1Department of Chemistry, Maharishi Markandeshwar University, Mullana (Ambala) 133207, India, 2Department of Biotechnology, Maharishi Markandeshwar University, Mullana (Ambala) 133207, India.
Email: vinodbatan@gmail.com
Received: 30 Jul 2014 Revised and Accepted: 25 Aug 2014
ABSTRACT
Objective: To develop an easy and non toxic method for synthesis of some novel triazolotriazines via oxidative transformation of triazinylhydrazones using iodobenzene diacetate and to evaluate their DNA photocleavage potential.
Methods: A series nineteen triazin-3-yl moiety linked hydrazones of various aryl and heteroaryl aldehydes has been prepared which on treatment with iodobenzene diacetate in dichloromethane gave novel triazolo[3,4-c]triazine derivatives under mild reaction conditions. DNA photocleavage activity of all these compounds was performed using agarose gel electrophoresis.
Results: Synthesis of some novel triazolotriazines has been successively achieved and structures of compounds were established on the basis of FT-IR, 1H, 13C NMR and mass spectral data. Most of the compounds such as 4m-n, 4p-s, as well as 3b, 3d, 3e, 3h, 3p and 3q exhibited admirable DNA photocleavage potential.
Conclusion: The employed approach to afford triazolo[3,4-c]triazines only because the Dimorth rearrangement occurred under catalytic amount of base and acid etc. The results indicated that both triazolotriazines and triazinylhydrazones exhibited promising DNA photocleavage activity. Moreover, compounds containing phenyl ring with electron-releasing substituent attached to pyrazole nucleus possessed increased DNA photocleavage potential.
Keywords: Pyrazole, Triazole, Triazine, Hypervalent Iodine, DNA photocleavage.
INTRODUCTION
Triazine nucleus is a well known bioactive and basic component of active ingredients such as Azaribine, Azanucleosides [1-3] etc. Literature survey reveals that substituted 1,2,4-triazines are an interesting class of heterocyclic compounds owing to their role in resistance to p38α MAP kinase [4] and as leukemia, lung, breast and CNS anticancer agents [5-12]. Azole derivatives on the other side are a class of five-membered heterocycles has also possessed a great biological significance [13-15]. More specifically, substituted pyrazoles [16, 17] and 1,2,4-triazoles have been used extensively as an important synthons in the field of heterocyclic chemistry and drug designing approach. They are known to possess a broad spectrum of pharmacological activities such as antimicrobial [18, 19], anticancer [20], antitumor [21], antitubercular [22, 23], antioxidant [24], anti-inflammatory [25] and antidepressant [26]. Many azoles are currently being used as active pharmaceutical ingredients such as Conazoles, Itaconazole, Fluconazole, Ravuconazole etc. [27-29]. DNA serves a primary site where most of the chemotherapeutic agents interact and result in DNA photocleavage which in turn leads to inhibition of growth of cancerous cells [30]. Therefore, compounds having binding or interacting ability with DNA structure could be used as probes for DNA structure, potential chemotherapeutic and diagnostic agents [31]. In recent years, more attention has been paid to evaluate the DNA photocleavage potential of triazoles [32-37]. In view of medicinal importance and in continuation of our research work related to synthesis of biologically potent novel azoles, herein we report synthesis and DNA photocleavage activity of the some triazolotriazines and triazinylhydrazones.
MATERIALS AND METHODS
Chemistry
Melting points of all synthesized compounds were determined in an open capillary using digital melting point apparatus and are uncorrected. FT-IR spectra were recorded as KBr discs on a Perkin-Elmer Spectrophotometer in a range 4000–450 cm-1. Both 1H and 13C NMR spectra of the compounds were recorded on the Bruker Advance NMR Spectrophotometer at 400 MHz and 100 MHz, respectively. Chemical shifts were measured relative to an internal reference standard, tetramethylsilane (TMS) (δ=0) in CDCl3 or DMSO-d6 and were reported on δ scale (in ppm). Coupling constants (J) were given in Hz. Mass spectra were recorded on Agilent Mass Spectrometer. Carbon, Nitrogen, hydrogen contents were analyzed using LECO 9320 analyzer.
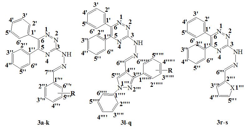
Synthesis of triazinylhydrazones (3a-s)
General procedure
A solution of substituted benzaldehyde (2a-k, 0.01 mol) or 4-formylpyrazole (2l-s, 0.01 mol) in dichloromethane was added to an ethanolic solution of 5,6-Diphenyl-3-hydrazino-1,2,4-triazine (1, 0.01 mol). The reaction mass was refluxed for 40-45 minutes after addition of about one drop of conc. sulfuric acid and the reaction was monitored by thin layer chromatography. An excess of the solvent was evaporated and resulting mass was cooled to room temperature. The obtained product was filtered on a buchner funnel, washed with alcohol and recrystallised from ethanol. Noted m. p. And the samples were submitted to analysis.
3-(2-(Benzylidene)hydrazinyl-5,6-diphenyl-1,2,4-triazine (3a). Yield 92%; m. p. 240-241 °C; Rf = 0.49 [ethylacetate: petroleum ether (3:7)]; FT-IR (KBr, cm-1): 3216 (N-H str.), 1592 (C=N str.); 1H NMR (DMSO-d6, 400 MHz): δ 7.33-7.54 (m, 13H, Phʹ, Phʹʹ-H & Phʹʹʹ-H), 7.75 (d, 2H, J = 8.3 Hz, 2ʹʹʹ, 6ʹʹʹ-H), 8.29 (s, 1H, 7ʹʹʹ-H), 11.78 (s, 1H, NH); 13C NMR (DMSO-d6, 100 MHz): δ 126.5, 128.0, 128.1, 128.2, 128.5, 128.9, 129.1, 129.3, 130.1, 134.7, 135.8, 136.0, 143.9, 150.6, 156.2, 158.5; MS (ESI) m/z: 352.3 (M+ + 1); Anal. Calcd. for C22H17N5: C, 75.15; H, 4.84; N, 19.93. Found: C, 75.14; H, 4.81; N, 19.92.
3-(2-(4ʹʹʹ-Methoxybenzylidene)hydrazinyl-5,6-diphenyl-1,2,4-triazine (3b). Yield 91.5%; m. p. 233-234 °C; Rf = 0.32 [ethylacetate: petroleum ether (3:7)]; FT-IR (KBr, cm-1): 3233 (N-H str.), 1593 (C=N str.); 1H NMR (DMSO-d6, 400 MHz): δ 3.81 (4ʹʹʹ-OCH3), 7.01 (d, 2H, J = 8.8 Hz, 3ʹʹʹ, 5ʹʹʹ-H), 7.34-7.50 (m, 10H, Phʹ-H & Phʹʹ-H), 7.68 (d, 2H, J = 8.76 Hz, 2ʹʹʹ, 6ʹʹʹ-H), 8.24 (s, 1H, 7ʹʹʹ-H), 11.79 (s, 1H, NH); 13C NMR (DMSO-d6, 100 MHz): δ 55.2, 114.2, 119.8, 127.3, 128.1, 128.2, 128.2, 128.3, 128.9, 129.4, 130.1, 135.9, 136.1, 143.9, 150.5, 156.2, 160.3; MS (ESI) m/z: 382.4 (M+ + 1); Anal. Calcd. for C23H19N5O: C, 72.36; H, 4.98; N, 18.35. Found: C, 72.33; H, 4.96; N, 18.32.
3-(2-(2ʹʹʹ-Ethoxybenzylidene)hydrazinyl-5,6-diphenyl-1,2,4-triazine (3c). Yield 90%; m. p. 196-197 °C; Rf = 0.60 [ethylacetate: petroleum ether (3:7)]; FT-IR (KBr, cm-1): 3228 (N-H str.), 1589 (C=N str.); 1H NMR (CDCl3, 400 MHz): δ 1.43 (t, 3H, CH3), 4.07-4.12 (q, 2H, 2ʹʹʹ-OCH2), 6.89 (d, 1H, J = 8.2 Hz, 3ʹʹʹ-H), 7.00 (t, 1H, J = 7.9 Hz, 4ʹʹʹ-H), 7.30-7.57 (m, 11H, Phʹ, Phʹʹ-H & 5ʹʹʹ-H), 8.16 (d, 1H, J = 7.8 Hz, 6ʹʹʹ-H), 8.52 (s, 1H, 7ʹʹʹ-H), 9.24 (s, 1H, NH); 13C NMR (DMSO-d6, 100 MHz): δ 20.7, 55.4, 114.0, 114.2, 114.7, 118.8, 120.5, 127.9, 128.0, 128.5, 128.9, 129.0, 130.0, 130.5, 130.8, 141.2, 142.9, 150.1, 156.4, 160.1; MS (ESI) m/z: 396.4 (M+ + 1); Anal. Calcd. for C24H21N5O: C, 72.84; H, 5.31; N, 17.70. Found: C, 72.82; H, 5.30; N, 17.68.
3-(2-(4ʹʹʹ-Fluorobenzylidene)hydrazinyl-5,6-diphenyl-1,2,4-triazine (3d). Yield 85%; m. p. 262-263 °C; Rf = 0.45 [ethylacetate: petroleum ether (3:7)]; FT-IR (KBr, cm-1): 3384 (N-H str.), 1592 (C=N str.); 1H NMR (DMSO-d6, 400 MHz): δ 7.15-7.53 (m, 12H, 3ʹʹʹ, 5ʹʹʹ, Phʹ-H & Phʹʹ-H), 7.78 (d, 2H, J = 8.6 Hz, 2ʹʹʹ, 6ʹʹʹ-H), 8.28 (s, 1H, 7ʹʹʹ-H), 11.86 (s, 1H, NH); 13C NMR (DMSO-d6, 100 MHz): δ 114.1, 114.9, 119.8, 123.0, 127.6, 128.3, 129.2, 129.5, 129.8, 130.3, 130.5, 140.8, 142.1, 150.0, 156.1, 161.9; MS (ESI) m/z: 370.2 (M+ + 1); Anal. Calcd. for C22H16FN5: C, 71.51; H, 4.33; N, 18.96. Found: C, 71.48; H, 4.31; N, 18.95.

Fig. 1: Chemical structures of compounds 3a-k and 3l-s
3-(2-(4ʹʹʹ-Chlorobenzylidene)hydrazinyl-5,6-diphenyl-1,2,4-triazine (3e). Yield 92%; m. p. 255-256 °C; Rf = 0.40 [ethylacetate: petroleum ether (3:7)]; FT-IR (KBr, cm-1): 3388 (N-H str.), 1599 (C=N str.); 1H NMR (DMSO-d6, 400 MHz): δ 7.34-7.52 (m, 12H, 3ʹʹʹ, 5ʹʹʹ, Phʹ-H & Phʹʹ-H), 7.75 (d, 2H, J = 8.6 Hz, 2ʹʹʹ, 6ʹʹʹ-H), 8.27 (s, 1H, 7ʹʹʹ-H), 11.99 (s, 1H, NH); 13C NMR (DMSO-d6, 100 MHz): δ 126.1, 128.2, 128.4, 128.5, 129.3, 129.6, 130.7, 130.9, 131.1, 135.1, 135.4, 136.2, 141.9, 143.2, 149.9, 155.9; MS (ESI) m/z: 386.7 (M+ + 1), 388.1 (M+ + 2) in the ratio showing typical chlorine isotope profile (3:1); Anal. Calcd. for C22H16ClN5: C, 68.45; H, 4.15; N, 18.15. Found: C, 68.43; H, 4.13; N, 18.14.
3-(2-(4ʹʹʹ-Bromobenzylidene)hydrazinyl-5,6-diphenyl-1,2,4-triazine (3f). Yield 88%; m. p. 249-250 °C; Rf = 0.39 [ethylacetate: petroleum ether (3:7)]; FT-IR (KBr, cm-1): 3392 (N-H str.), 1603 (C=N str.); 1H NMR (DMSO-d6, 400 MHz): δ 7.31-7.57 (m, 12H, 3ʹʹʹ, 5ʹʹʹ, Phʹ-H & Phʹʹ-H), 7.68 (d, 2H, J = 8.5 Hz, 2ʹʹʹ, 6ʹʹʹ-H), 8.26 (s, 1H, 7ʹʹʹ-H), 11.93 (s, 1H, NH); 13C NMR (DMSO-d6, 100 MHz): δ 125.9, 126.0, 128.0, 128.2, 128.3, 129.1, 129.6, 130.4, 130.9, 131.2, 134.2, 135.6, 142.1, 143.4, 150.2, 156.1; MS (ESI) m/z: 430.1 (M+ + 1), 432.1 (M+ + 2) in the ratio showing typical bromine isotope profile (1:1); Anal. Calcd. for C22H16BrN5: C, 61.52; H, 3.73; N, 16.31. Found: C, 61.50; H, 3.72; N, 16.29.
3-(2-(4ʹʹʹ-Methylbenzylidene)hydrazinyl-5,6-diphenyl-1,2,4-triazine (3g). Yield 91%; m. p. 251-252 °C; Rf = 0.44 [ethylacetate: petroleum ether (3:7)]; FT-IR (KBr, cm-1): 3244 (N-H str.), 1595 (C=N str.); 1H NMR (DMSO-d6, 400 MHz): δ 2.36 (s, 3H, 4ʹʹʹ-CH3), 7.23 (d, 2H, J = 8.0 Hz, 3ʹʹʹ, 5ʹʹʹ-H), 7.32-7.47 (m, 8H, Phʹ-H & Phʹʹ-H), 7.50 (d, 2H, J = 8.4 Hz, 2ʹ, 6ʹ-H), 7.63 (d, 2H, J = 8.0 Hz, 2ʹʹʹ, 6ʹʹʹ-H), 8.26 (s, 1H, 7ʹʹʹ-H), 11.84 (s, 1H, NH); 13C NMR (DMSO-d6, 100 MHz): δ 21.0, 126.5, 128.0, 128.1, 128.2, 128.9, 129.2, 129.3, 130.1, 130.6, 132.0, 135.9, 136.0, 139.0, 144.1, 150.5, 156.3; MS (ESI) m/z: 366.2 (M+ + 1); Anal. Calcd. for C23H19N5: C, 75.58; H, 5.20; N, 19.17. Found: C, 75.55; H, 5.20; N, 19.16.
3-(2-(2ʹʹʹ,4ʹʹʹ-Dichlorobenzylidene)hydrazinyl-5,6-diphenyl-1,2,4-triazine (3h). Yield 89%; m. p. 242-243 °C; Rf = 0.79 [ethylacetate: petroleum ether (3:7)]; FT-IR (KBr, cm-1): 3398 (N-H str.), 1600 (C=N str.); 1H NMR (DMSO-d6, 400 MHz): δ 7.31-7.57 (m, 12H, Phʹ, Phʹʹ-H & 5ʹʹʹ, 6ʹʹʹ-H), 7.73 (s, 1H, 3ʹʹʹ-H), 8.28 (s, 1H, 7ʹʹʹ-H), 11.79 (s, 1H, NH); 13C NMR (DMSO-d6, 100 MHz): δ 125.9, 127.1, 128.4, 128.6, 128.7, 130.4, 130.6, 130.9, 131.4, 131.9, 132.9, 135.5, 136.7, 138.1, 142.0, 143.1, 150.0, 156.2; MS (ESI) m/z: 421.1 (M+ + 1); Anal. Calcd. for C22H15Cl2N5: C, 62.84; H, 3.57; N, 16.66. Found: C, 62.82; H, 3.56; N, 16.64.
3-(2-(4ʹʹʹ-Hydroxybenzylidene)hydrazinyl-5,6-diphenyl-1,2,4-triazine (3i). Yield 85%; m. p. 236-237 °C; Rf = 0.28 [ethylacetate: petroleum ether (3:7)]; FT-IR (KBr, cm-1): 3421 (O-H str.), 3382 (N-H str.), 1595 (C=N str.); 1H NMR (DMSO-d6, 400 MHz): δ 6.80 (d, 2H, J = 8.0 Hz, 3ʹʹʹ, 5ʹʹʹ-H), 7.34-7.55 (m, 11H, Phʹ, Phʹʹ-H & 4ʹʹʹ-OH), 7.79 (d, 2H, J = 8.2 Hz, 2ʹʹʹ, 6ʹʹʹ-H), 8.24 (s, 1H, 7ʹʹʹ-H), 11.75 (s, 1H, NH); 13C NMR (DMSO-d6, 100 MHz): δ 116.5, 117.0, 129.4, 129.7, 128.9, 129.2, 130.1, 130.3, 130.7, 131.0, 136.3, 141.5, 142.6, 150.3, 156.1, 155.8; MS (ESI) m/z: 368.1 (M+ + 1); Anal. Calcd. for C22H17N5O: C, 71.92; H, 4.63; N, 19.07. Found: C, 71.89; H, 4.60; N, 19.06.
3-(2-(4ʹʹʹ-Nitrobenzylidene)hydrazinyl-5,6-diphenyl-1,2,4-triazine (3j). Yield 86%; m. p. 268-270 °C; Rf = 0.35 [ethylacetate: petroleum ether (3:7)]; FT-IR (KBr, cm-1): 3380 (N-H str.), 1589 (C=N str.), 1492 (NO2 symmetric str.), 1389 (NO2 asymmetric str.); 1H NMR (DMSO-d6, 400 MHz): δ 7.29-7.56 (m, 10H, Phʹ, Phʹʹ-H & 2ʹʹʹ, 6ʹʹʹ-H), 7.94 (d, 2H, J = 8.0 Hz, 3ʹʹʹ, 5ʹʹʹ-H), 8.32 (s, 1H, 7ʹʹʹ-H), 11.70 (s, 1H, NH); 13C NMR (DMSO-d6, 100 MHz): δ 125.8, 127.0, 127.4, 127.5, 127.9, 129.5, 130.2, 130.3, 130.4, 136.1, 136.9, 140.9, 142.3, 146.2, 150.0, 156.4; MS (ESI) m/z: 397.1 (M + 1)+; Anal. Calcd. for C22H16N6O2: C, 66.65; H, 4.04; N, 21.21. Found: C, 66.62; H, 4.02; N, 21.18.
3-(2-(4ʹʹʹ-Hydroxy-3ʹʹʹ-methoxybenzylidene)hydrazinyl-5,6-diphenyl-1,2,4-triazine (3k). Yield 84.5%; m. p. 226-227 °C; Rf = 0.36 [ethylacetate: petroleum ether (3:7)]; FT-IR (KBr, cm-1): 3410 (O-H str.), 3310 (N-H), 1591 (C=N); 1H NMR (DMSO-d6, 400 MHz): δ 3.84 (3ʹʹʹ-OCH3), 6.85 (d, 1H, J = 8.3 Hz, 5ʹʹʹ-H), 7.29-7.52 (m, 11H, Phʹ-H, Phʹʹ-H & 4ʹʹʹ-OH), 7.64 (d, 2H, J = 8.2 Hz, 2ʹʹʹ, 6ʹʹʹ-H), 8.23 (s, 1H, 7ʹʹʹ-H), 11.61 (s, 1H, NH); 13C NMR (DMSO-d6, 100 MHz): δ 55.3, 115.9, 119.9, 121.5, 122.8, 126.5, 127.1, 127.3, 127.7, 129.9, 130.4, 131.3, 131.7, 141.7, 143.5, 150.5, 156.6, 157.8, 159.2; MS (ESI) m/z: 398.2 (M+ + 1); Anal. Calcd. for C23H19N5O2: C, 69.49; H, 4.78; N, 17.62. Found: C, 69.48; H, 4.76; N, 17.60.
3-(2-(1ʹʹʹ,3ʹʹʹ-Diphenylpyrazol-4ʹʹʹ-yl)methylidene)hydrazinyl-5,6-diphenyl-1,2,4-triazine (3l). Yield 91%; m. p. 252-254 °C; Rf = 0.47 [ethylacetate: petroleum ether (3:7)]; FT-IR (KBr, cm-1): 3386 (N-H str.), 1594 (C=N str.); 1H NMR (DMSO-d6, 400 MHz): δ 7.36-7.55 (m, 16H, Phʹ, Phʹʹ, Phʹʹʹʹ-H & Phʹʹʹʹʹ-H), 7.84 (d, 2H, J = 8.4 Hz, 2ʹʹʹʹʹ, 6ʹʹʹʹʹ-H), 8.01 (d, 2H, J = 8.0 Hz, 2ʹʹʹʹ, 6ʹʹʹʹ-H), 8.47 (s, 1H, 6ʹʹʹ-H), 8.92 (s, 1H, 5ʹʹʹ-H), 11.78 (s, 1H, NH); 13C NMR (DMSO-d6, 100 MHz): δ 116.7, 118.8, 126.9, 127.1, 127.4, 128.1, 128.5, 128.7, 128.8, 128.9, 129.3, 130.0, 130.2, 130.5, 131.7, 132.0, 133.7, 140.6, 141.8, 143.5, 151.2, 152.3, 156.3; MS (ESI) m/z: 494.3 (M+ + 1); Anal. Calcd. for C31H23N7: C, 75.41; H, 4.66; N, 19.87. Found: C, 75.40; H, 4.64; N, 19.86.
3-(2-(3ʹʹʹ-(4ʹʹʹʹʹ-Nitrophenyl-1ʹʹʹ-phenylpyrazol-4ʹʹʹ-yl)methylidene)hydrazinyl-5,6-diphenyl-1,2,4-triazine (3m). Yield 88%; m. p. 281-282 °C; Rf = 0.43 [ethylacetate: petroleum ether (3:7)]; FT-IR (KBr, cm-1): 3394 (N-H str.), 1592 (C=N str.) 1498 (NO2 symmetric str), 1395 (NO2 asymmetric str); 1H NMR (CDCl3 + DMSO-d6, 400 MHz): δ 7.39-7.58 (m, 13H, Phʹ, Phʹʹ-H & Phʹʹʹʹ-H), 8.01 (d, 2H, J = 8.0 Hz, 2ʹʹʹʹ, 6ʹʹʹʹ-H), 8.11 (d, 2H, J = 8.2 Hz, 2ʹʹʹʹʹ, 6ʹʹʹʹʹ-H), 8.36 (d, 2H, J = 8.3 Hz, 3ʹʹʹʹʹ, 5ʹʹʹʹʹ-H), 8.56 (s, 1H, 6ʹʹʹ-H), 8.99 (s, 1H, 5ʹʹʹ-H), 11.98 (s, 1H, NH); 13C NMR (DMSO-d6, 100 MHz): δ 116.9, 118.7, 124.5, 126.6, 126.9, 127.1, 127.6, 128.1, 128.7, 128.9, 129.5, 130.8, 131.3, 131.9, 133.8, 137.1, 140.4, 140.9, 143.0, 146.3, 150.6, 151.0, 156.7; MS (ESI) m/z: 539.2 (M+ + 1); Anal. Calcd. for C31H22N8O2: C, 69.12; H, 4.09; N, 20.81. Found: C, 69.10; H, 4.07; N, 20.79.
3-(2-(3ʹʹʹ-(4ʹʹʹʹʹ-Methoxyphenyl-1ʹʹʹ-phenylpyrazol-4ʹʹʹ-yl)methylidene) hydrazinyl-5,6-diphenyl-1,2,4-triazine (3n). Yield 89%; m. p. 259-260 °C; Rf = 0.41 [ethylacetate: petroleum ether (3:7)]; FT-IR (KBr, cm-1): 3390 (N-H str.), 1597 (C=N str.); 1H NMR (DMSO-d6, 400 MHz): δ 3.82 (s, 3H, 4ʹʹʹʹʹ-OCH3), 7.05 (d, 2H, J = 8.8 Hz, 3ʹʹʹʹʹ, 5ʹʹʹʹʹ-H), 7.33-7.54 (m, 13H, Phʹ, Phʹʹ-H & Phʹʹʹʹ-H), 7.80 (d, 2H, J = 8.6 Hz, 2ʹʹʹʹʹ, 6ʹʹʹʹʹ-H), 8.00 (d, 2H, J = 8.6 Hz, 2ʹʹʹʹ, 6ʹʹʹʹ-H), 8.45 (s, 1H, 6ʹʹʹ-H), 8.91 (s, 1H, 5ʹʹʹ-H), 11.80 (s, 1H, NH); 13C NMR (DMSO-d6, 100 MHz): δ 55.3, 113.9, 116.6, 118.6, 119.5, 125.3, 126.9, 127.0, 127.5, 127.9, 128.1, 128.4, 128.6, 130.6, 131.0, 131.3, 133.6, 139.3, 140.5, 144.2, 150.7, 151.4, 156.5, 159.2; MS (ESI) m/z: 524.5 (M+ + 1); Anal. Calcd. for C32H25N7O: C, 73.35; H, 4.78; N, 18.72. Found: C, 73.33; H, 4.76; N, 18.69.
3-(2-(3ʹʹʹ-(4ʹʹʹʹʹ-Fluorophenyl-1ʹʹʹ-phenylpyrazol-4ʹʹʹ-yl)methylidene)hydrazinyl-5,6-diphenyl-1,2,4-triazine (3o). Yield 83%; m. p. 262-264 °C; Rf = 0.57 [ethylacetate: petroleum ether (3:7)]; FT-IR (KBr, cm-1): 3399 (N-H str.), 1599 (C=N str.); 1H NMR (DMSO-d6, 400 MHz): δ 7.20-7.53 (m, 15H, 3ʹʹʹʹʹ, 5ʹʹʹʹʹ, Phʹ, Phʹʹ-H & Phʹʹʹʹ-H), 7.95-7.98 (m, 4H, 2ʹʹʹʹʹ, 6ʹʹʹʹʹ-H & 2ʹʹʹʹ, 6ʹʹʹʹ-H), 8.44 (s, 1H, 6ʹʹʹ-H), 8.93 (s, 1H, 5ʹʹʹ-H), 11.79 (s, 1H, NH); 13C NMR (DMSO-d6, 100 MHz): δ 115.9, 116.7, 118.5, 127.1, 127.7, 127.9, 128.4, 128.5, 128.8, 129.0, 129.6, 130.0, 130.4, 131.2, 131.7, 135.8, 140.4, 142.9, 144.0, 150.6, 151.6, 156.8, 161.4; MS (ESI) m/z: 512.1 (M+ + 1); Anal. Calcd. for C31H22FN7: C, 72.78; H, 4.30; N, 19.17. Found: C, 72.76; H, 4.28; N, 19.15.
3-(2-(3ʹʹʹ-(4ʹʹʹʹʹ-Chlorophenyl-1ʹʹʹ-phenylpyrazol-4ʹʹʹ-yl)methylidene)hydrazinyl-5,6-diphenyl-1,2,4-triazine (3p). Yield 87%; m. p. 256-257 °C; Rf = 0.53 [ethylacetate: petroleum ether (3:7)]; FT-IR (KBr, cm-1): 3402 (N-H str.), 1602 (C=N str.); 1H NMR (DMSO-d6, 400 MHz): δ 7.34-7.55 (m, 15H, 3ʹʹʹʹʹ, 5ʹʹʹʹʹ, Phʹ, Phʹʹ-H & Phʹʹʹʹ-H), 7.977-8.00 (m, 4H, 2ʹʹʹʹʹ, 6ʹʹʹʹʹ-H & 2ʹʹʹʹ, 6ʹʹʹʹ-H), 8.46 (s, 1H, 6ʹʹʹ-H), 8.92 (s, 1H, 5ʹʹʹ-H), 11.82 (s, 1H, NH); 13C NMR (DMSO-d6, 100 MHz): δ 117.3, 118.6, 126.9, 127.3, 127.6, 128.5, 128.8, 129.0, 129.4, 129.7, 130.0, 130.2, 130.6, 130.8, 131.2, 133.5, 135.9, 140.6, 141.0, 143.4, 150.6, 151.0, 156.8; MS (ESI) m/z: 528.2 (M+ + 1), 530.2 (M+ + 2) in the ratio showing typical chlorine isotope profile (3:1); Anal. Calcd. for C31H22ClN7: C, 70.56; H, 4.17; N, 18.59. Found: C, 70.54; H, 4.16; N, 18.57.
3-(2-(3ʹʹʹ-(4ʹʹʹʹʹ-Bromophenyl-1ʹʹʹ-phenylpyrazol-4ʹʹʹ-yl)methylidene)hydrazinyl-5,6-diphenyl,2,4-triazine (3q). Yield 89%; m. p. 248-249 °C; Rf = 0.47 [ethylacetate: petroleum ether (3:7)]; FT-IR (KBr, cm-1): 3410 (N-H str.), 1606 (C=N str.); 1H NMR (DMSO-d6, 400 MHz): δ 7.36-7.55 (m, 15H, 3ʹʹʹʹʹ, 5ʹʹʹʹʹ, Phʹ, Phʹʹ-H & Phʹʹʹʹ-H), 7.84 (d, 2H, J = 8.4 Hz, 2ʹʹʹʹʹ, 6ʹʹʹʹʹ-H), 8.00 (d, 2H, J = 8.5 Hz, 2ʹʹʹʹ, 6ʹʹʹʹ-H), 8.46 (s, 1H, 6ʹʹʹ-H), 8.90 (s, 1H, 5ʹʹʹ-H), 11.82 (s, 1H, NH); 13C NMR (DMSO-d6, 100 MHz): δ 116.8, 118.7, 123.9, 127.0, 127.4, 127.5, 127.9, 128.6, 128.9, 129.2, 129.6, 130.1, 130.4, 130.9, 131.5, 132.8, 133.8, 140.5, 141.5, 142.5, 150.8, 151.3, 156.0; MS (ESI) m/z: 572.2 (M+ + 1), 574.4 (M+ + 2) in the ratio showing typical bromine isotope profile (1:1); Anal. Calcd. for C31H22BrN7: C, 65.13; H, 3.85; N, 17.16. Found: C, 65.11; H, 3.82; N, 17.14.
5,6-Diphenyl-3-((2-(thiophen-2ʹʹʹ-yl)methylidene)hydrazinyl)-1,2,4-triazine (3r). Yield 86.5%; m. p. 243-244 °C; Rf = 0.44 [ethylacetate: petroleum ether (3:7)]; FT-IR (KBr, cm-1): 3420 (N-H str.), 1595 (C=N str.); 1H NMR (DMSO-d6, 400 MHz): δ 7.09-7.47 (m, 10H, 3ʹʹʹ, 4ʹʹʹ, Phʹ-H & Phʹʹ-H), 7.49 (d, 2H, J = 8.2 Hz, 2ʹ, 6ʹ-H), 7.54 (d, 1H, J = 5.1 Hz, 5ʹʹʹ-H), 8.48 (s, 1H, 6ʹʹʹ-H), 11.88 (s, 1H, NH); 13C NMR (DMSO-d6, 100 MHz): δ 127.5, 127.6, 128.0, 128.1, 128.3, 128.9, 129.1, 129.3, 130.1, 135.8, 136.0, 139.1, 139.6, 150.6, 156.2, 158.2; MS (ESI) m/z: 358.2 (M+ + 1); Anal. Calcd. for C20H15N5S: C, 67.19; H, 4.20; N, 19.60. Found: C, 67.16; H, 4.19; N, 19.59.
3-((2-(Furfural-2ʹʹʹ-yl)methylidene)hydrazinyl)-5,6-diphenyl-1,2,4-triazine (3s). Yield 85%; m. p. 227-228 °C; Rf = 0.32 [ethylacetate: petroleum ether (3:7)]; FT-IR (KBr, cm-1): 3416 (N-H str.), 1594 (C=N str.); 1H NMR (DMSO-d6, 400 MHz): 6.99-7.12 (m, 1H, 3ʹʹʹ-H), 7.31-7.46 (m, 9H, 4ʹʹʹ, Phʹ-H & Phʹʹ-H), 7.46 (d, 2H, J = 8.2 Hz, 2ʹ, 6ʹ-H), 7.51 (d, 1H, J = 5.2 Hz, 5ʹʹʹ-H), 8.47 (s, 1H, 6ʹʹʹ-H), 11.89 (s, 1H, NH); 13C NMR (DMSO-d6, 100 MHz): δ 127.6, 127.9, 128.1, 128.4, 128.8, 129.1, 129.3, 129.6, 130.4, 135.8, 136.0, 138.8, 139.4, 150.4, 156.0, 157.8; MS (ESI) m/z: 342.1 (M+ + 1); Anal. Calcd. for C20H15N5O: C, 70.36; H, 4.40; N, 20.52. Found: C, 70.34; H, 4.39; N, 20.51.
Synthesis of 3,5,6-Trisubstituted-[1,2,4]triazolo[3,4-c][1,2,4]-triazine (4a-s)
General procedure
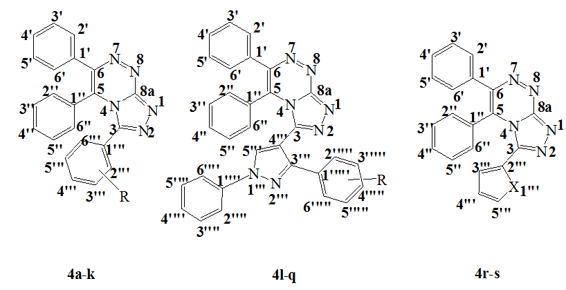
IBD (0.011 mol) was added in a portion wise manner to the suspension/solution of triazinylhydrazones (3a-s, 0.01 mol) in dichloromethane under stirring. The reaction mass was further stirred for 1.0 h and reaction was monitored by TLC. After completion of the reaction, the solvent was evaporated and residues were triturated with petroleum ether twice to obtain the crude product which was recrystallised from ethanol.

Fig. 1: Chemical structures of compounds 4a-k and 4l-s
3,5,6-Triphenyl-[1,2,4]triazolo[3,4-c][1,2,4]-triazine (4a). Yield 90%; m. p. 222-223 °C; Rf = 0.29 [ethylacetate: petroleum ether (3:7)]; FT-IR (KBr, cm-1): 1577 (C=N str.); 1H NMR (CDCl3, 400 MHz): δ 7.34-7.59 (m, 13H, Phʹʹ, 3ʹʹʹ, 4ʹʹʹ, 5ʹʹʹ-H & Phʹ-H), 8.54 (d, 2H, J = 8.6 Hz, 2ʹʹʹ, 6ʹʹʹ-H); 13C NMR (DMSO-d6, 100 MHz): δ 125.8, 127.1, 127.5, 128.1, 128.4, 129.1, 129.5, 129.7, 130.2, 130.5, 130.6, 136.0, 145.4, 148.2, 150.7, 155.8; MS (ESI) m/z: 350.2 (M++ 1); Anal. Calcd. for C22H15N5: C, 75.60; H, 4.30; N, 20.05. Found: C, 75.57; H, 4.29; N, 20.03.
3-(4ʹʹʹ-Methoxyphenyl)-5,6-diphenyl-[1,2,4]triazolo[3,4-c][1,2,4]-triazine (4b). Yield 87.5%; m. p. 219-220 °C; Rf = 0.32 [ethylacetate: petroleum ether (3:7)]; FT-IR (KBr, cm-1): 1576 (C=N str.); 1H NMR (DMSO-d6, 400 MHz): δ 3.85 (s, 3H, 4ʹʹʹ-OCH3), 6.60 (d, 2H, J = 8.0 Hz, 3ʹʹʹ, 5ʹʹʹ-H), 6.98-7.22 (m, 5H, Phʹʹ-H), 7.37-7.50 (m, 5H, Phʹ-H); 8.35 (d, 2H, J = 8.9 Hz, 2ʹʹʹ, 6ʹʹʹ-H); 13C NMR (DMSO-d6, 100 MHz): δ 55.4, 112.9, 114.5, 118.1, 119.1, 126.9, 127.4, 128.3, 128.5, 129.6, 129.9, 130.3, 136.1, 143.2, 145.4, 155.3, 159.7; MS (ESI) m/z: 380.1 (M+ + 1); Anal. Calcd. for C23H17N5O: C, 72.80; H, 4.48; N, 18.46. Found: C, 72.78; H, 4.46; N, 18.46.
3-(2ʹʹʹ-Ethoxyphenyl)-5,6-diphenyl-[1,2,4]triazolo[3,4-c][1,2,4]-triazine (4c). Yield 90%; m. p. 148-149 °C; Rf = 0.26 [ethylacetate: petroleum ether (3:7)]; FT-IR (KBr, cm-1): 1570 (C=N str.); 1H NMR (CDCl3, 400 MHz): δ 1.7 (t, 3H, -CH3), 4.10 (q, 2H, 2ʹʹʹ-OCH2), 7.06-7.37 (m, 9H, Phʹʹ, 3ʹʹʹ, 4ʹʹʹ, 5ʹʹʹ-H & 4ʹ-H), 7.42-7.54 (m, 4H, Phʹ-H), 7.75 (d, 1H, J = 7.8 Hz, 6ʹʹʹ-H); 13C NMR (CDCl3, 100 MHz): δ 20.8, 55.3, 113.9, 114.2, 114.6, 118.1, 119.3, 126.9, 127.1, 127.4, 128.3, 128.5, 129.6, 129.8, 130.0, 136.4, 143.2, 145.3, 155.1, 159.6; MS (ESI) m/z: 394.2 (M+ + 1); Anal. Calcd. for C24H19N5O: C, 73.25; H, 4.83; N, 17.80. Found: C, 73.23; H, 4.80; N, 17.78.
3-(4ʹʹʹ-Fluorophenyl)-5,6-diphenyl-[1,2,4]triazolo[3,4-c][1,2,4]-triazine (4d). Yield 85%; m. p. 239-240 °C; Rf = 0.25 [ethylacetate: petroleum ether (3:7)]; FT-IR (KBr, cm-1): 1569 (C=N str.); 1H NMR (DMSO-d6, 400 MHz): δ 7.25 (d, 2H, J = 8.0 Hz, 3ʹʹʹ, 5ʹʹʹ-H), 7.34-7.54 (m, 10H, Phʹʹ-H & Phʹ-H), 8.55 (d, 2H, J = 8.6 Hz, 2ʹʹʹ, 6ʹʹʹ-H); 13C NMR (DMSO-d6, 100 MHz): δ 114.1, 114.4, 118.0, 122.0, 126.8, 127.5, 128.4, 128.7, 129.7, 129.9, 130.4, 136.1, 143.2, 145.4, 155.3, 162.7; MS (ESI) m/z: 368.2 (M+ + 1); Anal. Calcd. for C22H14FN5: C, 71.90; H, 3.81; N, 19.06. Found: C, 71.88; H, 3.80; N, 19.04.
3-(4ʹʹʹ-Chlorophenyl)-5,6-diphenyl-[1,2,4]triazolo[3,4-c][1,2,4]-triazine (4e). Yield 88.5%; m. p. 212-214 °C; Rf = 0.22 [ethylacetate: petroleum ether (3:7)]; FT-IR (KBr, cm-1): 1573 (C=N str.); 1H NMR (DMSO-d6, 400 MHz): δ 7.31-7.48 (m, 10H, 3ʹʹʹ, 5ʹʹʹ, Phʹʹ-H & 3ʹ, 4ʹ, 5ʹ-H), 7.67 (d, 2H, J = 8.4 Hz, 2ʹ, 6ʹ-H); 8.43 (d, 2H, J = 8.4 Hz, 2ʹʹʹ, 6ʹʹʹ-H); 13C NMR (DMSO-d6, 100 MHz): δ 124.5, 127.3, 127.9, 128.0, 129.1, 129.6, 130.0, 130.2, 130.4, 134.0, 135.3, 135.8, 144.6, 148.2, 150.6, 155.6; MS (ESI) m/z: 384.1 (M + 1)+, 386.1 (M + 2)+ in the ratio showing typical chlorine isotope profile (3:1); Anal. Calcd. for C22H14ClN5: C, 68.91; H, 3.65; N, 18.27. Found: C, 68.90; H, 3.65; N, 18.25.
3-(4ʹʹʹ-Bromophenyl)-5,6-diphenyl-[1,2,4]triazolo[3,4-c][1,2,4]-triazine (4f). Yield 90.5%; m. p. 224-225 °C; Rf = 0.19 [ethylacetate: petroleum ether (3:7)]; FT-IR (KBr, cm-1): 1582 (C=N str.); 1H NMR (CDCl3, 400 MHz): δ 7.30-7.51 (m, 10H, 3ʹʹʹ, 5ʹʹʹ, Phʹʹ-H & 3ʹ, 4ʹ, 5ʹ-H), 7.71 (d, 2H, J = 8.5 Hz, 2ʹ, 6ʹ-H); 8.44 (d, 2H, J = 8.6 Hz, 2ʹʹʹ, 6ʹʹʹ-H); 13C NMR (CDCl3, 100 MHz): δ 124.4, 125.1, 127.2, 127.7, 128.2, 129.2, 129.8, 130.0, 130.3, 130.6, 133.7, 135.8, 144.7, 147.8, 150.9, 155.4; MS (ESI) m/z: 429.1 (M+ + 1), 431.2 (M+ + 2) in the ratio showing typical bromine isotope profile (1:1); Anal. Calcd. for C22H14BrN5: C, 61.67; H, 3.27; N, 16.35. Found: C, 61.65; H, 3.26; N, 16.34.
5,6-Diphenyl-3-(4ʹʹʹ-methylphenyl)-[1,2,4]triazolo[3,4-c][1,2,4]-triazine (4g). Yield 91%; m. p. 228-229 °C; Rf = 0.23 [ethylacetate: petroleum ether (3:7)]; FT-IR (KBr, cm-1): 1576 (C=N str.); 1H NMR (CDCl3, 400 MHz): δ 2.42 (s, 3H, 4ʹʹʹ-CH3), 7.36-7.50 (m, 12H, 3ʹʹʹ, 5ʹʹʹ, Phʹʹ-H & Phʹ-H), 8.30 (d, 2H, J = 8.4 Hz, 2ʹʹʹ, 6ʹʹʹ-H); 13C NMR (DMSO-d6, 100 MHz): δ 21.1, 123.0, 126.7, 128.0, 128.3, 128.4, 128.7, 129.5, 129.6, 129.9, 130.3, 135.9, 140.2, 145.5, 148.0, 150.4, 155.3; MS (ESI) m/z: 364.1 (M+ + 1); Anal. Calcd. for C23H17N5: C, 76.01; H, 4.68; N, 19.28. Found: C, 76.00; H, 4.66; N, 19.27.
3-(2ʹʹʹ,4ʹʹʹ-Dichlorophenyl)-5,6-diphenyl-[1,2,4]triazolo[3,4-c][1,2,4]-triazine (4h). Yield 90.5%; m. p. 235-236 °C; Rf = 0.49 [ethylacetate: petroleum ether (3:7)]; FT-IR (KBr, cm-1): 1578 (C=N str.); 1H NMR (DMSO-d6, 400 MHz): δ 7.34-7.51 (m, 10H, Phʹʹ-H & Phʹ-H), 7.57 (dd, 1H, J = 8.0 Hz, 5ʹʹʹ-H), 7.74 (s, 1H, 3ʹʹʹ-H), 7.81 (d, 1H, J = 8.3 Hz, 6ʹʹʹ-H); 13C NMR (DMSO-d6, 100 MHz): δ 124.7, 126.3, 127.4, 128.0, 128.2, 129.3, 129.7, 130.0, 130.3, 130.7, 132.0, 135.8, 136.2, 137.2, 144.5, 148.2, 150.6, 155.6; MS (ESI) m/z: 419.1 (M+ + 1); Anal. Calcd. for C22H13Cl2N5: C, 63.14; H, 3.11; N, 16.74. Found: C, 63.12; H, 3.11; N, 16.70.
5,6-Diphenyl-3-(4ʹʹʹ-hydroxyphenyl)-[1,2,4]triazolo[3,4-c][1,2,4]-triazine (4i). Yield 88.5%; m. p. 221-222 °C; Rf = 0.13 [ethylacetate: petroleum ether (3:7)]; FT-IR (KBr, cm-1): 3418 (O-H str.), 1572 (C=N str.); 1H NMR (DMSO-d6, 400 MHz): δ 7.18-7.45 (m, 10H, 3ʹʹʹ, 5ʹʹʹ, Phʹʹ-H & 3ʹ, 4ʹ, 5ʹ-H), 7.72-7.77 (m, 3H, 2ʹ, 6ʹ-H & 4ʹʹʹ-OH), 8.33 (d, 2H, J = 8.4 Hz, 2ʹʹʹ, 6ʹʹʹ-H); 13C NMR (DMSO-d6, 100 MHz): δ 115.9, 116.5, 128.1, 128.3, 128.6, 129.3, 129.6, 129.7, 129.9, 130.2, 136.1, 145.7, 147.8, 150.4, 155.2, 159.5; MS (ESI) m/z: 366.1 (M+ + 1); Anal. Calcd. for C22H15N5O: C, 72.31; H, 4.11; N, 19.17. Found: C, 72.30; H, 4.10; N, 19.16.
5,6-Diphenyl-3-(4ʹʹʹ-nitrophenyl)-[1,2,4]triazolo[3,4-c][1,2,4]-triazine (4j). Yield 86.5%; m. p. 242-243 °C; Rf = 0.13 [ethylacetate: petroleum ether (3:7)]; FT-IR (KBr, cm-1): 1558 (C=N str.), 1464 (NO2 symmetric str.), 1377 (NO2 asymmetric str.); 1H NMR (DMSO-d6, 400 MHz): δ 7.28-7.54 (m, 10H, Phʹʹ-H & Phʹ-H), 8.18 (d, 2H, J = 8.4 Hz, 3ʹʹʹ, 5ʹʹʹ-H), 8.36 (d, 2H, J = 8.6 Hz, 2ʹʹʹ, 6ʹʹʹ-H); 13C NMR (DMSO-d6, 100 MHz): δ 124.4, 126.0, 126.7, 127.3, 127.5, 128.3, 129.5, 129.7, 129.8, 136.0, 137.2, 143.5, 146.7, 145.8, 150.4, 154.9; MS (ESI) m/z: 395.1 (M++1); Anal. Calcd. for C22H14N6O2: C, 66.99; H, 3.55; N, 21.31. Found: C, 66.97; H, 3.53; N, 21.30.
5,6-Diphenyl-3-(3ʹʹʹ-methoxy-4ʹʹʹ-hydroxyphenyl)-[1,2,4]triazolo[3,4-c][1,2,4]-triazine (4k). Yield 84.5%; m. p. 205-207 °C; Rf = 0.21 [ethylacetate: petroleum ether (3:7)]; FT-IR (KBr, cm-1): 3412 (O-H str.), 1576 (C=N str.); 1H NMR (DMSO-d6, 400 MHz): δ 3.78 (s, 3H, 3ʹʹʹ-OCH3), 7.10-7.57 (m, 11H, 5ʹʹʹ, Phʹʹ & Phʹ-H), 7.78-7.835 (m, 2H, 4ʹʹʹ-OH & 2ʹʹʹ-H), 8.32-8.34 (d, 1H, J = 8.0 Hz, 6ʹʹʹ-H); 13C NMR (DMSO-d6, 100 MHz): δ 55.4, 115.6, 118.6, 120.1, 121.5, 125.9, 126.2, 126.5, 126.9, 128.8, 130.2, 130.7, 131.5, 136.9, 142.9, 145.7, 155.2, 159.3, 159.5; MS (ESI) m/z: 396.1 (M+ + 1); Anal. Calcd. for C23H17N5O2: C, 69.86; H, 4.30; N, 17.71. Found: C, 69.82; H, 4.30; N, 17.70.
3-(1ʹʹʹ,3ʹʹʹ-Diphenylpyrazol-4ʹʹʹ-yl)-5,6-diphenyl-[1,2,4]triazolo[3,4-c][1,2,4]-triazine (4l). Yield 92%; m. p. 232-233 °C; Rf = 0.21 [ethylacetate: petroleum ether (3:7)]; FT-IR (KBr, cm-1): 1578 (C=N str.); 1H NMR (CDCl3, 400 MHz): δ 6.88 (d, 2H, J = 8.4 Hz, 3ʹʹ, 5ʹʹ-H), 7.36-7.55 (m, 16H, Phʹ, Phʹʹ, Phʹʹʹʹ-H & Phʹʹʹʹʹ-H), 7.80 (d, 2H, J = 8.0 Hz, 2ʹʹʹʹ, 6ʹʹʹʹ-H), 8.70 (s, 1H, 5ʹʹʹ-H); 13C NMR (CDCl3, 100 MHz): δ 106.6, 119.6, 125.8, 127.3, 127.4, 127.9, 128.2, 128.3, 128.7, 129.2, 129.7, 129.9, 130.0, 130.6, 131.0, 131.6, 133.6, 142.5, 143.8, 147.8, 150.1, 152.1, 155.4; MS (ESI) m/z: 492.2 (M + 1)+; Anal. Calcd. for C31H21N7: C, 75.73; H, 4.28; N, 19.95. Found: C, 75.71; H, 4.27; N, 19.94.
3-(3ʹʹʹ-(4ʹʹʹʹʹ-Nitrophenyl)-1ʹʹʹ-phenylpyrazol-4ʹʹʹ-yl)-5,6-diphenyl-[1,2,4]
triazolo[3,4-c][1,2,4]-triazine (4m). Yield 91%; m. p. 262-263 °C; Rf = 0.21 [ethylacetate: petroleum ether (3:7)]; FT-IR (KBr, cm-1): 1570 (C=N str.); 1474 (NO2 symmetric str.), 1382 (NO2 asymmetric str.); 1H NMR (DMSO-d6, 400 MHz): δ 7.42-7.60 (m, 13H, Phʹ, Phʹʹ-H & Phʹʹʹʹ-H), 8.06 (d, 2H, J = 8.2 Hz, 2ʹʹʹʹ, 6ʹʹʹʹ-H), 8.32-8.356 (m, 4H, Phʹʹʹʹʹ-H), 8.82 (s, 1H, 5ʹʹʹ-H); 13C NMR (DMSO-d6, 100 MHz): δ 106.6, 119.0, 124.6, 125.8, 126.3, 126.8, 128.4, 128.8, 128.9, 129.4, 129.9, 130.0, 130.1, 131.6, 133.6, 137.2, 139.6, 142.2, 146.3, 147.8, 150.5, 151.8, 155.6; MS (ESI) m/z: 537.2 (M+ + 1); Anal. Calcd. for C31H20N8O2: C, 69.38; H, 3.73; N, 20.89. Found: C, 69.36; H, 3.71; N, 20.88.
3-(3ʹʹʹ-(4ʹʹʹʹʹ-Methoxyphenyl)-1ʹʹʹ-phenylpyrazol-4ʹʹʹ-yl)-5,6-diphenyl-[1,2,4]
triazolo[3,4-c][1,2,4]-triazine (4n). Yield 89.8%; m. p. 238-239 °C; Rf = 0.21 [ethylacetate: petroleum ether (3:7)]; FT-IR (KBr, cm-1): 1577 (C=N str.); 1H NMR (CDCl3, 400 MHz): δ 3.79 (s, 3H, 4ʹʹʹʹʹ-OCH3), 6.94 (d, 2H, J = 8.6 Hz, 3ʹʹʹʹʹ, 5ʹʹʹʹʹ-H), 7.02 (d, 2H, J = 7.8 Hz, 3ʹʹ, 5ʹʹ-H), 7.22-7.51 (m, 11H, Phʹ, Phʹʹ-H & Phʹʹʹʹ-H), 7.71 (d, 2H, J = 8.6 Hz, 2ʹʹʹʹʹ, 6ʹʹʹʹʹ-H), 7.81 (d, 2H, J = 7.9 Hz, 2ʹʹʹʹ, 6ʹʹʹʹ-H), 8.71 (s, 1H, 5ʹʹʹ-H); 13C NMR (CDCl3, 100 MHz): δ 55.3, 106.1, 113.9, 119.4, 119.5, 124.2, 125.6, 127.3, 127.9, 128.4, 128.5, 129.6, 129.9, 130.1, 130.4, 131.1, 133.6, 139.5, 142.5, 147.6, 150.3, 152.0, 155.6, 160.1; MS (ESI) m/z: 522.2 (M+ + 1); Anal. Calcd. for C32H23N7O: C, 73.68; H, 4.41; N, 18.80. Found: C, 73.66; H, 4.40; N, 18.79.
3-(3ʹʹʹ-(4ʹʹʹʹʹ-Fluorophenyl)-1ʹʹʹ-phenylpyrazol-4ʹʹʹ-yl)-5,6-diphenyl-[1,2,4]
triazolo[3,4-c][1,2,4]-triazine (4o). Yield 84.5%; m. p. 245-246 °C; Rf = 0.21 [ethylacetate: petroleum ether (3:7)]; FT-IR (KBr, cm-1): 1579 (C=N str.); 1H NMR (CDCl3, 400 MHz): δ 7.01-7.53 (m, 12H, 3ʹʹʹʹʹ, 5ʹʹʹʹʹ-H & Phʹ, Phʹʹ-H), 7.57-7.84 (m, 5H, 3ʹʹʹʹ, 4ʹʹʹʹ, 5ʹʹʹʹ-H & 2ʹʹʹʹʹ, 6ʹʹʹʹʹ-H), 7.99 (d, 2H, J = 8.0 Hz, 2ʹʹʹʹ, 6ʹʹʹʹ-H), 9.22 (s, 1H, 5ʹʹʹ-H); 13C NMR (DMSO-d6, 100 MHz): δ 106.1, 115.3, 119.0, 126.6, 127.3, 128.1, 128.2, 129.5, 129.6, 129.7, 130.1, 130.2, 130.4, 130.8, 132.4, 135.9, 141.2, 143.5, 147.8, 149.3, 150.3, 155.9, 162.3; MS (ESI) m/z: 510.2 (M+ + 1); Anal. Calcd. for C31H20FN7: C, 73.06; H, 3.93; N, 19.25. Found: C, 73.05; H, 3.91; N, 19.24.
3-(3ʹʹʹ-(4ʹʹʹʹʹ-Chlorophenyl)-1ʹʹʹ-phenylpyrazol-4ʹʹʹ-yl)-5,6-diphenyl-[1,2,4]
triazolo[3,4-c][1,2,4]-triazine (4p). Yield 86.6%; m. p. 234-235 °C; Rf = 0.21 [ethylacetate: petroleum ether (3:7)]; FT-IR (KBr, cm-1): 1580 (C=N str.); 1H NMR (CDCl3, 400 MHz): δ 6.78-7.44 (m, 15H, 3ʹʹʹʹʹ, 5ʹʹʹʹʹ, Phʹ, Phʹʹ-H & Phʹʹʹʹ-H), 7.66-7.72 (m, 4H, 2ʹʹʹʹʹ, 6ʹʹʹʹʹ-H & 2ʹʹʹʹ, 6ʹʹʹʹ-H), 8.70 (s, 1H, 5ʹʹʹ-H); 13C NMR (CDCl3, 100 MHz): δ 106.6, 119.5, 125.9, 127.5, 128.5, 128.6, 128.9, 129.5, 129.6, 129.8, 129.9, 130.0, 130.5, 131.0, 131.6, 133.6, 135.3, 139.4, 142.1, 147.7, 150.4, 151.0, 155.5; MS (ESI) m/z: 527.1 (M+ + 1), 529.2 (M+ + 2) in the ratio showing typical chlorine isotope profile (3:1); Anal. Calcd. for C31H20ClN7: C, 70.71; H, 3.80; N, 18.63. Found: C, 70.69; H, 3.78; N, 18.62.
3-(3ʹʹʹ-(4ʹʹʹʹʹ-Bromophenyl)-1ʹʹʹ-phenylpyrazol-4ʹʹʹ-yl)-5,6-diphenyl-[1,2,4]
triazolo[3,4-c][1,2,4]-triazine (4q). Yield 90%; m. p. 227-228 °C; Rf = 0.21 [ethylacetate: petroleum ether (3:7)]; FT-IR (KBr, cm-1): 1594 (C=N str.); 1H NMR (CDCl3, 400 MHz): δ 7.38-7.54 (m, 15H, 3ʹʹʹʹʹ, 5ʹʹʹʹʹ, Phʹ, Phʹʹ-H & Phʹʹʹʹ-H), 7.58-7.62 (m, 4H, 2ʹʹʹʹʹ, 6ʹʹʹʹʹ-H & 2ʹʹʹʹ, 6ʹʹʹʹ-H), 8.72 (s, 1H, 5ʹʹʹ-H); 13C NMR (CDCl3, 100 MHz): δ 106.5, 119.6, 124.1, 126.1, 127.8, 128.0, 128.8, 128.9, 129.1, 129.6, 129.8, 129.9, 130.1, 130.2, 131.5, 132.6, 133.8, 139.5, 142.3, 147.6, 150.3, 150.9, 155.5; MS (ESI) m/z: 571.3 (M+ + 1), 573.1 (M+ + 2) in the ratio showing typical bromine isotope profile (1:1); Anal. Calcd. for C31H20BrN7: C, 65.23; H, 3.51; N, 17.18. Found: C, 65.21; H, 3.50; N, 17.16.
5,6-Diphenyl-3-(thiophen-2ʹʹʹ-yl)-[1,2,4]triazolo[3,4-c][1,2,4]-triazine (4r). Yield 81.9%; m. p. 198-199 °C; Rf = 0.21 [ethylacetate: petroleum ether (3:7)]; FT-IR (KBr, cm-1): 1575 (C=N str.); 1H NMR (DMSO-d6, 400 MHz): δ 7.18-7.55 (m, 11H, 5ʹʹʹ, Phʹ-H & Phʹʹ-H), 7.819-7.834 (m, 1H, 4ʹʹʹ-H), 8.17-8.18 (t, 1H, 3ʹʹʹ-H); 13C NMR (DMSO-d6, 100 MHz): δ 125.9, 126.3, 126.9, 127.5, 128.0, 129.1, 129.6, 130.0, 130.2, 130.3, 134.0, 135.8, 142.4, 147.6, 150.7, 155.5; MS (ESI) m/z: 356.1 (M + 1)+; Anal. Calcd. for C20H13N5S: C, 67.59; H, 3.66; N, 19.71. Found: C, 67.57; H, 3.65; N, 19.69.
5,6-Diphenyl-3-(furan-2ʹʹʹ-yl)-[1,2,4]triazolo[3,4-c][1,2,4]-triazine (4s). Yield 82%; m. p. 205-206 °C; Rf = 0.21 [ethylacetate: petroleum ether (3:7)]; FT-IR (KBr, cm-1): 1576 (C=N str.); 1H NMR (DMSO-d6, 400 MHz): δ 7.01-7.49 (m, 12H, 5ʹʹʹ, 4ʹʹʹ, Phʹ-H & Phʹʹ-H), 7.89-7.92 (t, 1H, 3ʹʹʹ-H); 13C NMR (DMSO-d6, 100 MHz): δ 126.4, 127.5, 127.9, 128.1, 128.9, 129.0, 129.5, 130.0, 130.5, 131.3, 134.6, 136.0, 142.3, 147.5, 150.6, 155.4; MS (ESI) m/z: 340.1 (M++1); Anal. Calcd. for C20H13N5O: C, 70.78; H, 3.83; N, 20.64. Found: C, 70.76; H, 3.81; N, 20.62.
Biological activity
DNA photocleavage studies
DNA photocleavage experiment was performed by taking 10 µl solution containing plasmid DNA in TE (Tris 10 mM, EDTA 0.01 mM, pH 8.0) buffer in presence of 40 µg of the synthesized compounds. The sample solution held in caps of polyethylene microcentrifuge tubes were placed directly on the surface of a trans-illuminator (8000 mW/cm) at 360 nm and were irradiated for 30 minutes at room temperature. After irradiation, samples were further incubated at 37°C for 1h. Irradiated samples were mixed with 6X loading dye containing 0.25% bromophenol blue and 30% glycerol. The samples were then analyzed by electrophoresis on a 0.8% agarose horizontal slab gel in Tris-acetate EDTA buffer (40 mM Tris, 20 mM acetic acid, 1 mM EDTA, pH: 8.0). Untreated plasmid DNA was maintained as a control in each run of gel electrophoresis and carried out at 5V/cm for 2.0 h. Gel was stained with ethidium bromide (1 µg/mL) and photographed under UV light [37-38] for further step.
RESULT AND DISCUSSION
Chemistry
Recently, organic synthesis acquired various advantages such as a shorter reaction time, higher regio-selectivity [39], use of greener solvents or reagents with low toxicity profile etc. Because of non-toxic and eco-friendly nature, organoiodine (III) reagents are well known for their selectivity in organic synthesis [40, 41] and have extensively been used in construction of a large number of heterocycles. Viewing a wide range of pharmaceutical activities of triazine and azoles, it was decided to synthesize some novel aryl/heteroaryl substituted triazine based triazoles under mild reaction conditions and to explore their biological potential by evaluating DNA photocleavage activity in comparison to plasmid DNA.
In this study, the triazolotriazines have been synthesized by the oxidative cyclization of triazinylhydrazones using IBD in dichloromethane under mild conditions with high purity and good yields. In the present investigation, total thirty eight novel compounds were prepared as summarized in Scheme 1 and characterized on the basis of FT-IR, 1H, 13C NMR and mass spectral data. To achieve the target, initially we prepared the key substrate, 5,6-Diphenyl-3-hydrazino-1,2,4-triazine 1 which involves in the synthesis of 3,5,6-trisubstituted-[1,2,4]triazolo[3,4-c][1,2,4]triazines. Reactant 1 was synthesized by the reaction of benzil with thiosemicarbazide [42, 43] followed by the successive reactions with different reagents [44]. Another starting material, 4-formylpyrazole was also prepared according to the literature method [45]. A series of nineteen triazinylhydrazones (3a-s) was obtained by the condensation of 1 with various substituted aldehydes (2a-k) and 3-aryl-1-phenyl-1H-pyrazole-4-carbaldehydes (2l-s) in ethanol under reflux in presence of a catalytic amount of concentrated H2SO4. Further, the oxidative cyclization of triazinylhydrazones has been achieved in the presence of 1.1 equivalent of IBD [46] in dichloromethane at room temperature to give the desired products successfully with 82-92% yields.
The FT-IR spectra of compounds 3a-s showed absorption band for –NH stretching in a range at 3216-3420 cm-1 and thus indicated the formation of hydrazones. The two singlets in the range at δ 8.90-8.99 and 8.23-8.56 were appeared in 1H NMR spectrum of triazinylhydrazones (3l-s) due to 5ʹʹʹ-H of pyrazole ring and N=CH, respectively. In 1H NMR spectra of hydrazones 3a-s, the characteristic downfield signal at δ 11.62-11.99 ppm was attributed to NH proton and rest of the protons exhibited multiplets in the aromatic region. Chemical shifts at δ 156.2-156.8 correspond to CH=N carbon in 13C NMR spectra of hydrazones.
The structures of final products (4) were established by comparing the spectral data of hydrazones (3a-s) with 4. The FT-IR spectra of 4a-s were transparent in region of NH stretching and thus confirmed the successful oxidation of 3 into 4. Disappearance of chemical shifts at δ 8.23-8.56 (N=CH) and 11.62-11.99 (NH) in 1H NMR spectra of products (4a-s) also confirmed the oxidative transformation of triazinylhydrazones into 3,5,6-Trisubstituted-[1,2,4]triazolo[3,4-c][1,2,4]triazine. The 13C NMR spectra showed peaks at around δ 155.3-155.6 (C-3) for triazole carbon and other signals at δ 107.0 and 139.3 corresponding to pyrazole ring carbons. In 13C NMR spectra, disappearance of signal at δ 156.2-156.77 supported the formation of titled compounds (4). The signal at δ 107.0 was appeared due to the pyrazole carbon attached to triazole ring.
Scheme 1: Synthesis of 3,5,6-trisubstituted-[1,2,4]triazolo[3,4-c][1,2,4]triazine (4a-s)
Biological activity
DNA photocleavage activity
The DNA photocleavage study was performed using agarose gel electrophoresis method and results are presented in Fig. 3 and 4. It has been observed that intensity of DNA was significantly decreased in the case of triazinylhydrazones and triazoles in comparison to DNA as control. Decrease in intensity of plasmid DNA in case of triazinylhydrazones 3b, 3d, 3e, 3h, 3i, 3p, 3q, 3r (Lane 3, 5, 6, 9, 10, 18, 19 and 20) as compared with control (Lane 1) indicated the cleavage of DNA forms. As shown in Fig. 3, the compounds 3b, 3d-e, 3h, 3p, 3q and 3r were responsible for the complete disappearance of supercoiled (form- I) DNA. However, compounds 3c, 3f, 3g, 3i, and 3o (lane 4, 7, 8, 10 and 17, respectively) were responsible to decrease the intensity of supercoiled DNA.

Fig. 3: DNA photocleavage study of triazinylhydrazones (3a-s)
Fig. 3: Lane 1: Control plasmid DNA + UV + DMSO, Lane 2: DNA + 40µg 3a, Lane 3: DNA + 40µg 3b, Lane 4: DNA + 40µg 3c, Lane 5: DNA + 40µg 3d, Lane 6: DNA + 40µg 3e, Lane 7: DNA + 40µg 3f, Lane 8: DNA + 40µg 3g, Lane 9: DNA + 40µg 3h, Lane 10: DNA + 40µg 3i, Lane 11: DNA + 40µg 3j, Lane 12: DNA + 40µg 3k, Lane 13: DNA + 40µg 3l, Lane 14: DNA + 40µg 3m, Lane 15: Control plasmid DNA + UV + DMSO, Lane 16: DNA + 40µg 3n, Lane 17: DNA + 40µg 3o, Lane 18: DNA + 40µg 3p, Lane 19: DNA + 40µg 3q, Lane 20: DNA + 40µg 3r, Lane 21: DNA + 40µg 3s.
Triazole derivatives 4m-n, 4p-s (lane 14, 16 18, 19, 20 and 21) on irradiation with UV light were found to show complete cleavage of DNA forms. Compounds 3b, 3d, 3e, 3h, 3p, 3q and 4m-n, 4p-s were found to show excellent DNA cleaving activity in case of triazinylhydrazones and triazolotriazine, respectively. It was found that both hydrazones as well as triazole derivatives enhance the DNA cleavage activity significantly and may be used to serve the basis of some bioactive heterocycles in the future.

Fig. 4: DNA photocleavage study of triazolotriazines (4a-s)
Fig. 4: Lane 1: Control plasmid DNA + UV + DMSO, Lane 2: DNA + 40µg 4a, Lane 3: DNA + 40µg 4b, Lane 4: DNA + 40µg 4c, Lane 5: DNA + 40µg 4d, Lane 6: DNA + 40µg 4e, Lane 7: DNA + 40µg 4f, Lane 8: DNA + 40µg 4g, Lane 9: DNA + 40µg 4h, Lane 10: DNA + 40µg 4i, Lane 11: DNA + 40µg 4j, Lane 12: DNA + 40µg 4k, Lane 13: DNA + 40µg 4l, Lane 14: DNA + 40µg 4m, Lane 15: Control plasmid DNA + UV + DMSO, Lane 16: DNA + 40µg 4n, Lane 17: DNA + 40µg 4o, Lane 18: DNA + 40µg 4p, Lane 19: DNA + 40µg 4q, Lane 20: DNA + 40µg 4r, Lane 21: DNA + 40µg 4s.
CONCLUSION
In the present investigation, the synthesis of novel triazolotriazine derivatives via oxidative cyclization of new triazinylhydrazones using IBD is reported. The structures of the products were established on the basis of FT-IR, 1H, 13C NMR and mass spectral data. It has been observed that both classes of compounds 4m-n, 4p-s as well as 3b, 3d, 3e, 3h, 3p, 3q were acting as good photocleaving agents. In case of triazolotriazines, the para substitution on phenyl ring attached to pyrazole moiety with electron-releasing group increases the DNA photocleavage ability whereas electron-withdrawing group decreases to some extent. Further, triazinylhydrazones containing phenyl ring attached to pyrazole moiety having electron-releasing group also enhance the DNA photocleavage potential.
CONFLICT OF INTERESTS
Declared None.
ACKNOWLEDGEMENTS
The authors are grateful to the Chairman, Maharishi Markandeshwar University, Mullana (Ambala) for providing the necessary research facilities. We are also grateful to Mr. Manish Kumar and Mr. Avtar Singh, SAIF, Panjab University, Chandigarh for providing FT-IR, 1H, 13C NMR, mass spectra and elemental analysis data.
REFERENCES