SHAABAN K. OSMAN1, GHAREB M. SOLIMAN2, MOHAMED AMIN1 AND ALAA ZAKY3
1Department of Pharmaceutics and Industrial Pharmacy, Faculty of Pharmacy, University of Al-Azhar, Assiut, Egypt, 2Department of Pharmaceutics, Faculty of Pharmacy, Assiut University, Assiut, 71526, Egypt. 3Department of Pharmaceutics and Industrial Pharmacy, Faculty of Pharmacy, University of Al-Azhar, Cairo, Egypt. Email: shaaban.k.osman@gmail.com
Received: 14 May 2014 Revised and Accepted: 24 June 2014
ABSTRACT
Objective: The development of injectable and stable hydrogels for protein delivery is a major challenge. Therefore, the objective of this study was to evaluate the potential of polymerized β-CD for the formulation of stable hydrogels suitable for loading and release of bioactive agents and to investigate the mechanism of hydrogel formation.
Methods: Hydrogels based on the inclusion complexation of polymerized β-cyclodextrin and cholesterol terminated poly(ethylene glycol) polymers were formed by rehydration of a lyophilized mixture of both polymers. The mechanism of hydrogel formation was investigated via isothermal titration calorimetry, fluorescence spectroscopy and dynamic light scattering measurements. The release behavior of bovine serum albumin (BSA) as a model protein from the modified gels was explored.
Results: Rheological analysis demonstrated that the prepared hydrogels had a viscoelastic behavior even at elevated temperature (> 37 ˚C). There are two competing mechanisms for hydrogel formation. The first mechanism is the inclusion complexation between cholesterol moieties and β-CD cavities. The second one is the self association of cholesterol modified PEGs. β-CD had the ability to dissociate the PEG-cholesterol associations. The quantitative and complete release of BSA was observed within 4 weeks.
Conclusion: The polymerized form of β-CD, rather than native β-CD is essential for the formation of stable hydrogels. These results were supported by the ability of the modified hydrogel system for loading and release of BSA, making such hydrogel systems promising devices in drug delivery applications.
Keywords: Hydrogels, Cholesterol, Adamantane, Bovine serum albumin (BSA), β-CD polymer, Inclusion complexation, Drug delivery.
INTRODUCTION
Hydrogels are promising candidates for various pharmaceutical and biomedical applications including tissue engineering and protein delivery because of their biocompatibility and high water content [1-3]. However, the cross-linking agents, required for chemically cross-linked hydrogels, can either bear a toxic potential or be of questionable compatibility that might conjugate and inactivate the entrapped drugs such as proteins especially if they are incorporated during hydrogel formation.
Also, the incorporation of drugs by sorption can be time consuming and provides only limited loading efficiency [4]. Therefore, formulations in which gel formation and drug loading occur simultaneously in an aqueous environment without covalent cross-linking (i.e. physical gels) are highly promising alternatives [5]. Recently, physical hydrogels have been prepared via formation of inclusion complexes between cyclodextrins (CDs) and hydrophobic guest molecules [6-9].
Beta-cyclodextrin has been widely used for improvement of solubility, stability and bioavailability of drugs [10, 11]. However, such applications are limited by the poor water solubility of β-CD (18 mg/ml) [12]. The poor solubility of β-CD could be attributed to its crystalline nature and is responsible for its nephrotoxicity, especially following parenteral administration. This problem can be overcome via transformation of β-CD into polymeric form (amorphous structure) [13, 14].
The polymerization can be achieved, for example, by polycondensation of β-CD with epichlorohydrin under strong alkaline conditions [14]. The high local concentration of binding sites in pβ-CD can improve its complexing ability (large amount of links) with hydrophobic guests and can be utilized for the formation of physically cross-linked hydrogels which are used in controlled drug delivery applications[5, 15-21]. Recently, poly(ethylene glycol)s end-capped with β-CD molecules (PEG-CD) were utilized for the formation of physical networks by adding cholesterol modified PEGs (PEG-chol) [9]. Surprisingly, hydrogels that were made of 8armPEG-chol and native β-CD showed an elastic response of higher strength compared to the hydrogel formed from 8armPEG20k-chol or those formed from 8armPEG-chol/8armPEG-CD. However, such hydrogels have a problem concerning their application as drug delivery systems since they disintegrate into multiple pieces within less than one hour following incubation in PBS. The brittleness of these gels has been ascribed to the crystalline β-CD domains and limits the applicability of such systems as subcutaneous drug delivery depot [22]. Therefore, a more stable β-CD hydrogel suitable for sustained drug release is highly desirable.
The aim of the present work was to design a stable β-CD hydrogel system suitable for drug delivery applications. Our starting hypothesis is that the use of polymeric form of β-CD (pβ-CD) will lead to a more stable hydrogel. The rheological properties of a hydrogel system based on the inclusion complexation between 8armPEG20k-chol and pβ-CD were investigated. A special focus was on the mechanism of hydrogel formation and the role pβ-CD in the improvement of mechanical stability of the modified hydrogels. Finally, the ability of the modified system to load and release a model protein, BSA was also studied.
MATERIALS AND METHODS
Materials
Poly(ethylene glycol) with molecular weights of 20kDa (PEG20k), 1-adamantyl isocyanate, N-(3-dimethylaminopropyl)-N’-ethylcarbodiimide (EDC), 1-hydroxybenzotriazole (HOBt), diisopropylazodicarboxylate (DIAD), triphenylphosphine (PPh3), pyrene, dibutyltindilaurate (DBDL), bovine serum albumin (BSA, Cohn fraction V, Mw 66 kDa), bicinchoninic acid disodium salt (BCA), Sigmacote ®, succinic anhydride (SA) and Sephadex G25 were obtained from Sigma-Aldrich (Taufkirchen, Schnelldorf, Germany). β-Cyclodextrin (β-CD) was purchased from Wacker Fine Chemicals (Wacker Chemie AG Burghausen, Germany). Cholesterol and phthalimide were purchased from Arcos organics (Geel, Belgium). Phosphate buffered saline (PBS) was obtained from Invitrogen GmbH (Karlsruhe, Germany). Four-armed poly(ethylene glycol) with molecular weights of 10kDa (4armPEG10k-OH) was purchased from Nektar Therapeutics (Huntsville, AL). Eight-armed poly(ethylene glycol) with molecular weights of 20kDa (8armPEG20k-OH) was purchased from Jenkem Technology (Beijing, P. R. China). Sodium azide, ethanol, tetrahydrofurane (THF), dichloromethane (DCM) and all other chemicals were of analytical grade and purchased from Merck KGaA (Darmstadt, Germany).
Synthesis of linear and branched poly(ethylene glycol)-adamantane and poly(ethylene glycol)-cholesterol polymers
The modification of poly(ethylene glycol) end groups with either adamantane (PEG-ad) or cholesterol (PEG-chol) was carried out according to the previously reported procedure [23]. Regarding adamantane-modified PEGs, they were synthesized by the reaction of PEGs with adamantane isocyanate in the presence of DBDL and TEA as catalysts (Figure 1a). Also, cholesterol-modified PEGs were synthesized by the reaction of amino PEGs with cholesterol-succinate using HOBt and EDC as coupling agents (Figure 1b). The collected products were obtained with 85% yield and high degree of purity (95-100%) as indicated from NMR and MALDI analysis.
Synthesis of water soluble β-CD polymer
Cyclodextrin polymer was synthesized in an alkaline medium using epichlorohydrin (EP) as a cross-linking agent according to the method reported previously (Figure 1c) [16]. Briefly, 10 g of β-CD was dissolved by stirring for 2h in 15 mL of 15% aqueous NaOH at 35 °C. To the alkaline solution of β-CD, 2ml of toluene was added with continuous stirring for further 2h at the same temperature. Next, 5 mole% of EP was added to the mixture and kept stirring for further 3h. After the reaction was completed, the solution was precipitated in isopropanol and collected by filtration.
For further purification, the raw product was dissolved in water, neutralized with diluted HCl and then dialyzed against deionized water for 7 days. The product was obtained with 60% yield and 60% CD content, as indicated from 1H NMR and 13C NMR. The average molecular weight was 106 kDa, as indicated from measuring the hydrodynamic diameter (8.6 nm) of the synthesized polymer and matched the previously reported data [16].

Fig. 1: Synthesis of 8armPEG20k-ad (A), 8armPEG20k-chol (B), and β-CD polymer (C).
Hydrogel formation and rheological characterization
In an attempt to ensure homogeneity of the prepared hydrogel systems, hydrogels were prepared by first dissolving 8armPEG-chol and pβ-CD (50/50 w/w) in water at a low concentration of 1% (w/w). Subsequently, these solutions were lyophilized. The resulting fluffy powder was rehydrated by PBS (pH 7.4) to produce the mixture of the required final concentration (10% w/w). Mixtures containing non functionalized PEG (8armPEG20k-OH) and pβ-CD or that containing 8armPEG20k-chol and native β-CD were prepared as control mixtures.
The rheological oscillatory measurements were performed on a TA Instruments AR 2000 controlled stress rheometer (TA Instruments, Eschborn, Germany) equipped with a thermostated water bath. The used geometry was a stainless steel cone and plate with 1 mm measuring gap size and 20 mm diameter steel plate. The gel samples were placed onto the bottom plate of the rheometer. Then, the upper plate was lowered slowly to the sample considering the gap size. The evaluation of storage modulus (G’) and loss modulus (G”) was monitored as a function of oscillatory shear experiments (frequency sweep, stress sweep and temperature sweep experiments).
X-ray diffractometry
Powder X-ray diffraction patterns of the dried hydrogels and its individual components were measured by a powder X-ray diffractometer (STOE Stadi P, STOE & Cie GmbH, D-64213 Darmstadt, Germany) under specific conditions (nickel-filtered Cu-Kα radiation (λ = 0.7107 Å); Voltage, 40KV; current, 40mA; scanning speed, 0.6/min and scan range of 2θ = 5- 50o).
Isothermal titration calorimetry (ITC)
A MicroCal VP-ITC isothermal titration calorimeter (GE Healthcare Europe GmbH, Freiburg, Germany) was used for determining the binding/association constant (Ka) and stoichiometric ratio (n) of the interaction between β-CD (host) and either adamantine or cholesterol terminating PEG20k polymers (guest). The sample cell was loaded with 1.35 ml aqueous solutions of ad-PEG20k-ad (0.2 mM) and chol-PEG20k-chol (0.05 mM) and titrated against β-CD solutions (5 mM), placed in the stirring syringe (5 µl per injection, 60 s interval). Before loading, all solutions were degassed and thermostated at the required temperature (25 °C and 37 °C). The raw data consisting of a series of heat flows as a function of time was collected automatically and processed using Origin® 8 for ITC (GE Healthcare Europe GmbH, Freiburg, Germany). The thermodynamic parameters were determined by non-linear least squares fit of titration data using a standard single-site binding model [18]. All values were calculated from at least three independent experimental runs and the results are given as mean ± standard deviation.
Fluorescence spectroscopy
Experiments were performed using a Perkin Elmer LS55 fluorescence spectrometer (Perkin Elmer, Wiesbaden, Germany). A pyrene stock solution (0.2 mM) was prepared in acetone. A 20 μl aliquot of this solution was introduced into empty vials and the solvent was evaporated at 37 °C. After, all vials were filled with 1 ml of PEG-chol solutions at different concentrations and gently stirred overnight at ambient temperature in the dark to ensure pyrene incorporation into micelles. The emission was carried out at 390 nm, and the excitation spectra were monitored ranging from 300 to 360 nm. The intensity ratio I337/I334 was plotted against polymer concentration [24, 25].
Dynamic light scattering (DLS) measurements
The size distribution and the count rate of the formed self-assembled micelles were determined by DLS using a Malvern Zetasizer Nano ZS (Malvern Instruments GmbH, Herrenberg, Germany). All measurements were carried out in water using PEG-PE [l,2-Distearyl -sn-glycero -3-phospho ethanolamine-N-[methoxy (poly ethyleneglycol)] as standard at 25 °C. The backscattering angle was at 173° and the measurement position was fixed at 4.65 mm. Each run lasted for 100 s and the time between each run was 60 s with equilibrating time of 180 s. The attenuator was fixed at level 9 to avoid auto-attenuation and hence the fluctuation of readings. The result was calculated from the average of three independent measurements and each measurement was run 20 times (10 s run duration).
In vitro release of protein
FITC-BSA of higher molecular weight (66 kDa) was selected as a model protein for the in vitro release studies. Firstly, FITC-BSA was obtained by labelling BSA using FITC as a fluorescent label according to the previously reported method [26]. The loaded hydrogel samples were prepared by rehydration of the lyophilized mixture with PBS (with and without protein) containing 0.025% sodium azide. Typically, 10% w/v hydrogel was prepared from rehydration 100 mg lyophilized mixture of both hydrogel components (50 mg pβ-CD + 50 mg 8armPEG20k-chol) with 1ml stock solution of BSA prepared in PBS. The final concentrations of the loaded hydrogel samples were 1, 3 and 6 mg/ml. In each case, 400 μl of the prepared viscous fluids were cast into cylindrical glass moulds (5 mm height x 10 mm diameter) and allowed to gel for 2 hr at 4 °C. Afterward, the gel samples were removed from the glass moulds, immersed in 10 ml PBS, and maintained at 37 °C in a shaking water bath (50 rpm).
The cells which were used for release study (Fig.1, Supplementary data) were treated with Sigmacote to prevent the adsorption of proteins. At predetermined time points, aliquots of 1 ml release buffer were taken and replaced by 1ml fresh buffer. The collected samples were kept at -20 °C until further analysis. Non medicated hydrogels were prepared and served as control groups. Protein release samples were analysed using the micro-BCA assay as described previously [26]. Protein content was quantified by measuring the absorbance at 562 nm using a Shimadzu Cs-9301PC96-well plate reader (Shimadzu GmbH, Duisburg, Germany). Calibration curves were obtained from known concentrations of FITC-BSA. The presented results were calculated from the average of three experiments and expressed as mean ± SD.
RESULTS AND DISCUSSION
Water soluble linear β-CD polymer (pβ-CD) was obtained from cross-linking of β-CD with EP under strong alkaline conditions, according to the previously reported method (Figure 1) [16].
X-ray diffraction patterns of β-CD and pβ-CD (Figure 2) showed that β-CD powder exhibited a high degree of crystallinity by displaying many diffraction peaks, in accordance with the previously reported data [27]. The polymerization of β-CD resulted in the conversion of native β-CD from crystalline form into an amorphous one of higher water solubility.

Fig. 2: Powder X-ray diffraction patterns of β-CD (A) and polymerized β-CD (pβ-CD) (B).
Preparation and characterization of hydrogels
Neither pβ-CD nor hydrophobically-modified PEGs (8armPEG20k-ad and 8armPEG20k-chol) alone can form hydrogels at room temperature in aqueous solutions, at concentrations below 5% (w/v). However, after rehydration of the lyophilized mixtures composed of 5% (w/v) 8armPEG-chol/pβ-CD or 5% (w/v) 8armPEG-ad/pβ-CD or just by mixing the aqueous solution of pβ-CD and aqueous solution of modified polymers at room temperature, hydrogels form spontaneously (Fig. 2, Supplementary data).
To ascertain the formation of the associative networks and to study their mechanical stability, the prepared hydrogels were submitted to rheological analysis by frequency, stress and temperature sweep experiments. Figure 3 shows stress sweep experiments which were performed on the prepared hydrogel systems. In the case of the hydrogel prepared from 8armPEG-chol/pβ-CD, the system exhibited viscoelastic behaviour since the values of storage modulus (G’) is higher than that of loss modulus (G”). The measured strength of the prepared hydrogel (measured at 10 μNm) was 15600 Pa. In contrast, the system formed from 8armPEG-ad/pβ-CD behaved like viscous liquids with strength of 192 Pa.

Fig. 3: Storage modulus G` (filled markers) and loss modulus G`` (empty markers) as a function of stress (oscillatory torque) for 10 % (w/v) 8armPEG20k-chol/pβ-CD (▲/∆) and 10% (w/v) 8armPEG20k-ad/pβ-CD (●/○) in PBS at 25 °C and 1 Hz frequency.
Figure 4 represents the frequency dependent experiment of the hydrogels formed from 8armPEG-chol/pβ-CD showing the measured values of the storage modulus (G’) and the loss modulus (G”) as a function of frequency which ranged from 0.01 to 10 Hz. The results indicated that both moduli were found to increase in a frequency dependant manner. Also, the values of storage modulus were higher than loss modulus values (G’ > G”) over the whole frequency range indicating that the system had a viscoelastic behaviour. In contrast, the system formed from 8armPEG-ad/pβ-CD showed a viscous behaviour since the values of loss modulus were larger than those of storage modulus values (G’ < G”). This finding confirms the obtained data in stress sweep experiments. The difference between the system composed of 8armPEG-ad and that formed from 8armPEG-chol was ascribed to cholesterol-PEG polymer which showed higher binding affinities to β-CD than that of adamantane-PEG [28, 29].

Fig. 4: Storage modulus (●), loss modulus (○) and delta (▼) from frequency-sweep measurement of 10 % (w/v) hydrogel system constructed from 8armPEG20k-chol/pβ-CD (1:1 w/w ratio) at 25 °C.
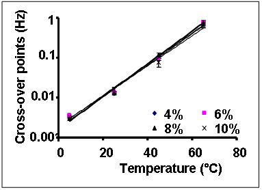
Besides, the system composed of 8armPEG20k-chol showed viscous behaviour till certain frequency (cross-over point or gel point), after which the overlapping of storage modulus and loss modulus occur and the system showed elastic response (G’ > G”). It has been found that the gel point can be influenced by several factors including the temperature and the total concentration of polymers forming the gel system. Figure 5, for example, shows the effect of temperature and total polymer concentration on the cross-over frequency of the modified hydrogel (10% 8armPEG-chol/pβ-CD). The results showed that the value of gel point increased (i.e. short relaxation time or weak gel) with increasing the temperature. The decreased strength of the prepared physical gels due to increasing temperature could be attributed to the breakdown of some β-CD/cholesterol inclusion complexes. This finding confirms the thermoreversibility of the constructed gel (which is typical for a physical gel) and which is in agreement with that previously reported [9]. Also, it was observed that there is no significant difference in the values of cross-over points by total polymer concentration. This may be attributed to the fact that the polymeric ratio of 8armPEG-chol/pβ-CD is the same (1:1 w/w) for each investigated concentration.

Fig. 5: Cross-over points of G’ and G” for 10% (w/v) 8armPEG-chol/pβ-CD hydrogel as a function of temperature and total polymer concentration
On the other hand, we found that the strength determined from complex shear modulus [G*] of the hydrogels (8armPEG-chol/pβ-CD) depends on the total solid concentration utilized for hydrogel formation. Figure 6 shows the effect of total solid content (4-10 %w/v) on gel strength at fixed polymeric ratio (50/50 w/w) (Figure 6). The results indicated that there is a direct relationship between gel strength and total polymer concentration since the higher the polymer concentration the higher the gel strength. This result could be attributed to the increase of solid concentration (i.e. increase of β-CD and cholesterol moieties) accompanied by an increase of the cross-link density.

Fig. 6: The strength [G*], deduced from stress sweep experiment at 10 μNm torque, of gels prepared from 8armPEG-chol/pβ-CD (1:1 w/w) as a function of total solid concentration.
Moreover, the effect of architecture of cholesterol-modified PEG polymers (linear or branched) on the strength of the prepared hydrogel was monitored using PEG20k as an example. The results showed that the hydrogel which formed from multi-branched PEG (8armPEG20k-chol) exhibited higher value of [G*] (15600 Pa) compared to the linear form of the same molecular weight (2armPEG20k-chol) (230 Pa) These results could be attributed to the high number of cholesterol moieties per each polymer that provides a high cross-link density with the available β-CD cavities [22, 30].
In this study, we investigated the binding affinity of modified PEG20k to β-CD. Both of ad-PEG20k-ad and chol-PEG20k-chol were titrated, separately, against β-CD. The results presented in table 1 indicated that PEG-chol had higher binding affinity than PEG-ad. These results could explain the above-mentioned difference in rheological characterization of both prepared hydrogel systems if one considers that the mechanism of hydrogel formation depends only on the inclusion complexation between the hydrophobic guest molecules and the hydrophobic cavity of β-CD. Surprisingly, it was observed that the binding constant (Ka) of chol-PEG20k-chol at 37 °C is nearly the same as that of ad-PEG20k-ad at 25 °C. However, the rheological profile of mixture pβ-CD/PEG-chol is completely different (viscoelastic) than that formed from ad-modified PEGs (viscous fluids). This finding suggested that the inclusion complexation is not the only factor affecting the mechanism involved, but there are other factors which can also has a role in the mechanism of hydrogel formation.
Table 1: Association constant (Ka) and Stoichiometric ratio (n) deduced from the inclusion complexation of chol-PEG-chol and β-CD compared to that of ad-PEG-ad
| n (st. ratio) | Ka (M-1) | |||
| 25 °C | 37 °C | 25 °C | 37 °C | |
| ad-PEG20k-ad | 1.69±0.002 | 1.72±0.004 | 21820±130.4 | 13680±152.4 |
| chol-PEG20k-chol | 8.66±1.24 | 13.89±0.24 | 34600±1363 | 23180±987 |
Moreover, the results showed that the stoichiometry (n) of the formed complexes is close to one in case of adamantane-modified PEGs indicating that each adamantane group is associated with one β-CD molecule, while in the case of cholesterol-modified PEGs, the ratio increased by increasing both of the temperature of experiment and the number of cholesterol moieties per PEG molecule. The higher order of complexation, in case of cholesterol modified PEG polymers was ascribed to the ability of PEG-chol to form self-associated micelles in aqueous solution [31-34].
Fluorescence studies were carried out on hydrophobically modified PEGs (2armPEG20k and 4armPEG10k) to confirm the ability of such polymers to form micelles. The results showed that all PEG-chol polymers have the ability to form micelles or aggregates in aqueous solution, as indicated from their sigmoid curves of the intensity ratio (I337/I334) versus polymers concentration (Fig. 3, Supplementary data). In contrast, there is no significant increase in the intensity ratio in case of unmodified and adamantane-modified PEG polymers. Also, it has been found that the critical micelle concentration (CMC) values decreased by increasing the number of cholesterol moieties per each PEG polymer (i.e. increasing the hydrophobicity) since the value of CMC for 4armPEG10k-chol and 2armPEG20k-chol were 20 mg/l (0.0017 mM) and 75 mg/l (0.0036 mM), respectively. Building on the above mentioned results, we could deduce that there are two competing mechanisms responsible for hydrogel formation. The first is the formation of multiple inclusion complexes between cholesterol moieties and β-CD cavity. The second is the self association of cholesterol moieties in aqueous solution.
Regarding the effect of β-CD on the formation/deformation of micelles in aqueous solution of cholesterol-modified PEGs, it was reported that the micelles could be destructed in the presence of certain concentration of β-CD as in case of mPEG5k-chol [23]. Here, we investigated the effect of β-CD on micelles destruction in case of chol-modified PEG of higher molecular weight (2armPEG20k-chol) and branched one (4armPEG10k-chol). The results showed that the increase of β-CD concentration led to a decrease in the fluorescence intensity of pyrene which, accompanied by a blue shift of the absorption band from 337 nm to 334 nm, indicate that β-CD seems to have the ability to dissociate the micelles (Fig. 4, Supplementary data).
In order to realize the impact of β-CD on micelle destruction by another analysis, the count rates along with polydispersity index (PDI) were utilized as sensitive monitors reflecting the destruction of the micelles in the presence of β-CD. The aqueous polymer solution containing micelles was characterized by high count rate and very low PDI (Figure 7). The efficiency of β-CD for micelle destruction depends on the polymer structure (linear or branched).
Also, the amount of β-CD required for micelle destruction increased with increasing the hydrophobicity of polymers (number of hydrophobic moieties per PEG polymer).
Additionally, by increasing the temperature of the solution, the amount of β-CD required for micelle destruction increased due to the aggregation ability (formation of complexed micelles). This finding explains the obtained higher values of stoichiometric ratios at 37 °C compared to that at 25 °C for PEG-chol polymers, deduced from ITC measurements (Table 1). These results are in a good accordance with those obtained previously [35]. For example, in case of 2armPEG20k-chol, addition of β-CD to the solution resulted in a significant decrease of the count rate (from 175 to 25 kcps) which was accompanied by an increase of PDI (from 0.1 to 0.5).

Fig. 7: Effect of β-CD concentration on the count rate and polydispersity index, deduced from DLS measurement, for the micelles formed by 4armPEG10k-chol (fixed conc. 0.025 mM) using 4armPEG (0.1 mM) and 4armPEG-ad (0.1 mM) as control groups.
The amount of β-CD required for complete dissociation of the formed micelles in an aqueous polymer solution of 0.05 mM is 1 mM. A polymer containing larger number of cholesterol moieties, 4armPEG10k-chol of concentration above CMC (0.025 mM) showed a very high count rate (1370 kcps) and low PDI (0.1) (Figure 7). Interestingly, upon addition of β-CD of low concentration (0.5 mM), the count rate increased (1790 kcps). By further addition of β-CD, the count rate decreased substantially. At approximately 2 mM β-CD, the destruction of the micelles seems to be complete as indicated by the low values of the count rate (40 kcps) and the high PDI (0.6) which are similar to the values for the control solutions (4armPEG10k and 4armPEG10k-ad) exhibiting no micelle formation. This means that for each molecule of 4-armPEG-chol3.6 we need 80 molecules of β-CD (i.e. the ratio equals 1:80) are needed for complete dissociation of the aggregates. Consequently, the amount of β-CD required for each cholesterol moiety, regarding the degree of conversion of our polymer (4armPEG10k-chol3.6), equals 22.2 mmol β-CD and the ratio will be 1: 22.2 (cholesterol: β-CD). These results show that the use of cross-linked β-CD of high molecular weight (high CD content per unit volume) is necessary for formulation of physically cross-linked hydrogels since the mechanism, in this case, will be mostly the inclusion complexation between the cholesterol moieties and the cavities of β-CD. The role of self association of cholesterol molecules in the formation of hydrogels will be negligible by the dissociative effect of β-CD.
Role of β-CD polymer in hydrogel strength
Regarding the difference between native and polymerized β-CD in the formation of hydrogels, both of G` and G`` at 20 °C of different hydrogel systems 10% (w/v) 8armPEG20k-chol, 10% (w/v) 8armPEG20k-chol + 6.7% (w/v) β-CD or 10% (w/v) 8armPEG20k-chol + 6.7% (w/v) pβ-CD) (Figure 8). The results showed that the hydrogel system composed of pβ-CD exhibited the highest values of G` and G`` due to the existence of high density of cross-links compared to other systems. In addition, the hydrogel systems composed of either 10% (w/v) 8armPEG20k-chol or 10% (w/v) 8armPEG20k-chol + 6.7% (w/v) β-CD are unstable in PBS since they are degraded into small pieces upon incubation in PBS. In contrast, the hydrogel system composed of 10% (w/v) 8armPEG20k-chol + 6.7% (w/v) pβ-CD is stable and still has the ability to absorb water and swell rather than degrade in PBS. Therefore, the obtained results indicated the importance of pβ-CD in the formation of more stable gel of higher strength compared to that formed from native cyclodextrins.
Fig. 8: Storage modulus (G`) and loss modulus (G``), deduced from frequency sweep experiment at 20 °C and 1Hz frequency, of different hydrogel systems 10% (w/v) 8armPEG20k-chol, 10% (w/v) 8armPEG20k-chol + 6.7% (w/v) β-CD or 10% (w/v) 8armPEG20k-chol + 6.7% (w/v) pβ-CD.
Release of FITC-BSA
In vitro protein release studies were performed in PBS/NaN3 at 37 °C using FITC-BSA as a model protein since the loading of protein occur simultaneously during hydrogel formation. Figure 9 presents the cumulative release of FITC-BSA from hydrogel cylinders as a function of time and loaded protein concentration (1, 3 and 6 mg/ml). The results showed that the percentage of protein released during the first 2 days was between 50 and 70%. Afterward, the remaining protein release study showed a controlled or constant protein release. Also, it was observed that the release rate decreased by increasing the concentration of loaded protein. The modified hydrogel system showed quantitative protein release since a complete release of protein was achieved after 26 days, which suggests that there is no irreversible protein aggregation or precipitation. Noteworthy, it has been observed that the release exceeded 100 % which probably due to small measuring errors that propagate in the calculation of the cumulative release data. However, this is not significant as it was the aim of this study to characterize the overall release kinetics of model substances rather than the absolute amounts released.

Fig. 9: Cumulative amount of FITC-BSA (of different concentrations) released over time from hydrogels composed of 5% (w/v) 8armPEG20k-chol + 5% (w/v) pβ-CD in PBS (pH 7.4) at 37 °C. Data represent mean ± standard deviation.
CONCLUSION
We report on a new self-assembling hydrogel system based on the association of two polymers: A pβ-CD and hydrophobically modified branched PEG polymers (8armPEG20k-chol and 8armPEG20k-ad). The hydrogels formed spontaneously after the hydration of the lyophilized polymer mixtures. The rheological characterization showed that the prepared hydrogels system composed of 8armPEG20k-chol exhibited viscoelastic properties. In contrast, the system containing 8armPEG20k-ad showed only viscous behavior. Two competing mechanisms are responsible for formation of the hydrogels composed of 8armPEG-chol/pβ-CD: The inclusion complexation between cholesterol moieties and β-CD cavities and the self-association of cholesterol moieties in aqueous solution. Interestingly, it has been observed that β-CD has the ability to dissociate the micelles formed in solution. The number of β-CD molecules required for complete dissociation of the formed micelles depends on polymer structure (linear or branched) and on the number of cholesterol moieties per each PEG molecule. Also, the modified system showed the suitability for the loading and release of BSA as a model bioactive drug. Therefore, these results demonstrate the need to use cross-linked CD in the formation of this type of hydrogels. All in all, This modified new drug delivery system combines several advantages compared to the previously described one (8armPEG-chol/β-CD) such as the higher mechanical stability and the compatibility for loading and sustained release of bioactive agents such as proteins and the easiness of preparation in water or PBS.
DECLARATION OF INTEREST
The authors report no conflicts of interest in this work.
REFERENCES