School of Pharmacy, Curtin University of Technology, Bentley, WA, Australia College of pharmacy, University of Kerbala, Karbala-Iraq
Email: muder.alhaydar@graduate.curtin.edu.au, Modher.haider@uokerbala.edu.iq
Received: 26 Apr 2014 Revised and Accepted: 02 June 2014
ABSTRACT
Objectives: The effect of inclusion complexes of artesunate (ART) with hydroxypropyl-ß-cyclodextrin (HP-ß-CD) at selected pH values on the phase solubility profile and stability of ART in aqueous solution was investigated.
Methods: Phase solubility studies were performed in 0.20 M phosphate buffer solutions and 0.5 µ of pH values 3.00, 4.00, 5.00 and 6.00. ART (1 g) was added for all samples of 0, 52, 104 and 156 m mole of HP-ß-CD and agitated at 100 rpm and 25 °C ± 0.6 °C in an orbital shaker until equilibrium was achieved.
Results: The phase solubility profile of the complex was classified as AL-type, indicating the formation of a 1:1 stoichiometric inclusion complex. A complex of ART with HP-ß-CD (272 mg mL-1) showed a 25-fold increase in solubility compared to ART at pH 3.0. The stability constants (Kst) of the inclusion complexes were 83, 73 and 60 mole-1 at pH 6.0, 7.0 and 8.0 respectively. The activation energies (Ea) were obtained from Arrhenius plots of degradation rate constants in the presence and absence of HP-ß-CD. The thermodynamic parameters of activation enthalpy and entropy were obtained from Eyring Equation. The activation energies Ea in the absence and presence of HP-ß-CD were 93.4 and 95.8 kJ/mole respectively. The shelf-life of ART in the presence of HP-ß-CD was increased more than 4-fold.
Conclusion Solubility and stability of ART in aqueous solution was increased in the presence of HP-β-CD.
Keywords: Artesunate, Cyclodextrin, Solubility, Complexation
INTRODUCTION
Artemisinin and its derivatives, dihydroartemisinin (DHA), artesunate (ART) and artemether represent a new class of antimalarial drugs with potent activity against plasmodium falciparum(1). ART is a semi-synthetic derivative of artemisinin used for the treatment of both uncomplicated and severe malaria with potent activity against plasmodium falciparum(2, 3). It is formulated for oral, parenteral (intramuscular and intravenous) and rectal administration and used clinically worldwide(4). Although it is frequently employed as a water soluble drug at neutral pH values, it is not sufficiently soluble in acidic solution and demonstrates rapid degradation in both acidic and basic aqueous solution(5-7). Artemisinin derivatives are diverse in that their solubility in water varies from very poorly soluble to soluble prompting researchers to develop new delivery models to increase their solubility and stability in formulations and in vivo(8, 9). Cyclodextrins are cyclic oligosaccharides, have an ability to form inclusion complexes which solubilize and stabilize drugs. Hydroxypropyl-β-cyclodextrin (HP-β-CD) is a chemically modified derivative of β-cyclodextrin (β-CD), where some hydroxypropyl groups on the cylodextrin molecule are substituted by hydroxypropyl groups.
It has an advantage of much higher water solubility(9). A review has shown increased stability of a wide range of chemically distinct drugs as a result of complexation with HP-β-CD(10). Artemisinin solubility was greatly enhanced through inclusion complexation with cyclodextrins(10). Independent of pH and buffer apparent solubility of dihydroartemesinin increased as a function of HP-β-CD concentration up to 89-fold(11). The solubility of artemether also increased linearly with increasing HP-β-CD concentration(11). Another study has shown that equilibrium solubility data for artesunate increased in the order of β-CD, HP-β-CD and methyl-β-CD which was also reflected in increased association constants. The inclusion reaction was largely enthalpically controlled(11).
This study has evaluated the effects of inclusion complexes of ART with HP-ß-CD at selected pH values on the phase solubility profile and stability of ART in aqueous solution.
MATERIALS AND METHODS
Materials
ART was provided by Apin Chemical Ltd. HP-ß-CD was provided by Cerestar USA Inc. All solvents used were high performance liquid chromatography (HPLC) grade and water was purified through a Milli-Q apparatus
Methods
The HPLC (Waters 501, HPLC pump, Millipore USA, Apollo C18 (5 µm) column of 150 mm length and ID of 4.6 mm, was used with UV detector at 210 nm, Waters 484 Millipore, USA). Mobile phase was phosphate buffer 50 mM - acetonitrile (70:30) at pH 7.00 and flow rate of 1.5 mL min-1. Phase solubility studies were performed in 0.20 M phosphate buffer solutions and 0.5 µ of pH values 3.00, 4.00, 5.00 and 6.00. ART (1 g) was added for all samples of 0, 52, 104 and 156 m mole of HP-ß-CD and agitated at 100 rpm and 25 °C ± 0.6 °C in an orbital shaker until equilibrium was achieved. Aliquots were withdrawn, filtered with a syringe equipped with a 0.22 µm filter, diluted and analyzed by HPLC.
The phase solubility relationship of the complexes was based on the Higuchi and Connors model (12). For stability studies samples of 2mg mL-1 (5.20 x 10-3 M) of ART were evaluated in buffered solutions of pH values of 6.00, 7.00 and 8.00 and at 37.0 °C. Graded amounts of HP-ß-CD were added to the samples to achieve concentrations of 1.04 x 10-2, 2.08 x 10-2, 4.16 x 10-2 and 8.32 x 10-2 M. ART remaining was determined from the log peak area divided by the peak area at zero time*100. Lineweaver-Burk plots were used to calculate the stability constants of the inclusion complexes and the rate constants of the free and complexed drug (13). The activation energy values (Ea) for ART were obtained from Arrhenius plots in the presence and absence of HP-ß-CD at 23, 30 and 37 °C and pH 7.0. Values of ΔH‡ and ΔS‡ were obtained from the Eyring relationship. Shelf-life values were determined from 0.105/k where k is the first-order rate constant. All data were fitted by least squares analysis and errors expressed as the standard error of the mean (SEM).
RESULTS AND DISCUSSION
Solubility plots, (Figure 1), as described by Higuchi and Connors indicated a linear relationship between HP-β-CD concentrations and ART concentrations classified as an AL- type of relationship for overall concentration of ART in solution with HP-ß-CD concentration. This relationship indicated the formation of 1:1 (molar) complexes and the apparent stability constant (Kst) was calculated from Equation (1)
Kst (1:1) = Slope / S0(1- slope) ……… (1)
S0: solubility of ART in the absence of HP-ß-CD
Data in Table 1 shows the solubility is markedly increased in the presence of HP-ß-CD especially at lower pH values. This complex formation is an equilibrium reaction governed by the constant Kst therefore ART showed high complex formation especially at pH 3.00 as well as a 24 fold increase in the solubility at 272 mg mL-1 with HP-ß-CD.

Fig.1 Phase solubility diagram of ART-HP-ß-CD complexes in aqueous solution at 25 °C and ♦ pH 3.00, ■ 4.00, ▲5.00 and ˟ 6.00.
Table .1: solubilities (± SEM) and Kst values of ART in phosphate buffers at pH values of 3.00, 4.00, 5.00 and 6.00 and 25 °C with different concentrations of HP-ß-CD.
| HP-ß-CD (mg mL-1) | 0 | 68 | 136 | 272 | Kst (mol -1) |
| pH | Solubility mg mL-1 | ||||
| 3.00 | 0.2 ± 0.002 | 1.9 ± 0.05 | 3.3 ± 0.08 | 5.0 ± 0.10 | 130 |
| 4.00 | 0.4 ± 0.005 | 2.2 ± 0.06 | 4.2 ± 0.09 | 10.9 ± 0.20 | 96 |
| 5.00 | 1.0 ± 0.03 | 4.7± 0.11 | 7.8 ± 0.15 | 15.4 ± 0.25 | 72 |
| 6.00 | 5.0 ± 0.12 | 12.1± 0.29 | 17.1 ± 0.3 | 19.4 ± 0.40 | 21 |
Stability studies
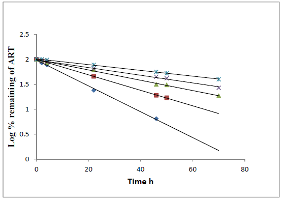
The observed rate constants, kobs, showed first-order dependent degradation of ART and the rates decreased with increased HP-ß-CD concentration at pH 6.00, 7.00 and 8.00 as shown in plots of log remaining ART concentrations versus time in Figure 2 (A), (B) and (C). These figures demonstrated linear relationships (R2 > 0.98) which indicated that such reactions obeyed first-order reaction kinetics. The observed rate constant was decreased with increased HP-ß-CD concentration.
This indicated that the stability of ART was increased with the increase HP-ß-CD concentration. There was no evidence of buffer catalysis of ART and the pH values remained constant (± 0.1) throughout the course of the kinetic studies at all temperatures and in the presence and absence of HP-β-CD.

(A)

(B)

(C)
Fig. 2. Degradation of ART in the presence of HP-ß-CD in 0.2 mole L-1 phosphate buffer solutions at 37 ˚C. (A) pH 6.0, (B) pH 7.0, (C) pH 8.0. and ♦ 0, ■ 13.6, ▲27.2, x 54.4 and ٭108.8 mg mL-1 HP-ß-CD
The observed first-order rate constants in for the degradation of ART at selected HP-ß-CD concentrations are listed in Table (2).
This indicated the stability of ART is increased in the presence of HP-ß-CD.
Table 2: First-order observed rate constants for the degradation of ART in the presence of HP-ß-CD (± SEM) at pH 6.00, 7.00 and 8.00 and 37 ºC.
| HP-ß-CD (M) | kobs (h -1) ± SE | ||
| pH 6.00 | pH 7.00 | pH 8.00 | |
| 0 | 71.39 ± 0.44 × 10-3 | 59.64 ± 0.38 × 10-3 | 64.71 ± 0.13 × 10-3 |
| 1.04× 10-2 | 40.53 ± 0.50 × 10-3 | 35.69 ± 0.40 × 10-3 | 43.52 ± 0.49 × 10-3 |
| 2.08 × 10-2 | 26.95 ± 0.50 × 10-3 | 23.72 ± 0.33× 10-3 | 30.39 ± 0.67 × 10-3 |
| 4.16 × 10-2 | 19.11 ± 0.30 × 10-3 | 17.73 ± 0.12 × 10-3 | 23.26 ± 0.12 × 10-3 |
| 8.32 × 10-2 | 14.74 ± 0.51× 10-3 | 13.35 ± 0.53 × 10-3 | 21.87 ± 0.16× 10-3 |
The scheme for degradation of ART in the presence of HP-ß-CD is shown in the following model (Scheme 1).

Scheme 1: Model for the first-order degradation of ART in the presence of HP-β-CD.
Where k0 and kc represent the rate constants for degradation of free and complexed ART respectively. The observed reaction rate for the degradation of ART in the presence of HP-β-CD is representative of the degradation rates of free and complexed ART as defined by Kst. A plot of 1/(k0 − kobs ) versus 1/[CD] will gave a linear relationship assuming a1:1 complex is formed with a y-intercept of 1/(kc − k0 ) and a slope of 1/Kst (kc − k0 ) from which the values of kc and Kst can be derived as shown in Figure (3). The values of kc and Kst were obtained from Lineweaver Burke equation (2).
1/k0 – kobs = 1/ Kst (k0 – kc ) × 1/(CD) + 1/k0 – kc ……. (2)
Table (3) shows the values of k0, Kst and kc of ART at pH values of 6.0, 7.0 and 8.0. ART demonstrated a higher level of complexation at pH 6.0; however the rate of degradation of complexed ART was slightly lower at pH 7.0. It is also notable that ART was more stable in the uncomplexed form at pH 7.0. There is however an approximate reduction in the rate of degradation of complexed ART by approximately 16-fold.

Fig. 3: Graph of the rate data according to the Lineweaver–Burke equation at pH 6.00, 7.00 and 8.00.
Table 3: The rate and equilibrium values of ART in HP-ß-CD at 37 °C
| pH | k0 h-1 | Kst mole-1 | kc h-1 |
| 6.00 | 7.14 × 10-2 | 83 | 4.18 × 10-3 |
| 7.00 | 5.96 × 10-2 | 73 | 3.58 × 10-3 |
| 8.00 | 6.47 × 10-2 | 60 | 8.04 × 10-3 |
Shelf-lives of ART at three temperature degrees were calculated and listed in Table (4). The shelf-life of ART at pH 7.0 was 9.9 h in aqueous buffer and increased in the presence of 108 mg mL-1 HP-ß-CD to 46 h. At 23 ˚C, which is almost the ambient storage temperature, there was more than 4 fold increase in the shelf-life. The smaller improvement in shelf-life is because much of the ART was uncomplexed, meaning the shelf-life is a balance of the effects of ko and kc the amounts of ART undergoing these reactions being controlled by Kst
Table (4) List of shelf-life values for ART in the presence and absence of HP-ß-CD at pH 7.0.
| Temperature | ART Shelf-life values (h) | |
| 0 mg mL-1 HP-ß-CD | 108 mg mL-1 HP-ß-CD | |
| 23 °C | 9.9 | 46.0 |
| 30 °C | 3.0 | 16.3 |
| 37 °C | 1.7 | 7.9 |
The linear form of the Eyring equation represents a plot of logarithm of (k/T) versus 1/T with slope of -∆H‡ /R from which the enthalpy of activation can be derived and with intercept ln k/h + ∆S‡/R from which the entropy of activation is derived. Ea, ∆H‡ and ∆S‡ values are listed in Table (5).
Table (5) List values of Ea, ∆H‡ and ∆S‡ (± SEM) of ART in the presence HP-ß-CD at pH 7.0
| HP-ß-CD (mg mL-1) | Ea(kJmol-1) | ∆H‡(kJmol-1) | ∆S‡(J k-1mol-1) |
| 0 | 93.40 ± 0.09 | 92.14 ± 0.67 | 22.96 ± 0.04 |
| 108 | 95.80 ± 0.67 | 94.25 ± 0.09 | 24.69 ± 0.20 |
The result shows similar Ea and ∆H‡ values in the presence of HP-ß-CD. The larger value for ∆S‡ change indicates that much of the stabilisation appears to arise from the increased disorder at the reaction site(14). However these results show little evidence for the improved stability in the presence of HP-ß-CD. This probably reflects the non-specific nature of the complex formed. It is notable that the Kst values vary at pH 6.00 dependent upon the method of their determination. The phase solubility method requires saturated solutions whereas the kinetic method is a based on a difference in rate constants in the absence and presence of HP-β-Cd. It is notable that these values are much lower than those reported by Chadha et al.(7)
CONCLUSION
Solubility of ART in aqueous solution was pH dependent and increased linearly with increased HP-ß-CD concentration showing a 1:1 complex. Solubility increased 25-fold in the presence of the highest concentration of HP-β-CD examined at pH 3.0. Stability of ART increased significantly in the presence of HP-ß-CD and shelf-life values increased more than 4-fold in the presence of HP-ß-CD. This would indicate that the addition of HP-β-CD has the ability to improve the stability if ART in solution but not sufficiently to enable to be provided as a reconstituted product.
REFERENCES