
aSchool of Pharmaceutical Sciences, Siksha ‘O’ Anusandhan deemed to be University, Bhubaneswar, India, bDepartment of Chemistry, Ravenshaw University, Cuttack, India
Email: sudhanshurout@soauniversity.ac.in
Received: 08 Sep 2017 Revised and Accepted: 22 Nov 2017
ABSTRACT
Objective: These studies focus on the interaction between two clinically active antiparkinsonian drugs L-dopa (L) and carbidopa (C) with the cis-[Cr(C2O4)2(H2O)2]-and evaluation of the synthesized product from a coordination chemistry aspect with respect to the possibility of its antioxidant activity and its therapeutic application in the treatment of Parkinson disease.
Methods: The resulting synthesized complexes were characterized by UV-VIS and FTIR spectroscopy. Evaluation of antioxidant activities of this cis-[Cr(C2O4)2(H2O)2]--L-dopa(ML), cis-[Cr(C2O4)2(H2O)2]--carbidopa(MC) and standard butylated hydroxytoluene (BHT) were carried out by using 1,1-diphenyl-1-picrylhydrazyl free radical (DPPH), 2,2-azinobis (3-ethylbenzothiazoline-6-sulfonic acid) (ABTS) radical cations and hydrogen peroxide method.
Results: The results of spectral analysis of the synthesized products indicate that complexes have a Cr(III) ion coordinated via the carboxylic and amino group. In the reduction of radical DPPH· and the formation of radical monocation ABTS·+the ability to scavenge radical was measured in these experiments by the discoloration of the solution. However, in hydrogen peroxide method, the increased in absorbance showing its scavenging potential. The scavenging capacity of the test compounds and standard on the DPPH, ABTS·+, H2O2 decreased in the order BHT>ML>MC>C>L which were 98.4, 96.4, 86.4, 68.3, 49.7% for DPPH, BHT>ML>L>MC>C which were 99.3, 96.9, 96.3,66.6, 53.4% for ABTS·+, BHT>ML>MC>L>C which were 68.8%, 52.4%, 49.6%, 43.1% and 37.7% for H2O2 at the concentration of 50 µg/ml, respectively.
Conclusion: The experimental findings showed that cis-[Cr(C2O4)2(H2O)2]--levodopa and cis-[Cr(C2O4)2(H2O)2]--carbidopa are having higher antioxidant potential than Levodopa and carbidopa although not superior to that of standard compound.
Keywords: Levodopa, Carbidopa, Cis-diaqua-bis(oxalato)chromate(III), DPPH, ABTS
© 2018 The Authors. Published by Innovare Academic Sciences Pvt Ltd. This is an open access article under the CC BY license (http://creativecommons.org/licenses/by/4.0/)
DOI: http://dx.doi.org/10.22159/ijpps.2018v10i1.22464
Parkinson disease (PD), which is considered to be the most common neurodegenerative movement disorder, causes selective degeneration of nigrostriatal dopamine neurons. PD is characterized by the decrease level of dopamine (DA) and hence L-dopa (L) is administered as a supplementation of DA since last 50 y. But L-dopa is decarboxylated in the peripheral regions, so to avoid this decarboxylation L-dopa is generally administered in combination with peripheral dopa decarboxylase inhibitors like carbidopa (C) [1]. Several factors affecting the mechanism of neurodegeneration in PD which includes mitochondrial impairment and oxidative stress [2]. In the state of oxidative stress, resulting generation of the reactive oxygen species (ROS) surpasses the capacity of the endogenous antioxidant system. ROS are chemically reactive molecules that are derived from oxygen, including free radicals, such as O2, hydroxyl radicals (OH.) and non-free-radical species, such as H2O2. Singlet oxygen (1O2) species are also forms of activated oxygen. These molecules are behave as deleterious factors inducing cellular injury and ageing [3]. According to some recent evidence, oxidative stress is one of the major reasons for oxidative damage to proteins, lipids, and nucleic acids in both the brain and the peripheral tissues in PD. With age, the accumulation of these biomolecules occurs and that becomes a significant risk factor for this disease. In accordance with the role of reactive oxygen species in the progression of PD, the antioxidants can potentially serve as a disease treatment [4].
Antioxidants are having a key role in the prevention of human diseases and may function as scavengers of free radicals. These are capable even in small quantities, to prevent or reduce the oxidative destruction of biologically important compounds such as lipids, proteins, and nucleic acids [5]. Therefore, the importance of the search for antioxidants has greatly increased in the recent years. Transition metal complexes contain oxo and aza groups are showing some characteristic chemical properties and biological activities such as being models for metalloproteins and oxygen carrier systems [6]. Some recent studies reveal that metal complexes can be used as antioxidants as they could restore the redox balance in the damaged cells and organs by scavenging of excess [7]. There is continuous research has been carried out in the fundamental chemistry of chromium compounds. Chromium has its insulin-enhancing activity when present in biological systems; has generated a considerable amount of interest in its research [8].
In the present study, an attempt has been made to evaluate the antioxidant activity of the Cr(III) complexes of L-Dopa (ML) and carbidopa (MC) and compared with standard compounds like BHT. The antioxidant activities of the metal complexes along with the standard compounds were evaluated in a series of in vitro tests: DPPH free radical scavenging activity, ABTS·+radical scavenging activity and H2O2 scavenging activity. We have made the detailed studies of the complex forming properties of L-dopa with Cr(III) and subsequently, the bonding conditions relating to the complexes formed and stability of the complex was also reported [9].
Chemicals and physical measurements
(S)-2-amino-3-(3,4-dihydroxyphenyl) propanoic acid (L-Dopa) and (2S)-3-(3,4-dihydroxyphenyl)-2-hydrazino-2-methylpropanoic acid (carbidopa) was obtained from Dr Reddy’s Lab, Hyderabad, India. The metal salt Cr(NO3)3 6H2O, potassium dichromate (K2Cr2O7), oxalic acid, ethanol, potassium persulfate (K2S2O8), 2,2'-azino-bis(3-ethylbenzo-thiazoline-6-sulfonic acid) (ABTS), the stable free radical 1,1-diphenyl-2-picrylhydrazyl (DPPH) were purchased from Merck. All other solvents and buffer constituents were of highest available purity and they were used without further purification. UV-Vis spectra were recorded by JASGO-V 630 Spectrophotometer in the range 800-200 nm. FTIR spectra were recorded in JASGO FT/IR-4100 spectrophotometer in the range 4000-400 cm-1. pH of the solutions was the measurement by using SYSTRONICS digital pH meter 335 equipped with a combination of glass Ag/AgCl/Cl- (3 mol dm-3 NaCl) electrode. It was calibrated with standard buffers of pH 4.0, 7.0 and 9.0 (Merck).
Synthesis of K[Cr(C2O4)2(H2O)2]3H2O
K[Cr(C2O4)2(H2O)2]3H2O was prepared as per the reported method [10]. Potassium dichromate (2 g) and oxalic acid dehydrate (6 g) were mixed and placed in an evaporating disc which has already contained 5-6 drops of water. It was covered with a watch glass and placed on a hot plate. After a few seconds, a vigorous exothermic reaction occurred and the reaction mixture became a dark viscous liquid. When the reaction was completed ethanol (15 ml) was added and stirred. As the product remained partly as oil another 10 ml of ethanol was added after removal of the supernatant alcohol. Then the product was filtered, washed with ethanol and dried in a vacuum desiccator. The product appears almost black in diffuse daylight and deep green in the artificial light.
Synthesis of L-dopa and carbidopa bonded Cr(III)complex
The synthesized products of levodopa and carbidopa complex with Cr(III) was obtained as per the reported method [11]. The prepared Potassium cis-[Cr(C2O4)2(OH2)2]-complex (0.01 mol) was mixed with (0.05 mol) L-dopa and carbidopa separately in a small volume of water. pH of the solutions was maintained at 5.0 and the solution was heated in a thermostat at 50 °C for 5 h. Then the solutions were kept in a desiccator for slow evaporation of solvent and crystals were formed after few days. The crystals were washed several times with ethanol, dry ether and dried.
1,1-diphenyl-2-picrylhydrazyl (DPPH) free radical scavenging activity
For the evaluation of antioxidant activity, the method of Blois [12] which is previously described by Gülçin [13] was used with slight modification. 0.1 mmol solution of DPPH· in ethanol was prepared and an aliquot of 1 ml of this solution was added to 3 ml solutions of Cr(III) complex of L-Dopa and carbidopa in water at different concentrations (10-50 µg/ml). The solutions were incubated in dark for 30 min and then the absorbance was measured at 517 nm against blank samples lacking scavengers.
The capability to scavenge the DPPH· was calculated using the following equation:
DPPH· scavenging effect (%) = (1-As/Ac) x 100
Where Ac is the absorbance at 517 nm of the reaction (containing all the reagents except the test compound) and As is the absorbance at 517 nm containing the test compound i. e. Cr(III) complex of L-Dopa and carbidopa.
ABTS radical cation decolorization assay
The ABTS·+scavenging activity was determined by spectrophotometric analysis according to the method of Re and co-workers [14]. 2 mmol ABTS in H2O was reacted with 2.45 mmol potassium persulfate (K2S2O8), and the mixture was allowed to stand in the dark at room temperature for 6 h before use. Before usage, the ABTS·+ solution was diluted in phosphate buffer (pH 7.4) to give an absorbance of 0.700±0.025 at 734 nm. Then 1 ml of ABTS·+ solution has added to 3 ml solution of Cr(III) complexes of L-Dopa and carbidopa in ethanol at different concentrations (10-50 µg/ml). After 30 min of mixing the absorbance was recorded at 734 nm calculated for each concentration relative to a blank absorbance (ethanol). The scavenging capability of the ABTS·+radical was calculated using the following equation:
ABTS·+scavenging effect (%) = (1-As/Ac) x 100
Where Ac is the absorbance of a control lacking the scavenger and As is the absorbance of the remaining ABTS·+in the presence of scavengers [15].
Hydrogen peroxide scavenging activity
The H2O2 scavenging ability of the Cr(III) complexes of L-Dopa and carbidopa was determined according to the method of Ruch et al. [16]. A 40 mmol H2O2 solution was prepared in a buffer solution having pH 7.4. Cr(III) complex of L-Dopa and carbidopa at different concentrations (10-50 µg/ml) in 3.4 ml phosphate buffer was added to 0.6 ml of H2O2 solution (40 mmol) and the absorbance of the mixture solutions was recorded at 230 nm. A blank solution is prepared by taking sodium buffer solution but without H2O2.
The percentage scavenging activity of H2O2 by the Cr(III)-ligand complexes and standard ligand compounds was calculated using the following equation:
H2O2scavenging effect (%) = (1-As/Ac) x 100
Where Ac is the absorbance of the control and As is the absorbance of the metal complexes.
Characterization of the Cr(III)-complexes
The presence of metal ions in the complexes accelerates the activity and efficacy of organic therapeutic agents [17]. The therapeutic potential of metal complexes depends on the ligand as well as nature of metal ions [18]. Some literature revealed that different ligands and different complexes synthesized from same ligands with different metal ions possess different biological properties [17, 19-21]. Upon testing metal complexes as antioxidants the test results show that they could effectively facilitate the scavenging of excess ROS. Therefore, it is strongly required to design novel metal complexes as potential therapeutic candidates for prevention of oxidative stress [7]. The absorption spectra of ML and MC indicated the formation of new complexes, which showed the shifting of λmax from 472 to 413 nm (blue shift) (fig. 1a) and from 378 to 413 nm (redshift) (fig. 1b) respectively.

a b
Fig. 1a: An overlay scanning plot: (i) L-dopa (ii) Cr(III) complex with L-dopa (ML) (iii) K[Cr(C2O4)2(H2O)2]3H2O and 1b (i)Carbidopa (ii) K[Cr(C2O4)2(H2O)2]3 H2O (iii) Cr(III) complex with carbidopa(MC)
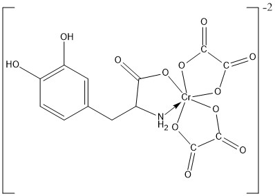
The FTIR spectra of the products retained most of the peaks of L-Dopa and carbidopa. However, in ML the carboxylate ν(C=0) for the product complex is observed at 1541 cm-1 a 29 cm-1 downshift compared to the free L-Dopa. A 142 cm-1 downshift to 3232 cm-1 for ν(N-H) is consistent with bonding through the N atom. Similarly, in MC the peak observed at 1683 cm-1 which shifted from 1633 cm-1 compared to the free carbidopa which indicates the coordination of carboxylate group of carbidopa with Cr(III) and a 89 cm-1 downshift to 3446 cm-1 shows the bonding of the Cr(III) through the N atom. The tentative structure of the L-dopa bonded chromium (III) and carbidopa bonded Cr(III) complexes are shown in fig. 2a and 2b.

a b
Fig. 2a and 2b: tentative structure of Cr(III) complex with L-dopa (ML), Cr(III) complex with carbidopa (MC)
DPPH radical scavenging assay
For the evaluation of the ability of antioxidants to scavenge free radicals, DPPH· radical scavenging assay is commonly employed [22]. Radical scavenging activity of the synthesized Cr(III) complexes of L-Dopa and carbidopa was determined by 1,1-diphenyl-2-picryl-hydrazil (DPPH·) and compared to that of standard compound. The DPPH· radical absorbs at 517 nm but when it reduced by an antioxidant(HA) or a radical species(RA˙) its absorption decreases, as a result, stable DPPH forms yellow colored diphenyl-picryl-hydrazine [23].
DPPH·+AH DPPH-H+A˙…….(1)
DPPH·+R˙ DPPH-R…………….(2)
Upon transfer of a hydrogen atom or an electron to the odd electron in DPPH·, the absorbance at 517 nm decreases proportionally as the non-radical forms of DPPH increases [24].

Fig. 3: Free radical scavenging activity of L-dopa (L), carbidopa (C), Cr(III) complex with L-dopa (ML), Cr(III) complex with carbidopa (MC) and BHT(butylated hydroxytolune) on DPPH radicals, results are mean±standard deviation of three parallel measurements and data are evaluated by using one-way analysis of variance (ANOVA)
As seen in fig. 3 the test compounds effectively scavenge DPPH radicals in a concentration-dependent manner (10-50 µg/ml). There is a significant decrease (p<0.01) in the concentration of DPPH radical due to scavenging activity of L-dopa, carbidopa with their Cr(III) complexes and standard compound. The scavenging capacity of the test compounds and standard on the DPPH radical decreased in the order BHT>ML>MC>C>L which were 98.4, 96.4, 86.4, 68.3, 49.7% at the concentration of 50 µg/ml, respectively.
ABTS radical scavenging assay
ABTS forms a relatively stable free radical, which decolorizes in its non-radical form. The basis of this spectroscopic assay is the generation of ABTS radical cation [25-27].
Initially, ABTS radical cation (ABTS·+) is generated from its stable form, prior to reaction with standard antioxidants and presumed test compounds.
Generation of blue/green ABTS·+ chromophore involves the reaction between ABTS and potassium persulphate and the following equations represent the reaction as
S2O82-+ABTS SO42-+SO4·-+ABTS·+…… (3)
SO4·-+2ABTS SO42-+2 ABTS·+…………. (4)
The overall reaction represented by
S2O82-+2ABTS 2 SO42-+2 ABTS·+…….(5)
Here, to a preformed ABTS radical solution, an antioxidant is added and the remaining ABTS·+ is quantified spectrophotometrically at 734 nm after a fixed period of time [28].
All the test compounds exhibited effective radical scavenging activity. Fig. 4 illustrates that the test compounds effectively scavenge ABTS·+radicals in a concentration-dependent manner (10-50 µg/ml). There is a significant decrease in the concentration of ABTS·+due to the scavenging activity of L-dopa, carbidopa, with their Cr(III) complexes and standard compound. In addition to this the scavenging capacity of the test compounds and standard on the ABTS·+decreased in the order BHT>ML>L>MC>C which were 99.3, 96.9, 96.3, 66.6, 53.4% at the concentration of 50 µg/ml, respectively.

Fig. 4: Scavenging effect of L-dopa(L),carbidopa(C),Cr(III) complex with L-dopa(ML), Cr(III) complex with carbidopa(MC) and BHT(butylated hydroxytolune) on the stable ABTS·+. Results are mean±standard deviation of three parallel measuremets and data are evaluated by using one-way analysis of variance(ANOVA)
Hydrogen peroxide scavenging activity
Although hydrogen peroxide is not very reactive oxygen species but due to its high penetrability of the cell membrane, generates hydroxyl radicals upon reaction with ferrous ion or superoxide anion radical in the cell [29]. Many oxidizing enzymes like superoxide dismutase can generate hydrogen peroxide in vivo which can cross membranes and may slowly oxidize a number of molecules. According to some recent evidence H2O2 is toxic, it can attack many cellular energy producing systems and it also induces cell death in vitro [30]. According to this method upon oxidation of H2O2 there is a decrease in absorption. Fig. 5 illustrated the percentage of H2O2 scavenging capacity. The results of standard, ML, MC, L and C were found to be 68.8%, 52.4%, 49.6%, 43.1% and 37.7% at higher concentration (50 µg/ml), whereas IC50 values were obtained as 24.57, 42.76, 46.35, 58.63, 66.28 µg/ml respectively. Fig. 5 depicts that the test compounds effectively scavenge H2O2 radicals in concentration-dependent manner.

Fig. 5: Comparison of hydrogen peroxide scavenging activity of L-dopa (L),carbidopa (C), Cr(III) complex with L-dopa (ML), Cr(III) complex with carbidopa (MC) and BHT (butylated hydroxytolune) at different concentrations. Results are mean±standard deviation of three parallel measurements and data are evaluated by using one-way analysis of variance(ANOVA)
According to the different observations in the present study, it has been concluded that the Cr(III) complexes of L-dopa and carbidopa was synthesized and characterized by spectral measurements. The data show that Cr(III) reacts with the ligands in an acidic medium and bonded through the oxygen and nitrogen atoms of carboxylic and amino groups of the ligands.
Different in vitro antioxidant assay including ABTS, DPPH radical scavenging and hydrogen peroxide scavenging activity of L-dopa, carbidopa and their Cr(III) complexes were studied at different concentrations. The assay results of DPPH, ABTS and H2O2 showed excellent scavenging activity by synthesized complexes, may be due to binding of metal ion with levodopa and carbidopa, which is comparable to that of standard compound.
The work was carried out in collaboration between all the authors. Authors SSR and SP synthesized the products, carried out the antioxidant activities and drafted the manuscript. Authors SCS and PM managed the analysis of the study and literature searches. The article was read and approved by all the authors.
All authors have no conflicts of interests
Kiss T, Gergely A. Copper (II) and nickel (II) ternary complexes of L-Dopa and related compounds. J Inorg Biochem 1985;25:247-59.
Sanders LH, Greenamyre JT. Oxidative damage to macromolecules in human Parkinson disease and the rotenone model. Free Radical Biol Med 2013;62:111-20.
Halliwell B, Gutteridge JM. Free radicals in biology and medicine. Clarendon Press: Oxford. 2nd Ed.; 1989. p. 23-30.
Jodko-Piorecka K, Litwinienko G. Antioxidant activity of dopamine and L-DOPA in lipid micelles and their cooperation with an analogue of α-tocopherol. Free Radical Biol Med 2015;83:1-11.
Balik J, Kyselakova M, Vrchotova N, Triska J, Kumsta M, Veverka J, et al. Relations between polyphenols content and antioxidant activity in vine grapes and leaves. Czech J Food Sci 2008;26:25-32.
Pawar V, Joshi S, Uma V. Antibacterial and antioxidant properties of macrocyclic Schiff bases with vanadium (V) complexes. J Chem Pharm Res 2011;3:169-75.
Kostova I, Saso L. Advances in research of schiff-base metal complexes as potent antioxidants. Curr Med Chem 2013;20:4609-32.
Halliwell B. How to characterize a biological antioxidant. Free Radical Res Communications 1990;9:1-32.
Baral DK, Rout SS, Behera J, Si SC, Mohanty P. Kinetics and mechanism of interaction of hexaaquachromium (III) with l-Dopa in an aqueous medium: comparative antiparkinsonian studies. Transition Metal Chem 2011;36:231-6.
Aziza BK, Tofiqa DI. Kinetic and equilibrium comparison of the complexation reaction of Cis-and trans-forms of Cr(ox)2(H2O)2. xH2O with alanine. Int J Chem Environ Eng 2012;3:34-8.
Rout SS, Kar DM, Pattanaik S, Si SC, Mohanty P. Kinetics and mechanism of reaction of cis-[Cr(C2O4)2(H2O)2]-with L-Dopa in an aqueous medium: comparative antiparkinsonian studies. Asian J Chem 2017;29:1555-60.
Blois MS, Antioxidant determinations by the effect of a stable free radical. Nature 1958;26:1199-200.
Gülçin İ. Antioxidant and antiradical activities of L-Carnitine. Life Sci 2006;78:803-11.
Re R, Pellegrini N, Proteggente A, Pannala A, Yang M, Rice-Evans C. Antioxidant activity applying an improved ABTS radical cation decolarization assay. Free Radical Biol Med 1999;26:1231-7.
Gülçin I. Antioxidant activity of caffeic acid (3,4-dihydroxy cinnamic acid). Toxicology 2006;217:213-20.
Ruch RJ, Cheng SJ, Klaunig JE. Prevention and cytotoxicity and inhibition of intracellular communication by antioxidant catechins isolated from Chinese green tea. Carcinogenesis 1989;10:1003-8.
Siddiqi ZA, Khalid M, Kumar S, Shahid M, Noor S. Antimicrobial and SOD activities of novel transition metal complexes of pyridine-2, 6-dicarboxylic acid containing 4-picoline as an auxiliary ligand. Eur J Med Chem 2010;45:264-9.
Delaney S, Pascaly M, Bhattacharya PK, Han K, Barton JK. Oxidative damage by ruthenium complexes containing the dipyridophenazine ligand or its derivatives: a focus on intercalation. Inorganic Chem 2002;41:1966-74.
Serbest K, Colak A, Guner S, Karabocek S, Kormali F. Copper (II)–manganese (II) complexes of 3, 3′-(1, 3-propanediyldiimine) bis-(3-methyl-2-butanone) dioxime with superoxide dismutase-like activity. Transition Metal Chem 2001;26:625-9.
Vogel AI. Text Book of Practical Organic Chemistry. 5Th Edition. Longman, London; 1989.
Patel KS, Patel JC, Dholariya HR, Patel VK, Patel KD. Synthesis of Cu (II), Ni (II), Co (II), and Mn (II) complexes with ciprofloxacin and their evaluation of the antimicrobial, antioxidant and anti-tubercular activity. Open J Metal 2012;2:49-59.
Koksal E, Gulcin İ, Beyza S, Sarikaya O, Bursal E. In vitro antioxidant activity of silymarin. J Enzyme Inhibition Med Chem 2009;24:395-405.
Brand-Williams W, Cuvelier ME, Berset CL. Use of a free radical method to evaluate antioxidant activity. LWT Food Sci Technol 1995;28:25-30.
Pattanaik S, Si SC, Nayak SS. Evaluation of free radical scavenging activity, wound healing activity and estimation of phenolic, flavonoid and proanthocyanidine contents of the plant “Crateva magna”. Asian J Pharm Clin Res 2012;5(Suppl 3):168-71.
Shirwaikar A, Shirwaikar A, Rajendran K, Punitha ISJ. In vitro antioxidant studies on the benzyl tetra isoquinoline alkaloid berberin. Biol Pharm Bull 2006;29:1906-10.
Wolfeden BS, Willson RL. Radical cations as reference chromogen in kinetic studies of one-electron transfer reactions: pulse radiolysis studies of 2,29-azinobis-(3-ethylbenzthiazoline-6-sulfonate). Chem Soc Perk Trans 1982;2:805-12.
Miller DD. Mineral. In: Fennema OR. Ed. Food Chemistry. Marcel Dekker, New York; 1996. p. 618-49.
Gülçin I, Elias R, Gepdiremen A, Boyer L. Antioxidant activity of lignans from the fringe tree (Chionantus virginicus L.). Eur Food Res Technol 2006;223:759-67.
Gulcin I. Comparison of in vitro antioxidant and antiradical activities of L-tyrosine and L-Dopa. Amino Acids 2007;32:431-8.
Hyslop PA, Hinshaw WA, Schraufstatter IU, Sauerheber RD, Spragg RG, Jackson JH, et al. Mechanism of oxidation-mediated cell injury. The glycolytic and mitochondrial pathways of ADP phosphorylation are major intracellular targets inactivated by hydrogen peroxides. J Biol Chem 1988;263:1665-75