic rats orally in the form of a suspension in carboxymethyl cellulose.
Experimental design
In the experiment, a total of 66 rats (60 diabetic surviving rats+6 normal rats) were used. One week before starting the treatment, diabetes was induced in rats. The rats were divided into eleven groups as follows.
Group I: Normal-Normal controlled rats fed with 0.5 ml of normal saline.
Group II: Diabetic control (DC) rats; fed with 0.5 ml of normal saline.
Group III: Diabetic rats treated with standard drug Glibenclamide 5 mg/kg body wt.
Group IV: Diabetic rats; treated with synthesized drug No 5A in 1% CMC 50 mg/kg of body weight.
Group V: Diabetic rats; treated with synthesized drug No 5B in 1% CMC 50 mg/kg of body weight
Group VI: Diabetic rats; treated with synthesized drug No 5C in 1% CMC 50 mg/kg of body weight
Group VII: Diabetic rats; treated with synthesized drug No 5D in 1% CMC 50 mg/kg of body weight
Group VIII: Diabetic rats; treated with synthesized drug No 5E in 1% CMC 50 mg/kg of body weight
Group IX: Diabetic rats; treated with synthesized drug No 5F in 1% CMC 50 mg/kg of body weight
Group X: Diabetic rats; treated with synthesized drug No 5G in 1% CMC 50 mg/kg of body weight
Group XI: Diabetic rats; treated with synthesized drug No 5H in 1% CMC 50 mg/kg of body
The dose for the newly synthesized compounds was decided on the basis of literature survey. [29] Glibenclamide was taken as the standard. The blood glucose level was determined at 0 and 3 h after administration of test compound using glucometer (Johnson and Johnson Pvt. Ltd.) % reduction in plasma glucose level was calculated for each animal.
Statistical analysis
Measurement data were tabulated as means±SEM Data were analyzed using One-Way Analysis of Variance (ANOVA) followed by Turkey's multiple comparison post hoc tests [30] using the Graph Pad Prism 5.3, San Diego, CA and **P<0.01 as the level of significance.

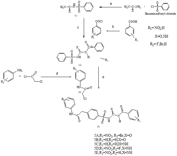
Scheme 1: Synthetic route for the preparation of the sulphonylureas/gaunidine derivatives Reagents and conditions, (a) Pyridine,CH3CH2OH,Reflux (yield>75%); (b) SOCl2,reflux,3 h,(yield>60%); (c) Pyridine,CH3CH2OH,Reflux (yield>80%); (d) DRY THF,0 TO RT,Stirring,4 h, rt (yield>85%).(e) Nitrobenzene,FeCl3,reflux,6 h, (yield>60%)

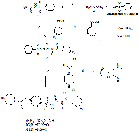
Scheme 2: Synthetic route for the preparation of the sulphonylureas/gaunidine derivatives Reagents and conditions: (a) Pyridine,CH3CH2OH,Reflux (yield>70%); (b) SOCl2,reflux,3 h,(yield>60%); (c) Pyridine,CH3CH2OH,Reflux (yield>80%); (d) DRY THF,0 TO RT,Stirring,4 h, rt (yield>85%).(e) Nitrobenzene,FeCl3,reflux,7 h.(yield>60%)
In silico docking and ADME/T analysis
During the docking result analysis, it was found that most of the compounds have shown significant binding interactions with enzyme and from the binding interaction, it was observed that the benzene ring,-F,-NO2,-SONH2 groups are important for binding but not only the structural requirement to evoke AKR1C1 inhibition. The hydrogen bond interactions and π-π stacking were also contributed to the strong binding of these compounds to the binding site of AKR1C1. All compounds also follow the Lipinski rule of five (LRoF) which proved the drug-likeness properties based on ADME/T properties analysis of designed and synthesized compounds by QuickPro software.
The results were obtained as docking score, i.e. binding energy which is mentioned in table 1. The results of in silico toxicity studies mentioned in table 2. The all designed compounds have shown a good binding affinity in comparison with standard glibenclamide, out of this compound 5A,5D,5G, and 5H showed a more binding affinity in comparison with glibenclamide. Binding cavity and interaction with the various amino acid residues with the compound 5H were shown in fig. 3

Fig. 3: Interaction of AKR1C1 with a synthesized moiety
Table 1: Docking result of 5A-5H compounds
| Comp id | Docking score | Glide energy | Glide emodel | XP H Bond | XP PhobEn | XP Electro |
| 5A | -8.086 | -79.887 | -128.459 | 0 | -1.9 | -0.663 |
| 5C | -9.237 | -72.041 | -126.811 | -1.712 | -1.783 | -1.411 |
| 5B | -9.237 | -72.043 | -124.811 | -1.732 | -1.788 | -1.413 |
| 5D | -9.035 | -58.063 | -105.037 | -1.294 | -2.236 | -0.569 |
| 5E | -9.796 | -60.495 | -109.31 | -0.631 | -2.7 | -0.139 |
| 5F | -9.738 | -65.251 | -118.19 | -1.33 | -2.386 | -0.861 |
| 5G | 10.7 | -64.1 | 102.15 | -0.86 | -1.61 | -1.175 |
| 5H | -10.4 | -63.86 | -98.146 | -3.46 | -1.45 | 0 |
| Gli | -9.035 | -58.063 | -105.375 | -2.331 | -2.7 | -1.021 |
Table 2: Predicted ADME/T properties of compounds by using QikProp
| Code | H-Bond donor | H-bond acceptor | Q PlogPoct | Q PlogPw | Q Plog Po/w | Q PlogS |
| (8.0-43.0)* | (5.0-48.0)* | (-2.0-6.0)* | (-6.0-0.5)* | |||
| 5A | 1 | 7.5 | 25.033 | 15.739 | 3.308 | -7.163 |
| 5E | 1 | 5.5 | 22.783 | 11.908 | 4.123 | -7.457 |
| 5F | 1 | 9.5 | 23.132 | 18.606 | 0.051 | -2.604 |
| 5G | 1 | 8.5 | 22.805 | 16.81 | 0.853 | -2.907 |
| 5H | 3 | 7 | 21.849 | 10.714 | 1.160 | -3.15 |
| Gli | 2 | 6.75 | 24.972 | 13.782 | 4.289 | -4.931 |
Chemistry
Compound 1 was synthesized by reacting benzene sulphonyl chloride with an excess amount of urea/guanidine in the presence of pyridine (0.2 ml) under reflux condition for 5 h. The reaction mixture was monitored by thin layer chromatography. Different derivatives (NO2,H and F) of benzene carboxylic acid were converted into benzene carbonyl chloride 2 with the help of SOCl2 under reflux condition for 3 h. Compound 1 was dissolved in absolute alcohol and reacted with compound 2 under reflux condition for 2 h. Pyridine (0.2 ml) was taken as a catalyst. The reaction mixture was poured into ice-cold water; solid product was isolated and recrystallizes with rectified spirit. Various derivatives of aniline (F, and Br) were stirred with chloro acetyl chloride under the cooling condition for 4 h in fuming hood. After addition of ice cold water in a reaction mixture, solid crystals were isolated.
Fridal crafts alkylation was performed to prepare1-(4-(2-(4-Substitutedphenylamino)-2-oxoethyl) phenylsulfonyl)-3-(4-substi-tutedbenzoyl)urea 5A-5B and 1-(4-(2-(4-substituted-phenylamino)-2-oxoethyl) phenylsulfonyl)-3-(4-substituted benzoyl) guanidine 5C-5E as illustrated in scheme (1), an appropriate1-(4-Substituted benzoyl)-3-(phenylsulfonyl) guanidine and N-(4-substituted phenyl)-2-chloroacetamide. Nitrobenzene was used as a solvent and anhydrous FeCl3 as a catalyst. Reflux was done for 6 h and the mixture was poured in ice cold water to get final product 5. The synthesis of piperazine derivatives 5F-5H was done as illustrated in the scheme (2), by reflux between 1-(4-Substituted benzoyl)-3-(phenylsulfonyl) urea and 2-Chloro-1-(piperazin-1-yl) ethanone for 7 h in the presence of anhydrous AlCl3 and dry DCM (50 ml) as a solvent. The entire target compounds 5A-5H were purified by recrystallization. The reaction of all targeted molecules was monitored by thin layer chromatography. Ethyl acetate and hexane was used as mobile phase.
Spectral characterization
It was done with Infra-red spectroscopy, mass spectroscopy, and 1H and 13C nuclear magnetic resonance for all target compounds. For mass spectroscopy, we were getting M (5E), M+1(5D, 5G, 5F), M+2(5H) for different target compounds.5H contain F atom at the para position so M+2 peak obtain. In 1H NMR doublet was obtained for aromatic hydrogen between 7 to 8 delta values. In the same way singlet of NH of urea/guanidine derivatives is obtained between 7.98 to 10.41. The absorption band at 1691 cm-1(5C), 1724 cm-1(5D), 1719 cm-1(5G), and 1715 cm-1(5H) corresponds to C=O stretching of carbonyl and amide. Also, single N-H stretching was observed at 3449 cm-1(5C), 3274 cm-1(5D), 3361 cm-1(5E), and 3263 cm-1(5B) gives strong hint about secondary amine of targeted compounds. Halogen stretching was present at 848 cm-1 (C-Br, 5A), and 1157 cm-1(C-F, 5H).
Biological evaluation
Alloxan induces diabetes by damaging the insulin-secreting cells of the pancreas leading to hyperglycaemia. The ability of target molecules to bind with sulphonylureas receptor was determined by testing them at an albino wistar rate for measurement of reduction of blood sugar level. In our study, we have found that administration of compounds 5A-5H to diabetic rats reversed their blood glucose. The possible mechanism by which they brings about them hypoglycemic action may be by potentiation of the insulin effect of plasma by increasing either the pancreatic secretion of insulin from β-cells of islets of Langerhans or its release from the bound form. However, the Compound 5D and 5E contain NO2 group in a para position of the benzene ring which shows better % reduction of blood glucose level (table 3)) compare to other derivatives.
Table 3: In vivo hypoglycemic activity of compounds 5A-5H
| Group | % Reduction in plasma glucose level (mean±SEM) |
| Diabetic control | 0.29±1.05 |
| Glibenclamide | 55.97±3.19 |
| 5C | 45.88±3.17 |
| 5D | 52.49±7.73 |
| 5H | 46.40±6.1 |
| 5A | 39.24±2.08 |
| 5B | 43.25±4.11 |
| 5E | 48.18±4.22 |
| 5F | 39.07±1.88 |
| 5G | 41.26±2.78 |
Note: Values are given as mean±SD for six rats in each group. Experimental groups are compared with Glibenclamide. Values are statistically significant at ∗∗P<0.01 as compared with diabetic control
The docking study revealed that in all designed sulphonyl-ureas/guanidine series of compounds 5D, and 5E were found to be most potent compounds as per the binding energy compared to glibenclamide. So, the 4th of derivatives substituted with F, NO2, and which was shown better result compare to unsubstituted or substituted with other derivatives. Based on Quick Pro analysis of the all the analogues, it was proved that those compounds having better drug-like properties and follow the Lipinski’ rule of five. Subsequently, in vivo biological evaluation compound, 5D and 5E contain NO2 group which gives more % reduction of blood sugar level with compare to glibenclamide. Finally, it was concluded that result obtained from in vitro docking analysis and in vivo biological activity on rat are significantly same and the compound 5D and 5E can be used as a lead molecule for the further development of more potent sulphonylureas/guanidine-based derivatives as oral hypoglycemic agents.
Declared none
Salah A, Mostafa A, IhabTalat A. Design, synthesis and antidiabetic activity of some new 4-amino (or 6-oxo)-2-methyl/benzylthio (or substituted amino) pyrimidine derivatives. Bull Pharm Sci 201;34:149-58.
Diptimayee D, Prasanjit KD, Ratan JL. To evaluate the hypoglycemic effect of the fruit pulp extract of spondias pinnata Linn. Kurz on experimental Model of diabetes mellitus. Asian J Pharm Clin Res 2016;9:113-6.
Sridhar G. Diabetes in India: a snapshot of a panorama. Curr Sci 2000;83:791.
Kamaeswara R, Giri R, Kesavulu M, Apparao C. Effect of oral administration of bark extracts of Pterocarpussantalinus L. on blood glucose level in experimental animals. J Ethnopharmacol 2001;74:69-74.
Olefsky J, Garvey W, Henry R, Brillon D, Matthael S, Freidenberg G. Cellular mechanisms of insulin resistance in non-insulin-dependent (type II) diabetes. Am J Med 1998;5A:86.
Dhanaji V, Umesh R, Neha R, Arvind K, Ramrao A. Synthesis and antihyperglycemic evaluation of new 2,4-thiazolidine dione shaving biodynamic aryl sulfonylurea moieties. Bioorg Med Chem Lett 2012;22:436–9.
Xiongyu W, Yiqian W, Bianca P, Milad B, Mathias A. Aryl benzylimidazole having selective angiotensin II AT2 receptor agonists activity. J Med Chem 2006;49:7160–8.
Satyanand T, Sachin K, Amit K, Mohit S. Synthesis of analogues of sulphonylureas as antidiabetic drugs and their structure-activity studies. Int J Pharm Res 2010;1:1-16.
Ean Yves W, Jean-Michel D, Angela C, Andrea S. Carbonic anhydrase inhibitors having anti-diabetic activity. J Med Chem 2005;48:2121-4.
Hermenegilda M, Rafael V, Rolffy O, Daniel D, Gabriel NV. N-(6-substituted-1,3-benzothiazol-2-yl)benzenesulfonamides having anti-diabetic activity. Bioorg Med Chem Lett 2008;18:2871–7.
Nouraddin H, Soodeh S, Mohamad E, Mohammad H, Mehdi K, Saeed Fallah B, et al. Synthesis and antidiabetic evaluation of benzenesulfonamide derivatives. Ira J Pharma Res 2013; 12:325-30.
Santosh N, Elgire R, Nikhil S, Devanand B. Synthesis, the hypolipidemic and hypoglycemic activity of some novel 2-(4-(2-substituted aminothiazole-4-yl)phenoxy)-2-methyl propanoic acid derivatives. Bioorg Med Chem Lett 2011;21:682–5.
Ishan IP, Dhrubo JS, Bhavesh P, Samir KS. Serendipity of fluorine in discovery and development of antidiabetic agents: a bottleneck systemic review. World J Pharm Sci 2013;1:168-75.
Panchal I, Panigrahi B, Modh K, Patel CN. Design, synthesis and biological evaluation of some substituted sulphonyl urea/guanidine derivatives as hypoglycemic agents. Der Pharm Chem 2011;3:383-91.
Hui-bin Z, Ya-an Z, Guan-zhong W, Jin-pei Z, Wen-long H, Xiao-wen Hu. Synthesis and biological evaluation of sulfonylurea and thiourea derivatives substituted with benzenesulfonamide groups as potential hypoglycemic agents. Bioorg Med Chem Lett 2009;19:1740–4.
Hong Woo L, Bok Young K, Joong Bok Ahn, Sung Kwon K, Jung Hwa L, Jae Soo S, et al. Molecular design, synthesis and hypoglycemic and hypolipidemic activities of novel pyrimidine derivatives having thiazolidinedione. Eur J Med Chem 2005;40:862–74.
Hassan M, Khalid A, Abdullah M. Synthesis and biological evaluation of new 3,5-di(trifluoromethyl)-1,2,4-triazolesul-fonylurea and thiourea derivatives as antidiabetic and antimicrobial agents. J Fluo Chem 2011;132:870–7.
Abbas A, Mohsen K, Khadijeh K, Majid F, Babak NN. Synthesis and investigating hypoglycemic and hypolipidemic activities of some glibenclamide analogues in rats. Mini-Revi Med Chem 2014;14:208-13.
Schneider S, Ueberberg S, Korobeynikov A, Schechinger W, Schwanstecher C, Schwanstecher, et al. Synthesis and evaluation of a glibenclamide glucose-conjugate: a potential new lead compound for substituted Glibenclamide derivatives as islet imaging agents. Regulatory Peptides 2007;139:122-7.
Alok ST, Ravitas D, Arvind KJ, P Sudhir K. Synthesis and oral hypoglycemic effect of novel thiazine containing trisubstituted benzenesulfonylurea derivatives. Sau Pharma J 2015;23:475–82.
Zhao Y, Zheng X, Zhang H, Zhai J. In vitro inhibition of AKR1Cs by sulphonylureas and the structural basis. Chem Biol Interact 2015;240:310-5.
Sarath SK, Anjali T. In silico design and molecular docking studies of some 1, 2-benzisoxazole derivatives for their analgesic and anti-inflammatory activity. Int J Curr Pharm Res 2017;9:133-6.
Patel S, Shah U, Patel M, Upadhyay J. Molecular docking and in silico ADMET study reveals flavonoids as a potential inhibitor of aromatase. Lett Drug Design Discovery 2017;14:1-10.
Glideusermanual.isp.ncifcrf.gov/files/isp/uploads/2010/07/gli55_user_manual.html. [Last assessed on 20 Jan 2016]
Kerns EH, Li Di. Drug-like properties: concepts, structure design and methods: from ADME to Toxicity Optimization, Elsevier, San Diego, California; 2008.
Penny W. The comparison of friedel-crafts alkylation and acylation as a means to synthesize alkyl xylenes. Plymouth Student Scientist 2016;9:252-96.
Dhrubo JS, Ishan IP, Ashish DP. Scifinder® as a latest tool in innovative research within a new dimension for integrating scientific chemical databases. Eur J Pharma Med Res 2016;3:1-19.
Stanely M, N Kamalakkannan, Venugopal P. Antidiabetic and antihyperlipidaemic effect of alcoholic syzigium cumini seeds in alloxan induced diabetic albino rats. J Ethnopharmacol 2004:91:209–13.
Prakash S, Maji D, Samanta S, Sinha R. Design, synthesis and antidiabetic, cardiomyopathy studies of cinnamic acid-amino acid hybrid analogs. Med Chem 2014;4:345-50.
Prabu M, Kumuthakalavalli R. Antidiabetic potential of the oyster mushroom pleurotus florida (mont.) singer. Int J Curr Pharm Res 2017;9:51-4.