Int J Pharm Pharm Sci, Vol 6, Issue 9, 372-375Original Article

SYNTHESIS, CHARACTERIZATION AND EVALUATION OF NOVEL 6- SUBSTITUTED BENZIMIDAZOLE-2-CARBAMATES AS POTENTIAL ANTIMICROBIAL AGENTS

MALATHI RAGHUNATH, C. L. VISWANATHAN

Department of Pharmaceutical and Medicinal Chemistry, Sterling Institute of Pharmacy, Sector 19, Nerul (East), Navi Mumbai 400706, Department of Pharmaceutical and Medicinal Chemistry, Gahlot Institute of Pharmacy, Plot No. 59, Sector 14, KoparKhairane, Navi Mumbai 400709. Email: malathiraghu12@gmail.com

Received: 29 Jul 2014 Revised and Accepted: 25 Aug 2014


ABSTRACT

Objective: The aim of the present work was to synthesize and characterize a series of 6- substituted benzimidazole-2-carbamic acid derivatives and evaluate them for antimicrobial activity.

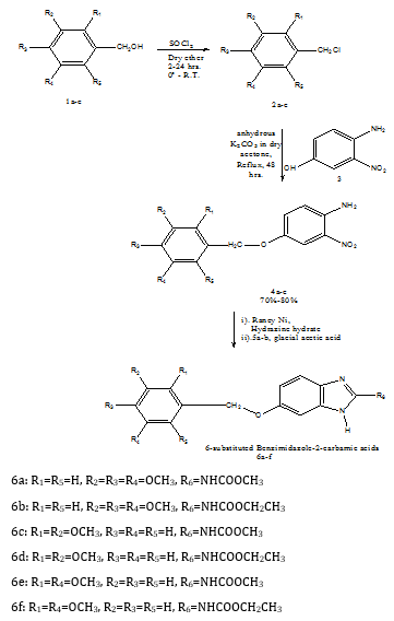
Methods: A novel series of 6-substituted benzimidazole-2-carbamic acid derivatives (6a-f) were synthesized by reacting substituted benzyl chlorides (2a-c) with 4-hydroxy -2- nitro aniline (3) in the presence of anhydrous K2CO3 in acetone. The series of 4-benzyl oxy -2-nitro anilines (4a-c) thus obtained were reduced with Raney nickel as catalyst. The 4-substituted-1, 2-phenylene diamines were then reacted with 1, 3- bis (alkoxy carbonyl)-S-methyl isothiourea (5a-b) to yield the final compounds (6a-f). The structures of synthesized compounds were established by 1H NMR and mass spectroscopy. The synthesized compounds were screened for antibacterial and antifungal activity against five pathogenic bacterial strains and two pathogenic fungal strains.

Results: All compounds showed moderate to good antibacterial and antifungal activity and were nearly effective as the standard antibacterial and antifungal drugs used for comparison. The exhibited good activity against gram negative bacterial strains like K. pneumoniae and P. aeruginosa as well as against fungal strain C. albicans.

Conclusion: The 6-substituted benzimidazole-2-carbamates. compounds synthesized and evaluated for pharmacological activity are promising as antimicrobial agents and are amenable for further optimization.

Keywords: Benzimidazole-2-carbamic acid, β-tubulin, Antibacterial, Antifungal.


INTRODUCTION

Molecules containing benzimidazole ring system have been extensively researched and reviewed. Compounds containing benzimidazole moiety have been reported to possess varied pharmacological activities such as antiulcer, anti-hypertensive, antimicrobial, antihistaminic, and anti-psychotic [1-4]. A vast number of benzimidazole derivatives bearing the substituent either on the benzene ring or imidazole nucleus have been synthesized leading to novel, biologically active molecules. Noteworthy amongst these are the 2-substituted benzimidazoles possessing antifungal activity [5, 6]. Substitution at 2-position on benzimidazole nucleus enhances antifungal activity manifold. Some of these derivatives contain an alkyl carbamate function at 2-position with the alkyl group containing 1-7 carbon atoms. Some examples of molecules belonging to this category are carbendazim, benomyl, cypendazole and have been put in to commercial use for controlling plant fungal diseases and are of economic importance [7-9]. These fungicides interact with β-tubulin protein and inhibit spindle formation thus accounting for their anti-mitotic activity resulting in cell death [10]. The widespread use of these agents has resulted in development of resistant strains of fungi.

Opportunistic fungal infections in humans are a cause of serious concern and none of the benzimidazoles presently available in the market are effective in humans. The 2-substituted benzimidazoles bearing a suitable substituent in the benzene ring have been reported in literature to possess significant antibacterial activity [11-14]. Benzimidazoles compete with purines due to their structural similarity, thus resulting in inhibition of synthesis of bacterial nucleic acids and proteins. The incidence of microbial infections has assumed alarming proportions worldwide because of the indiscriminate use of existing antimicrobial agents which resulted in drug resistance. Lack of newer antimicrobial agents which are efficacious has increased morbidity, mortality and health care costs. In order to overcome these challenges, there is a greater need to develop novel and effective molecules possessing antibacterial and antifungal activity. The present work is aimed towards developing novel benzimidazole-2-carbamic acid derivatives bearing suitable substituents at 5(6) position and with improved potential for treating bacterial and fungal infections. A critical analysis of the structures of known antibacterial agents with benzimidazole as the central moiety indicated the importance of substitution at 2 and 5(6) positions for retaining antibacterial/antifungal activity. Hence in the designing of novel molecules emphasis was on varying the nature of substituents at 2 and 5(6) positions on benzimidazole ring. This led to designing novel 6-substituted benzyl oxy benzimidazole-2-carbamates with simultaneously changing the carbamate alkyl group to study its contribution to activity. The nature of substituents on the benzyl group was chosen carefully again based on the literature data available on existing derivatives. The newly designed molecules were then synthesized by efficient synthetic process with emphasis on reducing side products. The synthesized compounds were purified, characterized by 1H NMR and mass spectroscopy and evaluated for antibacterial and antifungal activity.

MATERIALS AND METHODS

All synthesized compounds were purified by a simple recrystallization process. The melting points were recorded in open capillary tube and are uncorrected. 1H NMR spectra were recorded on 500 MHz Bruker NMR spectrometer using CDCl3 or DMSO-D6 as solvent and tetra methyl silane was used as reference. Mass spectra were obtained using ESI LC-MS Schimadzu mass spectrometer. All reactions were monitored by thin layer chromatography using precoated silica gel GF254 aluminium plates purchased from E. Merck. Other chemicals were procured from commercial sources and used without further purification.

Experimental Procedure

The substituted benzimidazole-2-carbamates were synthesized by reacting substituted 1, 2-phenylene diamine with thiourea synthon generated in situ as shown in Table 1 [15-17].

Table 1: It shows thiourea synthon for introduction of carbamate group at 2-position in benzimidazole

S. No. Synthon Structure Reference
1. 1-methoxy carbonyl-s-methyl iso thiourea [15]
2. 1,3-Bis-(alkoxy carbonyl)-S-methyl isothiourea [16,17]

Appropriately substituted benzyl alcohols (1a-c) were used as starting materials. The benzyl alcohols were reacted with thionyl chloride in diethyl ether at 0° C and gradually stirred at room temperature for 2-24 hours to yield the corresponding substituted benzyl chlorides (2a-c). The reaction of the benzyl chlorides (2a-c) with 4-hydroxy -2- nitro aniline (3) in refluxing acetone in presence of anhydrous K2CO3 gave 4-benzyl oxy -2-nitro anilines (4a-c). The nitro groups in 4a-c were then reduced using hydrazine hydrate and Raney nickel as catalyst. The 4-substituted 1, 2-phenylene diamines were obtained as a solution in ethanol by filtering the reaction mixture. 1, 3-bis (alkoxy carbonyl)–S-methyl isothiourea derivatives (5a-b) were generated in situ using S-methyl isothiouronium sulfate and alkyl chloroformate in the presence of KOH/NaOH. Finally the reaction of 4-substituted 1, 2-phenylene diamines with compounds 5a-b in the presence of refluxing glacial acetic acid gave 6-substituted benzimidazole derivatives (6a-f) having an alkyl carbamate group at the 2-position (scheme 1).

General procedure for synthesis of 4-benzyl oxy-2-nitro anilines (4a-c)

A mixture of 4-hydroxy -2- nitro aniline (3) (2.31 g, 0.015 mol), anhydrous potassium carbonate (3.5 g, 0.025 mol) and substituted benzyl chlorides (2a-c) (3.24 g, 0.015 mol) was stirred in 40 ml of dry acetone and heated at reflux for 24-48 hrs. The mixture was cooled and poured into ice. The separated solid was filtered, washed with water and dried. The solid were redissolved in acetone and 0.1N NaOH was added till precipitation was complete, filtered and dried. This gave 4a-c as yellow to orange solids in sufficiently pure form. 4a-M. P. 130º (80.4%) Rf value 0.62, 4b- M. P. 88º (82.3%) Rf value 0.48, 4c- M. P. 85º (78.52%) Rf value 0.43.

General procedure for synthesis of 4-substituted-1, 2-phenylene diamines

A stirred suspension of appropriate benzyl oxy derivative (4a-c) (0.44 g, 1.32 mmol) in 10 ml of ethanol was treated with Raney nickel slurry in water (3.0 g). Hydrazine hydrate (3.0 ml, 85 % solution in water) was added drop wise. The mixture was stirred for 45-60 mins. The solution was filtered and the solvent was evaporated. The obtained oil was immediately cyclo-condensed without further purification.

General procedure for synthesis of 6-substituted benzyl oxy benzimidazoles (6a-f)

To a solution of S-methyl isothiouronium sulphate in water (0.8 g, 6.06 mmol), the alkyl chloroformate (1.14 g, 12.12 mmol) was added all at once after cooling to 0ºC using ice-salt mixture. A solution of 25 % aqueous NaOH/KOH was added drop wise and pH was adjusted to 7-8. The pH and temperature of the reaction was maintained at 7-8 and 0-5ºC respectively for about 1 hr 15 mins. The obtained 1,3-bis (alkoxy carbonyl)- S-methyl isothiourea (5a-b) formed in situ was treated with glacial acetic acid added drop wise over a period of 15 mins to adjust the pH to 3-4 followed by addition of 4-substituted 1, 2-phenylene diamine (1.8 g, 6.06 mmol) in one portion. The resulting mixture was warmed to 100ºC and refluxed for a period of 2-3 hrs. Solid benzimidazole derivatives were isolated by filtration and washed well with water and air-dried. They were then purified by dissolving in chloroform-methanol (9:1). Evaporation of the solvent gave 6a-f in pure form.

Anti microbial Evaluation

The synthesized compounds (6a-f) were screened for antibacterial and antifungal activity by cup plate (well diffusion) method [18-20]. The strains of bacteria used were Staphylococcus aureus ATCC 9144, Bacillus subtilis ATCC 6633, Escherichia coli ATCC 25922, Klebsiella pneumoniae ATCC 29665 and Pseudomonas aeruginosa ATCC 15442.

Scheme 1: It shows synthesis of 6-substituted benzimidazole-2-carbamates (6a-f).

The fungal strains used were Candida albicans ATCC 2091 and Aspergillus niger 16404 and obtained from Food and Drugs Administration, Govt. of Maharashtra, Mumbai. The microbial cultures were characterized using morphology and staining technique prior to use in the screening. The media used for antibacterial testing was nutrient agar. The media used for antifungal testing was Saboraud’s Chloramphenicol Agar. These were procured from HiMedia Pvt. Ltd. Mumbai. The stock culture was maintained on agar slants and stored at 4ºC. All the strains were sub cultured on the appropriate agar plate 24 h prior to antimicrobial evaluation of test compounds. The cultures were prepared by inoculating loopful of suspension from freshly prepared slants to nutrient broth (for bacteria) and Saboraud’s Chloramphenicol broth (for fungi) and incubated at 37ºC for 24 hrs.

A particular volume of enriched broth was diluted in sterile saline and the turbidity of resulting suspension of organism was matched with 0.5 McFarland standard to contain approximately 1.5 x 108 CFU/ml. Antibacterial activity was determined against a standard antibiotic such as Ceftriaxone disodium 0.25mg/ml and antifungal activity was determined using standard antifungal agent fluconazole 0.25 mg/ml. Stock solutions of the test compounds and standards with concentrations 1mg/ml were made in DMSO.

Appropriate dilutions of the test and standard stock solutions were also made in DMSO to yield a final concentration of 0.1 mg/ml for the test compounds and 0.25 mg/ml for the standards used. DMSO was used as control against all the organisms. The minimum inhibitory concentrations were also determined by agar plate method and it was taken to be as the lowest concentration that produces no visible turbidity after incubation. Molten sterile nutrient agar (20 ml) was poured in presterilized Petri plate and allowed to solidify.

The bacterial/fungal suspension (0.1 ml) was spread uniformly using a glass spreader. Wells of standard diameters was made in the nutrient agar medium using a sterile cork borer of 8 mm. The test and standard compounds were introduced in to the wells using micropipette with sterile tips.

The agar plates were incubated at 37ºC for 24 hours. The diameter of the zone of inhibition was measured in mm by subtracting the diameter of borer from each reading. The test was carried out in triplicates and the mean value of these readings was recorded.

RESULTS AND DISCUSSION

The physical constants and spectral characteristics of the key intermediate 4- benzyl oxy-2-nitro anilines (4a-c) are shown in Table 2. Mass spectra and 1H NMR confirmed structures of nitro anilines synthesized. Table 3 and Table 4 give the physical constants and the spectral characteristics of 6-substituted benzimidazole-2-carbamates (6a-f). The final compounds corresponded with their m/z mass values in the mass spectrum and 1H NMR spectra obtained were also in accordance with the structures envisaged. The results of the antimicrobial activity are shown in Table 5. The compounds exhibited moderate to good activity against the bacterial strains S. aureus, K. pneumoniae and P. aeruginosa and fungal strains C. albicans and A. niger. They were found to be as effective as the standards Ceftriaxone and fluconazole respectively. The activity of the compounds was found to be poor against B. subtilis. Compounds 6b, 6d and 6f showed good activity against E. coli whereas compounds 6a, 6c and 6e showed poor activity against this organism. The activity of all the compounds against fungal strain C. albicans was found to be slightly better than A. niger. The overall antibacterial activities for the gram negative bacterial strains such as K. pneumoniae and P. aeruginosa were better than E. coli and gram positive bacteria. The compounds exhibited moderate activity against S. aureus in comparison to B. subtilis. The minimum inhibitory concentration for the compounds as shown in table 6 ranged from 50-100 mcg/ml for S. aureus, K. pneumoniae and P. aeruginosa, for E. coli it ranged from 75- 125 mcg/ml, for B. subtilis the values were somewhat higher ranging from 100-150 mcg/ml whereas for C. albicans and A. niger it ranged from 25-50 mcg/ml.

Table 2: It shows the spectral data of 4- benzyl oxy-2-nitro anilines (4a-c).

Compound No. 1HNMR (δ in ppm) Mass spectrum m/z values (% rel. intensity)
4a δ 3.6-4.0 (m, 9H, -OCH3), δ 4.9-5.0 (s, 2H, -CH2), δ 5.9-6.0 (br. s, 2H,-NH2), δ 6.8-7.6 (m, 5H, PhH). 333.2 (MH̄,100)
4b δ 3.90 (s, 6H, -OCH3), δ 5.20(s, 2H, -CH2), δ 5.80 (br. s, 2H,

-NH2), δ 6.80-7.80 (m, 6H, PhH).
302.8

(MH̄,100)
4c δ 3.70-3.90 (s, 6H, -OCH3), δ 5.08(s, 2H,-CH2Ar), δ 6.02 (br. s, 2H,-NH2), δ 6.90-7.00 (m, 6H, PhH). 302.7 (MH̄,100)

Table 3: It shows physical constants of substituted Benzimidazoles (6a-f).

Compound

No.
Molecular formula Molecular

Mass
Melting point

º C
Percent yield*
6a C19H21N3O6 387 205-207 42
6b C20H23N3O6 401 145-150 40
6c C18H19N3O5 357 198-202 35
6d C19H21N3O5 371 136-138 37
6e C18H19N3O5 357 193-196 42
6f C19H21N3O5 371 134-136 45

* Percent yield calculated on basis of benzyl oxy derivative (4a-c) used as starting material for obtaining substituted benzimidazoles (6a-f).

Table 4: It shows spectral data of substituted Benzimidazoles (6a-f).

Compound No. 1HNMR (δ in ppm) Mass spectra

m/z values (% rel. intensity)
6a δ 3.4 (s,3H, -OCH3), δ 3.66,3.74 and 3.82 (s, 9H, -OCH3), δ 4.98(s,2H,-CH2Ar), δ 6.78(s,2H,PhH), δ 7.02-7.03(d,1H,5H), δ 7.25(s, 1H, 7H), δ 7.28(s,1H,4H), δ 11.5 (br. s,1H,-NH) 388.2 (MH+,100)
6b δ 1.25 (t,3H,-CH2CH3), δ 3.40,3.69 and 3.78 (s, 9H, -OCH3), δ 4.15(q,2H,-CH2CH3),δ 5.00(s,2H,-CH2Ar), δ 6.78(m,2H,PhH), δ 7.02-7.03(d,1H,5H), δ 7.25(s, 1H, 7H), δ 7.28(s,1H,4H), δ 11.4 (br. s 1H,-NH) 403.4 (MH+,100)
6c δ 3.72,3.77 and 3.82 (s, 9H, -OCH3), δ 5.04(s,2H,-CH2Ar), δ 6.73-6.77(d,1H,5H), δ 7.05-7.07(s,3H,PhH), δ 7.25(s, 1H, 7H), δ 7.28(s,1H,4H), δ 11.5 (br. s,1H,-NH) 358.0 (MH+,100)
6d δ 1.43-1.48 (t,3H,-CH2CH3), δ 3.87 (s, 6H, -OCH3), δ 4.36-4.43(q,2H,-CH2CH3),δ 5.16(s,2H,-CH2Ar), δ 6.91(s,1H,5H), δ 6.93-6.93(s,3H,PhH), δ 7.05-7.09(s, 1H, 7H), δ 7.11-7.13(s,1H,4H), δ 10.56 (br. s,1H,-NH) 372.2 (MH+,100)
6e δ 3.69, 3.72 and 3.79 (s, 9H, -OCH3, δ 5.18(s,2H,-CH2Ar), δ 6.77-7.10(m,4H,5H and PhH), δ 7.24(s,1H,4H), δ 7.25(s, 1H, 7H), δ 10.58 (br. s,1H,-NH) 358.0 (MH+,100)
6f δ 1.27 (t,3H,-CH2CH3), δ 3.78 and 3.73 (s, 6H, -OCH3), δ 4.17 (q,2H,-CH2CH3),δ 5.27(s,2H,-CH2Ar), δ 6.80-6.93(s,4H,5H and PhH), δ 7.08(s,1H,7H), δ 7.14(s, 1H, 74H), δ 10.62 (br. s,1H,-NH) 372.2 (MH+,100)

Table 5: It shows in vitro data for antimicrobial screening of Benzimidazoles (6a-f).

Compd Zone of Inhibition (mm)
S. aureus B. subtilis E. coli K. pneumoniae P. aeruginosa C. albicans A. niger
6a 8±0.50 trace trace 11±0.35 9±0.20 13±0.30 10±0.12
6b 9±0.20 trace 14±0.21 12±0.35 9±0.50 15±0.35 8±0.50
6c 10±0.30 trace trace 13±0.50 10±0.35 11±0.50 9±0.20
6d 11±0.32 trace 12±0.21 12±0.12 11±0.50 12±0.50 8±0.50
6e 9±0.20 trace trace 12±0.12 9±0.20 13±0.21 10±0.35
6f 10±0.32 trace 13±0.50 11±0.35 10±0.20 14±0.21 12±0.20
CEFT 10±0.12 8±0.5 7±0.22 12±0.50 10±0.22 - -
FLU - - - - - 12±0.20 11±0.20

CEFT-Ceftriaxone, FLU-Fluconazole. Zone diameter values are expressed as mean ± s. d.

Table 6: It shows MIC (Minimum Inhibitory Concentration) for antibacterial and antifungal activity of Benzimidazoles (6a-f).

Micro-organisms Minimum Inhibitory Concentration (mcg/ml)
6a 6b 6c 6d 6e 6f
S. aureus ATCC 9144 50 100 50 75 50 100
B. subtilis ATCC 6633 150 125  100 125 100 150
E. coli ATCC 25922 125 75 100 75 100 75
K. pneumoniae ATCC 29665 50 50 50 50 50 50
P. aeruginosa ATCC 15442 75 50 50 50 50 50
C. albicans ATCC 2091 35 25 25 25  25 35
A. niger ATCC 16404 25 25 50 50 25 50

CEFT-Ceftriaxone, FLU-Fluconazole

CONCLUSION

A novel series of 6-substituted Benzimidazole-2-carbamates.were synthesized and characterized by spectral analysis. They exhibited moderate to good antibacterial and antifungal activity. These results are promising indeed and the findings of this study imply that these compounds have potential for further development and optimization study.

CONFLICT OF INTERESTS

Declared None

ACKNOWLEDGEMENTS

We are grateful to University of Mumbai for funding this project under minor research grant (vide letter no.: APD/237/368 of 2013 dated: 06/12/2013) and Monarch Catalyst Pvt. Ltd for providing us with chemicals and solvents.

REFERENCES

  1. Walia R, Md H, Naaz FS, Iqbal K, Lamba HS. Benzimidazole Derivatives-An Overview. Int J Res Pharm Chem 2011;1(3):565-73.
  2. Srikanth L, Raj VV, Raghunandan N, Venkateshwerlu L. Recent advances and potential pharmacological activities of benzimidazole derivatives. Der Pharm Chem 2011;3(2):172-93.
  3. Desai JV, Chavan RS, Chaudhari NS, Patil ST. A short review on chemistry and potential activities of benzimidazole molecule. Int J Pharm Tech 2013;5(1):2477-94.
  4. Malathi R, Viswanathan CL. Benzimidazole-2-Carbamic acid as a privileged scaffold for antifungal, anthelmintic and antitumor activity: A review. Int J Pharm Pharm Sci 2014;6(5):17-25.
  5. http: //www. google. com/patents/US3010968 (accessed Apr 20, 2014).
  6. http: //www. google. com/patents/US3370957 (accessed Apr 20, 2014).
  7. Chemspider database. CSID: 23741, http: //www. chemspider. com/Chemical-Structure. 23741. Html (accessed 9:55, Apr 20, 2014).
  8. Chemspider database. CSID: 26771, http: //www. chemspider. com/Chemical-Structure. 26771. Html (accessed 10:00, Apr 20, 2014).
  9. Chemspider database. CSID: 31583, http: //www. chemspider. com/Chemical-Structure. 31583. Html (accessed 10.05, Apr 20, 2014).
  10. Ireland CM, Gull K, Gutteridge WE, Pogson CI. The interaction of benzimidazole carbamates with mammalian microtubule protein. Biochem Pharmacol 1979;28:2680-82.
  11. Kazimierczuk Z, Upcroft JA, Upcroft P, Gorska A, Starosciak B, Laudy A. Synthesis, antiprotozoal and antibacterial activity of nitro-and halogeno-substituted benzimidazole derivatives. Acta Biochim Pol 2002;49(1):185-95.
  12. Panneer Selvam T, Radhika PP, Janagaraj S, Siva Kumar A. Synthesis of novel 2-substituted benzimidazole derivatives as potential antimicrobial agents. Res Biotechnol 2011;2(3):50-7.
  13. Sudheer Babu I, Selvakumar S, Manasa GM, Haritha P, Neeraja B, Basri RS, et al. Synthesis, characterization and antimicrobial screening of some 1-substituted benzimidazole derivatives. Int J Pharm Ind Res 2012;2(1):71-7.
  14. Mehendale NP, Gowsa PT. Synthesis and antifungal activity of some substituted benzimidazole analogues. Int Res J Pharm 2012;3(7):189-94.
  15. http: //www. google. com/patents/US3657267 (accessed Apr 22, 2014).
  16. http: //www. google. com/patents/US3812173 (accessed Apr 23, 2014).
  17. Townsend LB, Wise DS. The synthesis and chemistry of certain anthelmintic benzimidazoles. Parasitol Today 1990;6(1):107-12.
  18. Nikam SR, Khanvilkar VV, Jagdale DM, Jadhav AP, More SH, Kadam VJ. Evaluation of antibacterial and antifungal activities of marketed anti-dandruff shampoos. Indo Am J Pharm Res 2013;3(10):8097-100.
  19. Raghavendra KR, Ajay Kumar K, Shashikanth S. Synthesis of novel 1,4-Benzothiazepines and in vitro screening of their antimicrobial activity. Int J Pharm Pharm Sci 2014;6(5):90-3.
  20. Varshney S, Saxena V. Design, Synthesis, characterization and biological evaluation of some novel cinnolo piperazine derivatives. Int J Pharm Pharm Sci 2014;6(5):245-8.