P. G. Department of Studies in Chemistry, Karnatak University, Pavate Nagar, Dharwad 580003, India.
Email: schimatadar@gmail.com
Received: 05 Aug 2014 Revised and Accepted: 10 Sep 2014
ABSTRACT
Objective: To understand the kinetics and mechanism of oxidation of procainamide hydrochloride by Mn(VII) in aqueous sulfuric acid medium at 298K and at constant ionic strength, I= 3.0×10-3 mol dm-3 and to identify its oxidation products.
Methods: Kinetic measurements were performed on a Varian CARRY 50 Bio UV- visible spectrophotometer connected to a rapid kinetic accessory (HI-TECHSFA-12 unit). The products are characterized by FT-IR, GC-MS and NMR studies.
Results: The reaction stoichiometry was determined and the results indicate that five moles of procainamide require four moles of Mn(VII). The oxidation products were identified as Mn(II), p-aminobenzoic acid and N,N-diethyl-2-nitrasoethanamine. The reaction shows first-order kinetics with respect to MnO4-and fractional order with respect to procainamide. Increase in sulphuric acid concentration increased the rate of reaction with fractional order dependence on H+ion concentration. The effect of added products, ionic strength, and dielectric constant of the medium were studied on the rate of reaction.
Conclusion: A suitable mechanism is proposed on the basis of experimental results. The activation parameters with respect to the slow step of the mechanism were evaluated and the thermodynamic parameters are also determined and discussed.
Keywords: Oxidation, Kinetics, Mechanism, Procainamide, Permanganate.
INTRODUCTION
Procainamide (PAH) is a pharmaceutical antiarrhythmic agent used for the medical treatment of cardiac arrhythmias and used for both supraventricular and ventricular arrhythmias indicated in the treatment of premature ventricular contractions, ventricular tachycardia, trial fibrillation and paroxysmal a trial tachycardia [1]. Procainamide's major active metabolite is N-acetylprocainamide(NAPA), which is approximately equipotent with the parent drug as an antiarrhythmic agent [2]. NAPA has an elimination half-life about twice that of procainamide, and it can reach somewhat higher plasma levels during chronic procainamide administration [3]. PAH measurement in plasma is advocated as a useful, if not mandatory, guide to therapy. The accepted therapeutic concentration range for PAH is 4-8 mg/liter, but its major metabolite, N-acetylprocainamide, which also has an antiarrhythmic effect in humans, is found in similar concentrations in the plasma of patients who are undergoing therapy with procainamide. Therefore, therapy can be optimal only if both procainamide and N-acetylprocainamide are considered [4]. The structure of procainamide hydrochloride is shown below.

In the present investigation, the authors have obtained the evidence for the reactive species for permanganate in acid medium. A literature survey reveals that there are no reports on the kinetics of oxidation of PAH by Mn(VII). Hence, in order to understand the active species of oxidant and to propose a suitable mechanism based on experimental results, the title reaction is investigated.
Mn(VII) is widely used as an oxidizing, disinfectant and also as an analytical reagent. These reactions are governed by the pH of the medium. Among six oxidation states of manganese, from +2 to +7, Mn(VII), is the most potent oxidation state in acid medium with reduction potentials [5] 1.69 V of Mn(VII)/Mn(IV) couple and 1.51 V of Mn(VII)/Mn(II) couple. Chemical oxidation using Mn(VII) has been widely used for treatment of pollutants in drinking water and wastewater applications for over 50 years. The oxidation by Mn(VII) ion finds extensive applications in organic syntheses [6]. During oxidation by Mn(VII), it is evident that Mn(VII) is reduced to various oxidation states in acidic, alkaline and neutral media. According to Insauti et al. [7], it has several advantages as an analytical reagent e. g. it is strong vividly colored serving as its own indicator. In acidic medium active species of Mn(VII) exists in different forms as HMnO4, H2MnO4+, HMnO3, and Mn2O7 depending on the nature of the reductant, the oxidant has been assigned both inner sphere and outer sphere pathway in their redox reactions [8, 9]. In earlier report on oxidation by Mn(VII) in acidic media, it has been observed that some investigators have found the induction period [10] and some have noticed autocatalytic nature either by Mn(II) or by one of the products obtained by substrates [11]. Hence it is worthwhile to investigate the Mn(VII) oxidation of procainamide hydrochloride in acid medium to see such ambiguity.
MATERIALS AND METHODS
Chemicals and solutions
All reagents were of analytical reagent grade and millipore water was used throughout the work. A solution of PAH (Sigma Aldrich) was prepared by dissolving an appropriate amount of procainamide in millipore water. The stock solution of Mn(VII) was prepared by dissolving potassium permanganate (s. d. fine Chem. Ltd) in water and concentrations were ascertained by titrating against oxalic acid [12]. Manganese (II) solution was prepared by dissolving manganese sulfate (s. d fine Chem. Ltd) in water. While Na2SO4 (s. d fine Chem. Ltd) and H2SO4 (Fisher scientific) were used to maintain the required ionic strength and acidity of the reaction mixture respectively.
Instruments used
For kinetic measurements, a Peltier accessory (temperature-controlled) attached to a Varian CARY 50 Bio UV−vis spectrophotometer (Varian, Victoria-1370 Australia) connected to a rapid kinetic accessory (HI-TECHSFA-12) was used. For product analysis, Shimadzu 17A gas chromatograph with a Shimadzu QP-5050A mass spectrometer with electron impact (EI) ionization technique, a Nicolet 5700 FT-IR spectrometer (Thermo Electron Corporation, Madison, WI), and a 300 MHz 1H NMR spectrometer (Bruker, Switzerland) were used.
Kinetic measurements
Since the reaction was too fast to be monitored by the usual method, kinetic measurements were performed on a Varian CARRY 50 Bio UV- visible spectrophotometer connected to a rapid kinetic accessory (HI-TECHSFA-12 unit). All kinetic measurements were followed under pseudo-first-order conditions at 298K where the substrate (PAH) concentration was used in excess over oxidant (Mn(VII)) concentration at a constant ionic strength of 3.0×10-3 mol dm-3. The reaction was initiated by adding thermally equilibrated (25 ± 0.1°C) solutions of Mn(VII), PAH, in addition to that required quantities of H2SO4, Na2SO4 are added to provide required acidity and ionic strength of reaction. The application of Beer’s law at 525 nm for Mn(VII) in the concentration range, 0.10 × 10-4 mol dm-3to 8.0 × 10-4 mol dm-3was made and extinction coefficient was fond to be ε = 2200 ± 50 dm3 mol-1 cm-1. The kinetic runs were followed more than 80% completion of the reaction and good first order kinetics was observed. The pseudo–first order rate constants, kobs were calculated from the plots of log [MnO4-] versus time, which are linear over 70% completion of the reaction (Fig.1). The kobs values were reproducible within ±5% and are the average of at least three independent kinetic runs (Table 1).

Fig. 1: First order plot of oxidation of procainamide by MnO-4 in acid media at 298K, [PAH] = 2.0×10-3 mol dm-3, [H+] = 2.0×10-4mol dm-3; I = 3.0×10-3 mol dm-3, [MnO-4] ×104mol dm-3= (1) 0.25 (2) 0.50 (3) 1.0 (4) 2.0 and (5) 3.0.
RESULTS
Stoichiometry and product analysis
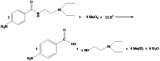
Different sets of reaction mixtures containing excess of Mn(VII) to [PAH] in the presence of constant amount of acid and at constant ionic strength, 3.0×10-3 mol dm-3, were allowed to react for about 5 h at 298K. After completion of the reaction, part of the reaction mixture was used to analyze the remaining concentration of Mn(VII) and was determined by measuring the absorbance at 525 nm. The result indicates that, five moles of procainamide requires four moles of Mn(VII) as shown in Eq. (1).
……. (1)
The remaining reaction mixture was acidified, concentrated and extracted with ether. The reaction products were identified as Mn(II), p-aminobenzoic acid and N,N-diethyl-2-nitrasoethanamine. However, under the condition of Mn(VII) greater than 1.0×10-4 mol dm-3, the product Mn(II) was confirmed by UV-vis spectra and spot test [13]. The main reaction product p-aminobenzoic acid was indentified and confirmed by TLC and further characterized by IR, GCMS and NMR spectra. IR spectrum showed C = O stretching for the carboxylic acid functional group at 1672 cm-1, while –NH2 stretching observed at 3366 cm-1 and –OH stretching at 3465 cm-1(Fig. 2). The presence of p-aminobenzoic acid was also confirmed by GC-MS analysis. The mass spectrum showed the base peaks at 120 amu consistent with the molecular ion of 137 amu (Fig. 3). All other peaks observed in the GC-MS can be interpreted in accordance with structure of p-aminobenzoic acid. Further p-aminobenzoic acid was characterized by 1H-NMR spectra (Fig.4) (DMSO): 11.9 (s, 1H, OH), 3.5 (s, 2H, ArNH2). Another product N, N-diethyl-2-nitrasoethanamine was confirmed by spot test [14].

Fig. 2: FT-IR spectrum of p-aminobenzoic acid, the product obtained during the oxidation of procainamide by permanganate in acid medium.

Fig. 3: GC - MS spectra of the product p-aminobenzoic acid, showed molecular ion peak at m/z 137 amu.

Fig. 4: 1H NMR spectrum of p-aminobenzoic acid, the product obtained during the oxidation of procainamide by permanganate.
Reaction orders
The reaction orders were determined from the slopes of log kobs versus log (concentration) plots by varying the concentrations of PAH and acid in turn while keeping all other concentrations and conditions constant.
Effect of [Mn (VII)]
At constant concentration of PAH, acid and at constant ionic strength, I = 3.0×10-3 mol dm-3, the MnO4- concentration was varied from 0.25 × 10-4 mol dm-3to 3.0 × 10-4 mol dm-3. The order with respect to MnO4- concentration was found to be unity, since the rate constant kobs, was almost constant at different MnO4- concentrations (Table 1). The pseudo-first order plots under these conditions were almost parallel and linear over 80% completion of the reaction (Fig. 1) also indicates first order with respect to MnO4-.
Effect of [Procainamide]
The PAH concentration was varied in the concentration range of 0.25 × 10-3 mol dm-3 to 4.0 × 10-3 mol dm-3 at 298K, keeping all other conditions constant. The rate constant, kobs increased with increase in the concentration of PAH (Table 1). From the slope of the plot of log kobs versus log [PAH], the order with respect to PAH concentration was found to be less than unity (0.63).
Effect of [acid]
The effect of acid concentration on the reaction rate was studied in the range 0.50 × 10-4 mol dm-3 to 5.0 × 10-4 mol dm-3 at constant concentrations of PAH, MnO4- and at constant ionic strength of 3.0 × 10-3 mol dm-3 at 298K. The rate constant increased with the increase in the acid concentration (Table 1). The order with respect to acid concentration was found to be less than unity (0.70). The experimental rate law is
![]()
Effect of ionic strength (I) and dielectric constant (D)
The effect of ionic strength was studied by varying the sodium sulphate concentration from 1.0×10-3 mol dm-3 to 5.0×10-3 mol dm-3 at constant concentrations of Mn(VII), PAH and H+. It was found that, as the ionic strength increases, the rate of reaction also increases. The plot of logkobs versus √I is linear (Fig.5). The dielectric constant of the medium was varied by varying acetic acid - water (v/v) content in the reaction mixture from 0 to 35% with all other conditions being maintained constant. As the acetic acid concentration increased in the reaction medium, the rate of reaction also increases. The plot of log kobs versus 1/D is linear (Fig.5).

Fig. 5: Effect of (a) ionic strength and (b) dielectric constant on the oxidation of PAH by acidic MnO4- at 298K
Effect of added products
The effect of initially added products, p-aminobenzoic acid and Mn(II) did not have any significant effect on the rate of reaction.
Test for free radicals (polymerization study)
The intervention of free radicals was examined as follows: The reaction mixture, to which a known quantity of acrylonitrile scavenger had been added initially, was kept in an inert atmosphere for two hours at room temperature and diluting the reaction mixture with methanol, precipitate was formed in the reaction mixture, which indicates the participation of free radicals in the reaction. Blank experiment with either procainamide or Mn(VII) alone with acrylonitrile did not induce polymerization under the present experimental conditions. The added acrylonitrile to the reaction mixture decrease the rate of reaction also indicates the involvement of free radicals in the reaction.
Table 1: Effect of MnO-4, PAH and H+ concentrations on the Mn(VII) oxidation of PAH in acidic medium at 298K, I = 3.0×10-3 mol dm-3.
| [MnO-4] × 104
(mol dm-3) |
[PAH] × 103
(mol dm-3) |
[H+] × 104
(mol dm-3) |
kobs × 102
(s-1) |
| 0.25 | 2.00 | 2.00 | 1.35 |
| 0.50 | 2.00 | 2.00 | 1.38 |
| 1.00 | 2.00 | 2.00 | 1.31 |
| 2.00 | 2.00 | 2.00 | 1.28 |
| 3.00 | 2.00 | 2.00 | 1.28 |
| 1.00 | 0.25 | 2.00 | 0.27 |
| 1.00 | 0.50 | 2.00 | 0.60 |
| 1.00 | 1.00 | 2.00 | 1.10 |
| 1.00 | 2.00 | 2.00 | 1.31 |
| 1.00 | 3.00 | 2.00 | 1.54 |
| 1.00 | 4.00 | 2.00 | 1.78 |
| 1.00 | 2.00 | 0.50 | 0.45 |
| 1.00 | 2.00 | 1.00 | 0.73 |
| 1.00 | 2.00 | 2.00 | 1.30 |
| 1.00 | 2.00 | 3.00 | 1.65 |
| 1.00 | 2.00 | 4.00 | 1.92 |
| 1.00 | 2.00 | 5.00 | 2.30 |
Effect of temperature
The rate of reaction was measured at four different temperatures 288, 298, 308 and 318K under varying acid and PAH concentrations. The rate was found to increase with increasing temperature. The rate constants of the slow step of the Scheme 1 were obtained from the intercepts and slopes of the plots of 1/kobs versus 1/[PAH] and 1/kobs versus 1/[H+] at the four different temperature (Fig. 7). The energy of activation, Ea was evaluated from the slope of the plot of logk versus 1/T. The enthalpy of activation, ΔH≠, the entropy of activation, ∆S≠and the free energy of activation, ∆G#, were obtained by the Eyring equation [15] and the values are given in (Table 2).
……. (2)
Where k is the rate constant, kB is the Boltzmann’s constant, h is the Planck’s constant, R is the gas constant, T is the absolute temperature and ∆G# is the free energy of activation. The linear form of above equation is
………………(3)
The slope of the plot of log k/T versus 1/T gives the value of enthalpy of activation, ΔH≠. By using this value of ΔH≠, and the rate constant at a particular temperature T, the value of entropy of activation, ∆S≠ was obtained by simple rearrangement of linear form of equation. Using these values of ΔH≠and ∆S≠, the free energy of activation, was obtained (Table 2).
DISCUSSION
MnO4-, is a powerful oxidizing agent in acid medium. The stable oxidation product of MnO4- in acid medium is Mn(II) and Mn(IV). The reaction between PAH and MnO4- has a stoichiometry 5:4 with a first-order dependence on the MnO4- concentration and less-than-unit order in both the PAH and H2SO4 concentrations. The fact that, Mn(II) is the reduced product of Mn(VII) in the present reaction might indicate that [PAH] shows a strong reducing character in H2SO4 medium.

(a)

(b)
Fig. 6: Verification of rate law (9) in the form of Eq. (9) for the oxidation of procainamide by permanganate in sulphuric acid medium. Plot of 1/kobs versus (a) 1/ [H+] and (b) 1/ [PAH] at different temperature (Condition as in Table1).
Table 2: Activation parameters and thermodynamic quantities for the oxidation of PAH by acidic Mn(VII).
(a) Effect of temperature with respect to slow step of the Scheme 1 and activation parameters
| Temperature (K) | k × 102(s-1) | Parameter | Values |
| 288 | 1.98 | Ea (kJ mol-1) | 37±3 |
| 298 | 3.59 | ΔH≠(kJ mol-1) | 35 ±3 |
| 308 | 7.07 | ΔS≠(J K-1 mol-1) | -154 ±4 |
| 318 | 8.82 | ΔG≠(kJ mol-1) | 81 ±3 |
| log A | 7 ± 0.1 |
(b) Equilibrium constants K1 and K2 at different temperatures
| Temperature (K) | K1 × 10-1 dm3 mol-1 | K2 × 10-4 dm3 mol-1 |
| 288 | 4.28 | 3.26 |
| 298 | 3.64 | 3.88 |
| 308 | 2.26 | 5.25 |
| 318 | 1.65 | 6.02 |
(c) Thermodynamic quantities with respect to K1 and K2
| Quantities | Using K1 values | Using K2 values |
| ∆H (kJ mol-1 | -25 | 16 |
| ∆S (JK-1 Mol-1) | -56 | 143 |
| ∆G (kJ mol-1) | -8 | -27 |
The active species of Mn(VII) in aqueous acid medium can be deduced from the dependence of the rate on the H+ concentration in the reaction medium. The apparent order is less than unity in H2SO4 concentration might be an indication of Mn(VII)species as permanganic acid. In acid medium, permanganic acid (HMnO4) is a more efficient oxidant species of manganese (VII) than permanganate ion [16, 17]. In addition, it was observed that the reaction rate increased with increasing H2SO4 concentration. The effect of ionic strength on the rate of reaction also confirms that HMnO4 is the active species of MnO4-. Thus, in acid medium, MnO4- exists as HMnO4.
……………. (4)
where K1 is the formation constant of HMnO4
In view of these aspects and the experimental observations, a reasonable reaction mechanism can be proposed in which all of the observed orders with respect to the concentrations of constituents, namely, MnO4-, PAH and H+ can be well accommodated. The results suggest that the protonated form of Mn(VII), HMnO4 is the active species of MnO4- in prior equilibrium, which reacts with one mol of PAH in the second equilibrium step to form a complex, then that decomposes in a slow step to give p-aminobenzaldehyde free radical and diethylethane- 1, 2- diamine ion and Mn(VI). The free radical, p-aminobenzaldehyde undergoes hydrolysis in presence of Mn(VI) in a fast step to give final product, p-aminobenzoic acid and Mn(V), while diethylethane 1, 2- diamine ion undergoes hydrolysis in presence of Mn(V) in further fast step to form a product, 2-(diethylamino)-N-hydroxyethanamine and Mn(IV). In further fast step 2-(diethylamino)-N-hydroxyethanamine reacts with Mn(IV) to give a product, N,N-diethyl-2-nitrosoethanamine and Mn(II). The formed Mn (VI) and Mn (V) are unstable in acid medium [16] and could not be detected. All results may be interpreted in the form of Scheme1.




![]()

Scheme 1
Scheme 1 is one of the proposed possible mechanisms for the reaction. The results indicate the formation of a complex between [PAH] and HMnO4. The spectral evidence for a complex between the substrate and oxidant was obtained from UV-vis spectra of PAH and PAH-MnO4- mixtures in which a hypsochromic shift of 15 nm (from 311 to 296 nm) was observed [18]. Complex formation was also confirmed by Michaelis-Menten plot. The probable structure of the complex is

Such complex formation between substrate and oxidant was also reported in the literature [19, 20]. From Scheme 1 the following rate law (9) can be derived as follows:
![]()

…………………. (5)
Total concentration of MnO4- is given by
![]()
![]()


……………(6) Therefore,
Where, [MnO4-]t and [MnO4-]f are the total and free Mn(VII) concentrations respectively.
Total concentration of PAH is given by




…………….. (7)
Because, K2 [HMnO4] <<1, on account of the low concentration MnO4- used in the experiment.
And


![]()
Therefore,
………… (8)
Substituting Eqs. (6), (7) and (8) into Eq. (5) and omitting the subscripts, we obtain
………..… (9)
Or……...…. (9)
The rate law (8) can be rearranged to Eq. (9) which is suitable for verification.
…….. (10)
According to Eq. (10), plots of 1/kobs versus 1/ [H+] and 1/kobs versus 1/ [PAH] should be linear, and this was found to be the case (Fig. 6). From the slopes and intercepts of these plots, the values of k, K1, and K2 at 298K were obtained as 3.59×10-2 dm3 mol-1 s-1, 36 dm3 mol-1 and 3.88×104 dm3 mol-1respectively (Table 2). The value of K1 is in good agreement with earlier work (literature value is 40 dm3 mol-1) [20]. The effect of ionic strength is consistent with reaction between ions, as in Scheme 1. The effect of solvent on the rate of reaction has been described in the literature [21, 22]. An increase in the content of acetic acid in the reaction mixture leads to an increase in the rate of reaction. The modest activation energy [23] and sizable entropy of activation support a complex transition state in the reaction.
The values of ∆H# and ∆S# are both favorable for electron transfer processes [24]. The negative value of ∆S# indicates that the complex is more ordered than the reactants. The high negative entropy of activation observed in the decomposition of the intermediate complex is in accordance with the propositions suggested for oxidation reactions of an inner-sphere nature [25].
CONCLUSION
The kinetics of the oxidation of Mn(VII) by procainamide in an acid medium was investigated using a stopped flow technique. The oxidant MnO4- exists in acid medium as HMnO4, which takes part in the chemical reaction. The role of hydrogen ion is crucial to the reaction. Oxidation products were identified as Mn(II), p-aminobenzoic acid and N,N-diethyl-2-nitrosoethanamine. Rate constant of slow step and other equilibrium constants involved in the mechanism are evaluated and activation parameters with respect to slow step of reaction were computed. The proposed mechanism is consistent with all the experimental evidence.
CONFLICT OF INTERESTS
Declared None .
ACKNOWLEDGEMENT
One of the authors (Manjanath B. Patgar) thanks Karnatak University, Dharwad for the research fellowship (KU/Sch/UGC-UPE/2013-14/1118) under the UGC-UPE programme (2013-16).
REFERENCES