Department of Biotechnology, Federal University of Tocantins, Gurupi-TO, Brazil.
Email: luiz_cbb@hotmail.com
Received: 27 Jul 2014 Revised and Accepted: 25 Aug 2014
ABSTRACT
Objective: There is a considerable therapeutic interest in eIF5A as a potential target for drug development through inhibition of hypusination. In this regards, protein structural information is fundamental. Herein, we reported the developing of a web-based system, called eIF5ADB, which compiles all protein structural data on eIF5A and its related proteins.
Methods: The eIF5ADB database was implemented as a MySQL relational database, using PHP scripting language. Web interfaces were developed using HTML, CSS and JavaScript. The data were collected from PDB, UniProt and Entrez databases. These data were filtered appropriately using specialized literature.
Results: The database provides three modules that allow to search, acquisition of contents and access to statistical data, besides direct links to matching to external databases.
Conclusion: The platform developed here is very useful for researchers interested in this content and can be accessed at http: //www. gurupi. uft. edu. br/btoxdb/eif5adb.
Keywords: eIF5A, Hypusine, Deoxyhypusine synthase, Elongation factor P, Structural database, Potential therapeutic targets.
INTRODUCTION
Translational control is very important in all organisms. The translation factor eIF5A is essential for cell viability and is highly conserved from archaea to mammals. This factor is the only protein known to contain the unusual amino acid hypusine [N ε- (4-amino-2-hydroxybutyl)-lysine] that is essential for its biological activity [1]. This post-translational modification is dependent on the polyamine spermidine and is achieved by two sequential catalytic steps of the enzymes deoxyhypusine synthase (DHS) and deoxyhypusine hydroxylase (DOHH). Briefly, DHS catalyzes the formation of an intermediate (deoxyhypusine [Nε-(4-amino-butyl)-lysine] residue) by the transfer of the aminobutyl moiety of polyamine spermidine to one specific lysine residue of the eIF5A precursor. Subsequently, this intermediate is hydroxylated by DOHH to form hypusine-containing active eIF5A [1]. eIF5A promotes methionyl-puromycin synthesis in vitro, a model reaction for the formation of the first peptide bond. However, recently eIF5A has been implicated in translation elongation instead of initiation [2].
Deoxyhypusine and hypusine occur in archaea and eukaryotes, but not in eubacteria. However eubacteria has an elongation factor P (EF-P), which is an ortholog of eIF5A [3]. Similar to eIF5A that has a conserved lysine residue post-translationally modified to hypusine, EF-P has a corresponding lysine residue from at least some bacteria that is modified by the addition of a β-lysine moiety. This post-translationally modification is called lysinylation and, as hypusination, is unique [2]. EF-P also promotes methionyl-puromycin synthesis in vitro and has a significant amino acid sequence similarity with archaeal IF5A (aIF5A) and eIF5A[1]. EF-P is an essential protein in bacteria stimulating the peptidyl transferase activity of the ribosome, in the elongation step of the translation [4]. Recently, was also implicated to play a role in the relief of ribosome stalling caused by specific amino acid sequences [5]. Furthermore, EF-P has been indicated to play an auxiliary role that is required for virulence and resistance to multiple forms of stress [6].
Since eIF5A is important in protein translation and the hypusine is essential for its biological activity, disruption of the hypusination is of considerable interest as a strategy against many human disorders [7,8]. Mutants of eIF5A that cannot be hypusinated induce apoptosis in numerous cancer cell types including colon, cervical, skin, and lung cancer [7, 9, 10]. Clinical drugs ciclopirox and deferiprone could impair transcription from HIV-1 promoters and decrease HIV-1 gene expression by inhibiting eIF5A hypusination [11]. Furthermore, eIF5A is proposed as a potential cellular target to improving several anti-inflammatory treatments [12, 13].
Currently, there is a diminished the overall capacity to generate novel drugs because pharmaceutical companies have dedicated major efforts to obtain new versions of old drug classes, abandoning the programs of development of new types directed towards unexplored targets.
There is a need for alternative drugs to improve treatments in many human disorders. Considering the importance of eIF5a and its related proteins as new potential unexplored targets for development of alternative drugs and the importance of structural data for this purpose, here is presented a web-based system, called eIF5ADB, that was created to maintain a resource of all available protein structural information of these proteins.
The database provides three modules: i) a “Search” module, which perform a search from keywords; ii) a “Browse” module, which return data from predefined options; iii) a “Statistics” module, which return statistics data from the database. The eIF5aDB is a record-based database. It was implemented as a MySQL relational database, running on a Linux platform with an Apache web-server. Web interfaces were developed using HTML, CSS and JavaScript languages. All charts were constructed with Google Charts (https: //developers. google. com/chart/). The eIF5aDB database is managed and updated using the SQL and PHP scripting languages. The data were collected from PDB (http: //www. rcsb. org/pdb/home/home. do), UniProt (www. uniprot. org) and Entrez (http: //www. ncbi. nlm. nih. gov) databases. All data from these databases were extracted using keyword and sequence homology searches. These data were filtered appropriately using specialized literature.

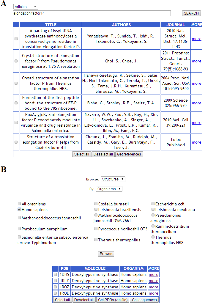
Fig. 1: Examples of use "Search" and "Browse" modules. A) An example of the results of a search of articles using the term “elongation factor P”. B) An example of the results for “Homo sapiens”, using "Browse" module.
The modules named “Search” and “Browse” were developed to allow queries on entries deposited in the eIF5ADB database, allowing preset if the user is only interested in literature search or only interested in data of structures from crystallography or NMR experiments. The "Search" module should be used when the user is interested in data search from keywords and without any filtering by taxonomy or specific organisms. The "Browse" module should be used when the user is interested in browse the complete listing of eIF5ADB database entries or browse all data from one or more taxonomy (archaea, eubacteria or eukaryota) or one or more species.
In both tools, the literature search initially returns entries in a table (Figure 1A) and each result is displayed in one row of the table, containing information about title, authors and journal. The complete reference of selected entries can be downloaded using the "Get references" button on the bottom of the display page. For each entries, on the right of the display page, a “more” option allows to see detailed content, which display PMID and DOI numbers, both allowing link to respectively external databases, and the abstract of the reference. If is searched data of structures, in both modules, a screen is showed with the data in a table containing information about PDB ID, molecule name and organism (Figure 1B). The PDB files or primary sequences of selected entries can be downloaded using the "Get PDBs" and "Get sequences" buttons, respectively, on the bottom of the display page. For each entry, on the right of the display page, a “more” option allows to see detailed content of each structure, in a new screen, including experimental data, molecule names, primary sequences and article related.
The module named “Statistics” provides the researcher a way to obtain statistical data from solved structures on eIF5A and its related proteins. In this module, it is possible to obtain statistical data grouped by taxonomy (archaea, eubacteria or eukaryota), organisms or protein type (eIF5A/aIF5A, EF-P or any enzymes related). The Table 1 shows current 3D structures of eIF5A and its related proteins, grouped by protein type, based on data collected and processed from the eIF5ADB database.
The compilation of all structural data on eIF5A and its related proteins in one platform is very useful for researchers interested in this content, allowing search, acquisition of contents and access to statistical data, besides direct links to match to external databases. The eIF5ADB database is available to the public and can be accessed at http: //www. gurupi. uft. edu. br/btoxdb/eif5adb. The database will be updated on a monthly according on new structural data on eIF5A and its related proteins were published. New tools can be incorporated to allow additional data analysis.
Table 1: Current 3D structures of eIF5A and related proteins grouped by protein type. All data were collected and processed from the eIF5ADB database.
| Protein type | PDB ID | Chain ID | Experimental method |
| Desoxyhypusine synthase (DHS) | 1DHS | A | X-ray |
| 1RLZ | A | X-ray | |
| 1ROZ | A, B | X-ray | |
| 1RQD | A, B | X-ray | |
| Elongation factor P (EF-P) | 1UEB | A, B | X-ray |
| 1YBY | A, B | X-ray | |
| 3HUW | V | X-ray | |
| 3HUY | V | X-ray | |
| 3A5Z | B, D, F, H | X-ray | |
| 3OYY | A, B | X-ray | |
| 3TRE | A | X-ray | |
| Lysyl-tRNA synthetase
(EF-P-lysine lysyltransferase) |
3A5Y | A, B, C, D | X-ray |
| 3A5Z | A, C, E, G | X-ray | |
| 3G1Z | A, B | X-ray | |
| Translation initiation factor 5A (eIF5A or aIF5A) | 1IZ6 | A, B, C | X-ray |
| 2EIF | A | X-ray | |
| 1BKB | A | X-ray | |
| 1EIF | A | X-ray | |
| 1XTD | A | X-ray | |
| 1X6O | A | X-ray |
ABBREVIATIONS
aIF5A - Archaeal initiation factor 5A, CSS - Cascading Style Sheet, DHS - Deoxyhypusine synthase, DOHH -Deoxyhypusine hydroxylase, EF-P -Elongation factor P, eIF5A -Eukaryotic translation initiation factor 5A, HTML - Hypertext Markup Language, PDB -Protein Data Bank, PHP -Hypertext Preprocessor, SQL -Structured Query Language
ACKNOWLEDGEMENTS
We gratefully acknowledge National Counsel of Technological and Scientific Development (CNPq) for financial support.
CONFLICT OF INTEREST
None
REFERENCES