Int J Pharm Pharm Sci, Vol 7, Issue 1, 243-246Original Article


SYNTHESIS, CHARACTERIZATION AND ANTI INFLAMMATORY ACTIVITY OF NOVEL QUINOXALINE DERIVED CHALCONES

KARAKAVALASA PRADEEP1, VIJAY KOTRA*2, R. L PRIYADARSHINI2, VEERESH PRATAP1

1Department of Pharmaceutical Chemistry, Avanthi Institute of Pharmaceutical Sciences, Cherkupally, vizianagaram dist 531162, 2Department of Pharmaceutical Chemistry, College of Pharmaceutical Sciences, Acharya Nagarjuna University, Nagarjuna nagar, Guntur-522510 Andhra Pradesh.
Email: karakavalasapradeep@gmail.com

Received: 05 Aug 2014 Revised and Accepted: 04 Sep 2014


ABSTRACT

Objective: Quinoxaline derivatives were reported with wide range of biological activities. Hence it was planned to synthesize and screen for their anti inflammatory (in vivo) activity.

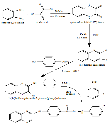
Methods: Orthophenylene diamine was reacted with oxalic acid to form quinoxaline 2, 3 dione. Quinoxaline-2, 3 (1H, 4H)-dione was chlorinated by using Phosphorousoxytrichloride (POCl3) in dimethyl formamide, to form 2, 3- dichloroquinoxaline. This dichloride compound was reacted with 4 amino acetophenone in DMF, refluxed for 5 hours to form 1-(4-(3-chloroquinoxalin-2-ylamino) phenyl) ethanone. Similarly 1-(4-(3-chloroquinoxalin-2-ylamino) phenyl) ethanone was reacted with corresponding aromatic aldehydes to form quinoxaline derived chalcone by Claisen Schmidt reaction. Characterization all the compounds was performed by IR, 1H NMR and Mass spectroscopic data and screened for anti- inflammatory activity by carrageenan- induced paw edema method.

Results: The anti inflammatory data suggested that compounds QCAC 2, 6, 8, 9, 10 and 12 showed significant activity and rest of the compounds exhibited moderate activity compared to the standard compound

Conclusion: The compounds bearing nitro, chloro and methoxy groups have shown prominent activity when compared to compounds without these groups.

Keywords: Quinoxaline, dimethylforamide (DMF), Phosphorousoxytrichloride (POCl3), anti inflammatory activity (in-vivo), diclofenac.


INTRODUCTION

Recently there has been a lot of interest in quinoxalines, nitrogen containing heterocyclic compounds because of their extensive biological activities. Qunioxaline is formed by fusing benzene ring with diazine to form quinoxaline. The synthesis and chemistry of quinoxalines have attracted considerable attention in the past ten years [1]. Some of them exhibited biological activities including anti-inflammatory[2], anti-bacterial[3], anti-tumor[4],anti-HIV[5],AMPA antagonist [6], anti-tubercular[7], and neuro pharmacological agent[8], 5-HT3 antagonism. They are also used in the agricultural field as fungicides, herbicides, and insecticides [12].

Also, quinoxaline moiety is present in the structure of various antibiotics such as echinomycin, levomycin and actinoleutin, which are known to inhibit the growth of gram positive bacteria and they are active against various transplantable tumor[13]. In addition, quinoxaline derivatives also found applications in dyes[14], efficient electron luminescent materials[15], organic semiconductors[16], chemically controllable switches[17], building blocks for the synthesis of anion receptors[18], cavitands[19], and dehydroannulenes[20]. They also serve as useful rigid subunits in macrocyclic receptors in molecular recognition. Hence in the light of extensive applications, it was planned to synthesize a new series of quinoxaline derivatives and screen for their anti- inflammatory activity.

MATERIALS AND METHODS

Orthophenylenediamine, phosphrousoxytrichloride, oxalic acid dimethylsulfoxide(DMSO), 4 amino acetophenone, dimethylformamide(DMF), hydrochloric acid, chloroform, hexane, ethanol were used for the synthesis of quinoxalines. The following experimental methods were used for the characterization of the synthesized compounds. Melting points of the synthesized compounds were determined in open capillary tubes and are uncorrected. The IR spectrum was recorded on ELICIO FTIR spectrometer using potassium bromide pellets. 1H-NMR spectra of the compounds in deutiriated dimethylsulfoxide was recorded on BRUKER Av 400 MHz spectrometer. Mass spectrum was recorded on GCMS QP 5000 shimadzu. Thin layer chromatography was performed using precoated aluminium plates coated with silica gel GF254 [E. Merck]. N-hexane: ethyl acetate was used as the eluent. The spots were visualized in the ultraviolet light chamber.

Scheme

Synthesis of quinoxaline derivatives

Synthesis of 1, 4-dihydro quinoxaline-2, 3-dione

A solution of oxalic acid dihydrate (0.238 mole, 30g) in H2O (100 ml) was heated to 100°C and 4.5 ml of concentrated hydrochloric acid was added, followed by O-phenylenediamine (0.204 mole, 22g) with stirring, temperature was maintained at 100 °C for 20 min. Completion of the reaction was confirmed by TLC. The mixture was cooled by addition of ice. The precipitate formed was washed with water and recrystalized from ethanol.

Synthesis of 2, 3 dichloro quinoxaline

A mixture of quinoxaline-2,3-dione (16.2 g, 0.1 mole), freshly distilled phosphorous oxy trichloride (POCl3, 60 mL) and N,N-Dimethyl formamide (DMF, 5 mL) was refluxed with stirring for 1.5 hrs. Completion of the reaction was confirmed by TLC. The cooled reaction mixture was slowly poured into ice-water with stirring and the resulting solid was filtered, washed with water, dried and recrystallized from a mixture of chloroform and n-Hexane.

Synthesis of 1-(4-(3-chloroquinoxalin-2-ylamino)phenyl) ethanone

4-Aminoacetophenone (8.2 g 0.01 mole) and 2, 3 dichloro quinoxaline were dissolved in N, N- Dimethylformamide (40 ml). The reaction mixture was refluxed for 5 hours, cooled and poured into crushed ice. Periodically, sodium carbonate solution (0.005, 0.53g in 10 ml water) was added to neutralize HCl evolved during the reaction. The progress of the reaction was monitored on TLC plate. After completion, the solid separated out was filtered, washed with water, dried and recrystallized from alcohol to give 1-(4-(3-Chloroquinoxalin-2-ylamino)phenyl)ethanone.

Synthesis of quinoxalines derived chalcones

Equimolar quantities of 1-(4-(3-Chloroquinoxalin-2-yl amino) phenyl) ethanone and substituted aldehydes were dissolved in alcoholic solution, and then solution of KOH or NaOH (5 ml of 40%) was added to the reaction mixture with constant stirring at room temperature. After 24 hrs the reaction mixture was neutralized with HCl. The product separated out was filtered, washed with water, dried and recrystallized from ethanol to give quinoxalines derived chalcones.

Characterization

Quinoxaline 2,3 (1H,4H) Dione (Q): % yield: 90%; Melting point: 360-362oc; Rf=0.76 (n-hexane: ethyl acetate) (7:3); IR (KBr) Vmax (cm-1): CH 3042.3001; 1HNMR (400 MHz,DMSO D6) (δppm): 11.8-12.0(s,2H,NH), 7.0-7.1(d,4H, aromatic, j=3.0) mass (m/z)=160(100%), 162(M+).

Dichloro Quinoxalines (QC): % yield: 70%; Melting point: 150-152oc Rf=0.34 (n-hexane: ethyl acetate)(7:3); IR (KBr) Vmax (cm-1): CH 2938; 1HNMR (400 MHz,DMSO D6) (δppm): 7.0-7.1(m,4H, aromatic, j=3.0) mass(m/z)=190(100%),198(M+).

1-(4-(3-Chloroquinoxalin-2-Ylamino)Phenyl)Ethanone (QCAC): % yield: 75%; Melting point: 294-296oc Rf=0.34 (n-hexane: ethyl acetate)(7:3); IR (KBr) Vmax (cm-1): 1594 (C=C),1165(C-NH), 1674(CH=CH); 1HNMR (400 MHz,DMSO D6)(δppm): 6.8(d,2H, CH=CH, j=3.0).

1-(4-(3-Chloroquinoxalin-2-Ylamino)Phenyl)-3-Phenylprop-2-En-1-One(1): % yield: 60%; Melting point: 294-296oc Rf=0.34 (n-hexane: ethyl acetate)(7:3); IR KBr cm-1: 1594 (C=C),1169(C-NH), 1673(CH=CH); 1HNMR (400 MHz,DMSO D6)(δppm):3.8(d,3H,CH3 J=4.0), 6.8(d,2H, CH=CH, j=3.0), 7.0-8.4(m,10H,aromatic), 9.8(s,1H,NH) mass (m/z)=375(100%), 385(M+).

1-(4-(3-Chloroquinoxalin-2-Ylamino)Phenyl)-3-(4-Methoxyphenyl)Prop-2-En-1-One(2):% yield: 50%;; Melting point: 284-286oc Rf=0.19(n-hexane: ethyl acetate)(8:2); IR (KBr) Vmax (cm-1): 1598 (C=C),1177(C-NH), 1670(CH=CH); 1HNMR (400 MHz,DMSO D6)(δppm):3.8(d,3H,CH3 J=4.0),6.7(d,2H,CH=CH,j=3.0), 7.2-8.4(m,12H,aromatic),9.8(s,1H,NH) mass(m/z)=175,254,415 (100%)(M+).

1-(4-(3-Chloroquinoxalin-2-Ylamino)Phenyl)-3-(4-Hydroxy-3-Methoxy Phenyl)Prop-2-En-1-One(3): % yield: 58%; Reaction time: 18 hours; Melting point: 274-276oc Rf=0.12 (n-hexane: ethyl acetate)(6:4); IR (KBr) Vmax (cm-1): 1603 (C=C), 1179 (C-NH), 1670(CH=CH), (OCH3) 2835; 1HNMR (400 MHz,DMSO D6)(δppm):3.8(d,3H, CH3 J=4.0), 6.7(d,2H, CH=CH, j=3.0), 7.2-8.4(m,12H,aromatic),9.8(s,1H,NH) mass (m/z)=431(100%)(M+).

1-(4-(3-Chloroquinoxalin-2-Ylamino)Phenyl)-3-(Furan-2yl)Prop-2-En-1-One(4): % yield: 56.9; m. p(0c):224-226; Rf Vale: 0.76(n-hexane: ethyl acetate); IR (KBr) Vmax (cm-1):1596.35(C=C), 3339.26(C-NH), 1667.16(CH=CH); 1HNMR (400Mz,DMSOd6­) (δppm):3.2-3.3(d,3H,­CH3)J =2.4,6.7-6.73(d,2H,CH=CH)J=2.6,7.1-8.3(m,9H,aromatic),9.9(s,1H,NH);mass (m/z):380(100%)1, 385,386.

1-(4-(3-Chloroquinoxalin-2-Ylamino)Phenyl)-3-(2- Nitro Phenyl)Prop-2-En-1-One(5): % yield: 52. m. p(0c):208-210OC; Rf Value: 0.97(n-hexane: ethyl acetate); IR (KBr) Vmax (cm-1): 1466.85(C=C),1177.54(C-NH),1618.59(CH=CH); 1HNMR (400Mz, DMSOd6) (δppm): 3.43.43 (s, 3H,CH3), 4.4-4.5(s,1H,NO2) 7.28.4(m,11H,aromatic). 9.8(s,1H,NH), 4-12.5(s, 1H,CH2).13.7 (s, 1H, CH2); mass m/z: 174.190,194(100%),430(M+1).

1-(4-(3-Chloroquinoxalin-2-Ylamino)Phenyl)-3-(4-Nitrophenyl)Prop-2-En-1-One(6): % yield: 52.7; m. p(0c):208-210OC; Rf Value: 0.97(n-hexane: ethyl acetate); IR (KBr) Vmax (cm-1):1466.85(C=C),1177.54 (C-NH),1618.59(CH=CH); 1HNMR (400Mz, DMSOd6) (δppm):3.4-3.43(s,3H,CH3),4.4-4.5(s,1H,NO2), 7.28.4 (m,11H, aromatic). 9.8(s,1H,NH),4-12.5(s,1H,CH2).13.7 (s,1H,CH2); mass m/z: 174.190,194(100%),430(M+1).

3-(2-Chlorophenyl)-1-(4-(3-Chloroquinoxalin-2-Ylamino)Phenyl)Prop-2-En-1-One(7): % yield: 53.7;m. p(0c):274-276; Rf Value: 0.114(n-hexane: ethyl acetate); IR (KBr) Vmax (cm-1): 1482.08(C=C), 1131.13(C-NH), 1621.19(CH=CH); 1HNMR (400MHz DMSO d6)(ð ppm): 3.8(singlet 3H,CH3),5.1(d,2H,CH=CH)J=3.6 7.21 8.3(m, 10H,aromatic),9.7(s,1H,C-NH),10.3-10.4(t,1H,CH2); mass (m/z):135,190,247,421(M+1).

3-(4-Chlorophenyl)-1-(4-(3-Chloroquinoxalin-2ylamino)Phenyl)Prop-2-En-1-One(8): % yield: 53.7; m. p(0c):274-276; Rf Value: 0.114(n-hexane: ethyl acetate); IR (KBr) Vmax (cm-1): 1482.08(C=C), 1131.13(C-NH), 1621.19(CH=CH); 1HNMR (400MHz DMSO d6)(ð ppm): 3.8(singlet 3H,CH3),5.1(d,2H,CH=CH)J=3.6,7.21-8.3(m,10H,aromatic),9.7(s,1H,C-NH),10.3-10.4(t,1H,CH2); mass(m/z):135,190,247,421(M+1).

1-(4-(3-Chloroquinoxalin-2-Ylamino)Phenyl)-3-(2-Hydroxyphenyl)Prop-2-En-1-One(9):% yield: 58.7; brown crystals; m. p(0c):198-200; Rf Value: 0.27(n-hexane: ethyl acetate); IR (KBr) Vmax (cm-1): 1457.85(C=C), 1177.56 (C-NH),1680.91(CH=CH); 1HNMR (400Mz DMSO d6) (δppm):2.9(S,2H,CH2),3.6(S,3H,CH3),6.8-6.9(d.2H,CH=CH)J=0.35,7.21-8.3(m,6H,aromatic),9.8(s,1H,NH),10.3-10.4(s,1H,OH)); Mass (m/z):280,376, 384(100%), 400(M+).

1-(4-(3-Chloroquinoxalin-2-Ylamino)Phenyl)-3-(4-Hydroxyphenyl)Prop-2-En-1-One(10): % yield: 57.7; m. p(0c):198-200OC; Rf Value: 0.27, (n-hexane: ethyl acetate); IR (KBr) Vmax (cm-1): 1457.85(C=C), 1177.56 (C-NH),1680.91(CH=CH); 1HNMR(400MHz DMSO d6 (δppm)=.2.9(S,2H,CH2),3.6(S,3H,CH3),6.8-6.9(d.2H,CH=CH)J=0.35,7.21-8.3(m,6H aromatic),9.8(s,1H,NH),10.3-10.4(s,1H,OH));mass (m/z)280,376,384(100%),400(M+). 

1-(4)-1-(4-(3-Chloroquinoxalin-2-Ylamino)Phenyl)-5-Phenylpenta-2,4-Dien-1-One(11): % yield: 53.7: m. p(0c):298-300;Rf Value: 0.75, (n-hexane: ethyl acetate);IR IR (KBr) Vmax (cm-1):1616.17(C=N),1180.57(C-NH),1616.17(CH=CH); 1HNMR (400MHzDMSO d6) (δppm)=3.4(S,3H,CH3), 5.6(dd,4H,CH=CH), J=4.07.1-8.4(m, a10H, aromatic), 9.3(s,1H,NH)MS (m/z):190, 222, 411(100%)(M+).

1-(4-(3-Chloroquinoxalin-2-Ylamino)Phenyl) (4(Dimethyl amino) Phenyl) Prop-2-En-1-One (12): % yield: 45.4; m. p(0c): 300-302; Rf Value: 0.54; IR (KBr) Vmax (cm-1):1595. 45(C=C),1174.74(CNH), 1658.09(CH=CH); 1HNMR (400MHz, DMSO,d6) (δppm): 3.51,3.8(doublet,6H,CH3)J=3.4,6.(d,2H,CH=CH)J =2.4,7.2-8.7(m,12H,aromatic),9.2(s,1H,NH); MS (m/z): 428 (100%) (M+).

Evaluation of acute oral toxicity

The protocol of the work was approved by Institutional Animal Ethics Committee (IAEC) (1725/GO/a/13/CPCSEA). The acute oral toxicity of the synthesized compounds was performed according to OECD guidelines 423. In this method the toxicity of the synthesized compounds was tested using a step wise procedure, each step using 3 mice of a single sex. The mice were fasted to dosing (food but not water should be with held for 3-4 hrs). Following the period of fasting the animals should be weighed and the synthesized compounds were administered orally at a dose of 2000 mg/kg body weight. Animals were observed individually after dosing at least once for the duration of first 30 min; sporadically during the first 24 hrs with special attention given during the first four hours and daily thereafter, for a sum of 14 days

Anti inflammatory activity (in vivo)

Carrageenan induced rat hind paw edema method [21].

The initial paw volume of each rat was noted by mercury displacement method by plethysmometer. Animals in group-1 were administered with aqueous solution of DMSO (1 ml), the group-2 received diclofenac at a dose 25mg/kg body weight. 3-9 groups received the test samples after the drug treatment. 1% w/w Carrageenan solution (0.1 ml/ paw) was injected subcutaneously into planter surface of the left hind paw of the rat. The paw volume of rats in control, standard and test groups was measured with the help of the plethysmometer during the interval of 30, 60,120,180,240 minutes after Carrageenan administration.

Percentage protection (or inhibition) was calculated by using the formula

  1. % protection= (1-Vt/Vc) * 100

Vt = increase the paw volume in the test animal

Vc = increase the paw volume in the control group

Statistical analysis

The results were expressed as MEAN±SEM and were analyzed

using one way analysis of variance (ANOVA) followed by dunnett's t-test. The probability of 0.05 or less was considered statistically significant

RESULTS AND DISCUSSION

Acute toxicity studies

The synthesized compounds were administered at a dose of 2000mg/kg in 1% DMSO and observed 14 days for the mortality due to acute toxicity. Careful observation was made at least twice a day for the effect on CNS, ANS, motor activity, salivation, skin coloration and other general signs of toxicity were also observed and recorded. Since no sign of toxicity observed at 2000mg/kg to the group animals, the LD50 value of the synthesized compounds expected 2000mg/kg and represented as class 5 (2000mg/kg < LD50<2500mg/kg).

From the toxicity studies the data revealed that all synthesized compounds proved to be the non toxic at the tested dose levels and well tolerated by the experimental animals as their LD50 wt of values 2000mg/kg between therefore, the 1/10th of the above dose was selected and fixed for the further pharmacological evaluation.

The anti-inflammatory activity (in vivo) of the compounds (QCAC 1-12) was evaluated by Carrageenan induced rat paw edema method. The compounds were tested at 200mg/kg dose and the results were compared with that of diclofenac as reference drug. The results were summarized in the table-1; suggested that the anti- inflammatory activity of the compounds was in the range of 0.66 to 99.0 % inhibition, where as the standard drug diclofenac showed activity of 38.59% inhibition after four hours.

Among the compounds, screened for anti-inflammatory activity, compounds QCAC 2,6, 8,9,10 and 12 showed maximum anti- inflammatory activity 20.5 to 99% inhibition where as rest of the compounds showed moderate activity 0.66 to 15.3 % inhibition. The inflammation is due to the release of histamine, serotonin and prostaglandin. Therefore the anti- inflammatory activity of the synthesized compounds may be due to the inhibition of histamine, serotonin or prostaglandin synthesis.

Table 1: Anti Inflammatory values for synthesized compounds (In-Vivo)

S. No.

Experimental Groups

Mean ±SEM (Paw Volume in ml) followed by %  inhibition

0 hr

1 hr

2 hr

3 hr

4 hr

01

Control

1.48±0.03

1.82±0.04

2.19±0.12

2.28±0.32

2.26±0.26

02

Standard

1.37±0.14

1.47±0.16

1.51±0.13

1.47±0.13

1.40±0.16

 

(Diclofenac Sodium)

7.43

19.23

31.05

35.24

38.59

03

QCAC-1

1.18±0.08

1.43±0.14

1.50±0.12

1.39±0.10

1.29±0.10

 

 

(13.86*)

(2.72)

 (0.66)

(5.04)

(7.08)

04

QCAC-2

1.23±0.13

1.42±0.16

1.82±0.11

1.28±0.24

1.27±0.14

 

 

(10.21*)

(3.40)

(20.05*)

(12.09*)

(9.28)

05

QCAC-3

1.32±0.10

1.49±0.07

1.68±0.11

1.69±0.18

1.58±0.09

 

 

(3.64)

(1.03)

 (11.02)

(14.96*)

(12.85*)

06

QCAC-4

1.18±0.09

1.43±0.11

1.54±0.09

1.52±0.10

1.49±0.06

 

 

(13.86*)

(2.72)

 (1.68)

(3.40)

(6.42)

07

QCAC-5

1.16±0.08

1.32±0.09

1.34±0.1

1.26±0.07

1.24±0.06

 

 

(15.03*)

(10.20*)

 (11.25)

(14.28*)

(11.40)

08

QCAC-6

1.30±0.013

1.46±0.11

1.69±0.10

1.74±0.09

1.73±0.04

 

 

(5.10*)

(0.68)

 (11.92*)

(18.36*)

(23.57*)

09

QCAC-7

1.21±0.14

1.35±0.12

1.62±0.11

1.43±0.20

1.39±0.11

 

 

(11.67*)

(8.16)

 (7.28)

(2.72)

(0.71)

10

QC -8

1.40±0.14

1.83±0.11

1.51±0.12

1.61±0.12

1.47±0.10

 

 

(2.18)

(24.48*)

 (99.0*)

(9.52)

(5.00)

11

QCAC-9

1.32±0.10

1.57±0.19

1.84±0.13

1.86±0.6

1.81±0.08

 

 

(3.64)

(6.80)

 (21.85*)

(26.53*)

(29.28*)

12

QCAC-10

1.27±0.14

1.59±0.22

1.73±0.21

1.78±0.22

1.61±0.16

 

 

(7.29*)

(8.163)

 (14.56*)

(21.08*)

(15.07*)

13

QCAC-11

1.17±0.09

1.35±0.07

1.61±0.13

1.42±0.11

1.25±0.06

 

 

(14.05*)

(8.16)

(6.60)

(3.40)

(10.71)

14

QCAC-12

1.27±0.14

1.75±0.22

1.73±0.21

1.78±.0.22

1.56±0.1

 

 

(7.29*)

(19.04*)

(14.5*)

(21.08*)

(11.04)

Note: % inhibition was denoted in the parenthesis

CONCLUSION

The compounds bearing nitro, chloro, hydroxy and methoxy groups have shown prominent activity when compared to compounds without these groups. It was also confirmed that the groups in para position showed better activity when compared to the groups in ortho position. Further investigation in this area may help to bring more potent drugs.

ACKNOWLEDGEMENT

The authors are thankful to Prof. A. Prameela Rani, Principal, University College of Pharmaceutical Sciences, Acharya Nagarjuna University, Guntur for providing the necessary chemicals for our work. I am also thankful to my classmates for their co-operation in my work.

CONFLICT OF INTERESTS

Declared None

REFERENCES

  1. Katritzky AR, Rees CW. One-pot three-component synthesis of quinoxaline and phenazine ring systems using Fischer carbine complexes. Comprehensive Heterocyclic Chemistry, Pergamon Oxford Part 2B 1984;3:157-65.

  2. Kumar A, Verma A, Chawla G. Vaishali. Synthesis, Anti-inflammatory and antimicrobial activities of new hydrazone and quinoxaline derivatives. Int J Chem Tech Res 2009;1(4):1177-81.

  3. Vyas DA, Chauhan NA, Parikh AR. Synthesis and anti microbial activity of quinoxalines based thialidiones and azetidnones. Ind J Chem 2007;46(B):1699-02.
  4. Fedora G, Francesca A, osvaldo DG, Antonell B, Antonia G, Nouri N. Synthesis and anti tumor activities of series of novel quinoxalines hydrazides. Bioorg Med Chem 2007;15:288-94.
  5. Kleim J, Bender R, Billhard U, Meichsner C, Riess Rosner M, Winkler I, Paessens A. Activity of a novel quinoxaline derivative against human immunodeficiency virus type 1 reverse transcriptase and viral replication. Antimicrob Agents Chemother 1993;37(8):1659-64.
  6. Catarzi D, Colotta V, Varano F, Cecchi L, Filacchioni G, Galli A, Costagli C, et al. 7-Chloro-4,5-dihydro-8-(1,2,4-triazol-4-yl)-4-oxo-1,2,4-triazolo[1,5-a]quinoxaline-2-carboxylates as novel highly selective ampa receptor antagonists. J Med Chem 2000;43:3824-6.
  7. Rao GK, Kotnal RB, Pai PNS. In-vitro screening of quinoxaline-2-one derivatives for antitubercular activity. J Chem Pharm Res 2010;2(3):368-79.
  8. Prasad YR, Ravi Kumar P, Asha Deepthi Ch, Venkata Ramana M. Asian J Chem 2007;19:4799.
  9. Olayiwola G, Obafemi CA, Taiwo FO. Synthesis and neuropharmacological activity of some quinoxalinone derivatives. Afr J Biotechnol 2007;6(6):777-86.
  10. Vicente E, Lima LM, Bongard E, Charnaud S, Villar R, Solano B, et al. Synthesis and structure-activity relationship of 3-phenylquinoxaline 1,4-di-N-oxide derivatives as anti-malarial agents. Eur J Med Chem 2008;43:1903-10.
  11. Rangisetty JB, Gupta CN, Prasad AL, Srinavas P, Sridhar N, Perimoo P, et al. A, Synthesis of new arylaminoquinoxalines and their antimalarial activity in mice. J Pharm Pharmacol 2001;53:1409–13.
  12. Sakata G, Makino K, Karasawa Y. 2-(4-Bromophenyl)-3-phenylbenzo[f]quinoline. Heterocycl 1988;27:2481.
  13. Heravi M, Bakhtiari K, Tehrani M, Javadi H, Oskooie H. Application of sulfonic acid functionalized nanoporous silica (sba-pr-so3h) for one-pot synthesis of quinoxaline derivatives a. Arkivoc 2006;3(1):89-95.
  14. Kumar A, Kumar S, Saxena A De, Mozumdar S. Synthesis of quinoxalines in the presence of heteropoly acids Catal. Commun 2008;12:778-84.
  15. Thomas KRJ, Velusamy M, Lin JT, Chuen CH, Tao YT. Potassium hydrogen sulfate: an efficient catalyst in organic reactions. Chem Mater 2005;17:1860-9.
  16. Dailey S, Feast W, Peace R J, Sage IC, Till S, Wood E L. An efficient synthesis of quinoxalines catalyzed by monoammonium salt of 12-tungstophosphoric acid. J Mater Chem 2001;11:2238-51.
  17. Crossley MJ, Johnston LA. Hexagonal columnar porphyrin assembly by unique trimeric complexation of a porphyrin dimer with π−π stacking:   remarkable thermal behavior in a solid. Chem Commun 2002;11:1122-31.
  18. Kazunobu T, Ryusuke O, Tomohiro. Thiamine hydrochloride: an efficient catalyst for one-pot synthesis of quinoxaline derivatives at ambient temperature. M Chem Commun 2002;21:212-9.
  19. Sessler J, Maeda L, Mizuno H, Lynch T, Furuta VM. Quinoxaline-bridged porphyrinoids. H J Am Chem Soc 2002;124:134-74.
  20. Sascha O, Rudiger F, Synlett. Use of modern technique for synthesis of quinoxaline derivatives as potential anti-virus compounds. Der Pharm Chem 2004;15:109-17.
  21. kulkarni sk. hand book of experimental pharmacology 7thed. new Delhi. Vallabh prakashan; 2005. p. 128-31.