Department of Pharmaceutical Sciences, Guru Ghasidas Vishwavidyalaya (A Central University), Koni, Bilaspur, Chhattisgarh, 495009, India.
Email: drdilip71@gmail.com
Received: 08 Aug 2014 Revised and Accepted: 10 Sep 2014
ABSTRACT
India has a great wealth of various naturally occurring herbal drugs which have great potential pharmacological and physiological activities. Since ancient times, several diseases have been treated by the administration of plant parts based on traditional and folk uses. Clerodendrum infortunatum Linn is one of them. Considerable utilisation and progress have been achieved regarding its biological activities. The whole parts of the plant contain different medicinally active substances which were variously used in Ayurveda, Unani and Homeopathy system of medicines. Its root, leaf and stem extract are used in microbial infection. Leaf extract is used as anthelmintic, analgesic, anticonvulsant, antidiabetic agent and also to increase haemoglobin level in the blood. Clerodolone, clerodone, clerodol are different isolated compounds obtained from this plant. A sterol, now designated as clerosterol obtained from the leaves and roots of C. infortunatum is used as an antitumor agent. This communication explains the evidence-based information regarding the different pharmacological activities with a correlation of chemical constituents available with this plant so that it may serve as a reference for further studies.
Keywords: C. infortunatum Linn, Morphology, Phytochemical aspects, Pharmacological activities.
INTRODUCTION
In the present study, C. infortunatum Linn. (Family-Verbenaceae, Bhat in Hindi, Ghentu in Bengali, Bhania in Oriya) is selected to assess its ethno botanical importance due to randomly use as traditional medicine to cure common ailments such as in the treatment of bronchitis, asthma, fever, diseases of the blood, inflammation[1], burning sensation, tuberculosis, hepatoprotective [2]. And antiepileptic in Indian folk medicine [3, 4]. Traditionally, the plant leaves extract is given orally in fever and bowel troubles among the Kuki and Rongmai Naga tribes of North-East India. Also fresh leaf-juice is introduced in the rectum for removal of ascarides. Leaves and flowers are used to cure scorpion sting. Rabha, Rajbanshi, Polia and Lepcha tribes of North Bengal use fresh root-bark of bhant to cure diarrhoea. Kachari, Hmar and Riang tribes of Barak Valley and North- Cachar hills use leaf extract in stomach pain and in diabetes [5]. The root paste is also used as a bandage in swelling [6]. Fresh juice of the leaves has been used as vermifuge and in the treatment of malaria [7, 8].

Fig. 1: Plant of C. Infortunatum Linn.
Morphology
C.infortunatum Linn. (Family: Verbanaceae, Kingdom: Plantae, Genus: Clerodendron) known as Bhat in Hindi, Ghentu in Bengali, Bhania in Oriya, is a terrestrial shrub occurring throughout the plains of India. Having square, blackish stem and simple, opposite, decussate, petiolate, exstipulate, coriacious, hairy leaves with a disagreeable odour [9]. The shrub is of 2-4 feet in height [10]. Flowers are bluish-purple often white in pyramid shaped terminal panicles. The plant is slightly woody shrub in nature with blunt quadrangular sterns and branches, leaves are usually three at a node, sometimes opposite oblong or elliptic, serrate, flowers are blue, many in long cylindrical thyrsus and the fruits are four lobed purple durpe, somewhat succulent with one pyrene in each lobe [11]. The microscopic characters of the root involve stratified Cork, phelloderm, stone cell layer, cambium, large lignified vessels, xylem fibre etc [12].

Fig. 2: Fruits of C. infortunatum Linn.
Phytochemical Aspects
The leaves of the plant were reported to contain saponin, alkyl sterols, some enzymes [14], and 2,-(3, 4-dehydroxyphenyl) ethanol-1-O-α-2 rhamnopyranosyl (1→3)-β-D-(4-O-caffeoyl) glycolpyr-anoside (acetoside) [13, 14]. It was also found that the leaves contain a fixed oil which consists of glycerides of lenoleic, oleic, stearic and lignoceric acid [15].
The chemical compound isolated from the roots are Luperol, β-sitosterol, the sterol known as Clerosterol identified as 5, 25- sigmastadien_3β-ol, Clerodolone as lup_20 (30)-en- 3β-diol-12-one and clerodone as 3β-hydroxylupan- 12-one and a steroidal glycoside (Jorn. Ind. chem. society.1967, 44, 549). Abbaszadeh et al. reported isolation of three compounds identified as clerodin, 15-methoxy-14, 15-dihydroclerodin and 15-hydroxy-14, 15-dihydroclerodin from this plant Besides the above major chemicals found in the Clerodendrum genus the other constituents are carbohydrates, phenolic, flavonoids, terpenoids, sugars and steroids [16].
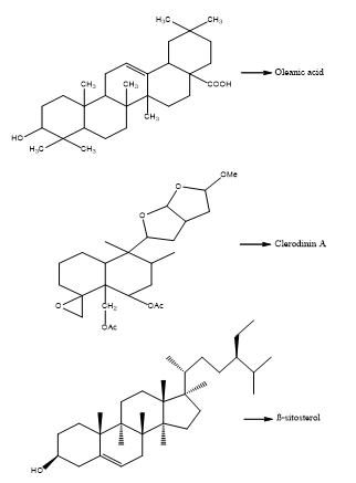
Fig. 3: Chemical structures of some important constituents of C. infortunatum Linn. Recent pharmacological studies
Antibacterial and antifungal activity
Chloroform and ethanolic extract of root, leaf and stem of C. infortunatum Linn. shows significant zone of inhibition against the bacterial strains of Bacillus megaterium, Salmonella typhi, Klebsiella pneumoniae and to fungi against Aspergillus niger and Candida albicans. This study showed that leaf possesses quite potent activity than root and stem extract [17].
Anthelmintic activity
Alcoholic and aqueous extract of the dried powdered leaves of Clerodendrum infortunatum Linn. was investigated for their anthelmintic activity against Pheretima posthuma (collected from moist soil, 3-5 cm in length and width 0.1-0.2 cm) in varying concentrations for determination of time of paralysis and time of death of the worms, taking Piperazine citrate as standard and distilled water as control. It was found that the alcoholic extract cause paralysis as well as death of worms in a less time as compared to piperazine citrate especially at higher concentration in case of Pheretima posthuma. While aqueous extract also showed similar activity [18,19,20].
Analgesic activity
Saponin isolated from the fresh leaves of C. infortunatum Linn. Exhibits protection from writhing induced by administration of acetic acid in adult Swiss albino mice taking acetylsalicylic acid, Paracetamol and morphine sulphate as reference standard. The jelly like mass (SN) obtained from the colourless solution of the saponin after mixing with petroleum ether was administered at different concentrations. It was observed that analgesia produced in a dose dependent manner.
In another study, by using the hot plate method the animals were administered the different dose of the SN in order to avoid physical injury Pentazocine and Aspirin were used as reference. The plant extract showed good analgesic activity at lower concentration and it also potentiated the action of pentazocine and aspirin [3].
Anticonvulsant activity
A jelly like mass containing Saponin isolated from the fresh leaves of C. infortunatum Linn. Showed significant anticonvulsant activity against leptazol induced seizures. The plant product was administered in varying doses ranging from 20 to 100 mg/kg in mice. The onset and incidence of convulsion was found to be decreased in a dose dependent manner [3].
Wound healing activity
The Chloroform and ethanolic extracts of Clerodendrum infortunatum was evaluated for its wound-healing potency in experimental rats. For topical application, 4% (w/w) ointment cream bases of petroleum ether, chloroform and ethanolic extracts were prepared and investigated for its wound healing activity. Significant wound healing was observed in animals treated with chloroform and ethanol extracts, similar to the reference standard drug Nitrofurazone. The presence of bioactive constituents such as polyphenols, flavonoids are thought to promote the wound-healing process due to their antioxidant and antimicrobial activities [19, 20].
Antioxidant activity
Methanolic extract of the dried powdered leaves of C. infortunatum Linn. (MECI) was examined for their In vitro antioxidant activity at different concentrations and by different methods. These are DPPH radical scavenging activity, nitric oxide scavenging activity, superoxide anion scavenging assay, hydroxy radical scavenging activity. And it shows significant increase amount of % inhibition in oxidation with increase in MECI concentrations [20, 21].
Antihyperglycemic activity
MECI shows significant antihyperglycemic activity in streptozotocin induced hyperglycaemia in adult male Wister albino rats. During treatment schedule the fasting blood glucose level was measured on the 0, 5, 10, and 15th day using Accucheck (a one-touch glucometer) and the body weights of rats from each group were also measured which shows significant reduction in blood glucose level [22, 23].
Anti-inflammatory activity
Methanolic extract of leaves of C. infortunatum Linn. was studied against carragenan induced acute inflammation in wistar strain rats. In this study the anti-inflammatory activity of the extract was measured with phlogistic agents (viz. Histamine, Dextran). The extract showed significant inhibition of inflammation compared to the reference drug phenylbutazone [24].
Anticancer activity
Oleanolic acid and clerodinin A (Fig: 3) found after HPLC analysis of the MECI shows anticancer activity against Ehrlich’s ascites carcinoma (EAC) bearing Swiss albino mice. Treatment with MECI causes the significant decrease in the tumor cell volume and increase in the life span. The median survival time (MST) of EAC control group was found as 19.42 ± 0.91 d, whereas the MST was increased to 23.44 ± 2.69 d and 27.57 ± 2.57 d for the groups treated with MECI. The anticancer effects of the plant extract were thought to be due to the suppression of lipid peroxidation and increase in the content of the enzymatic defence system [25, 26].
Hepatoprotective activity
Sannigrahi et al. showed that MECI have hepatoprotective potential against CCl4 induced hepatotoxicity in adult male Wister rats taking silymarin as reference drug. The value of serum biochemical parameters like aspartate amiotransferase (GOT), alanine amiotransferase (GTP), alkaline phosphatise (ALP), total bilirubin and total protein were determined as well as the malondialdehyde (MDA), glutathione content (GSH), catalase activity (CAT) was measured to evaluate the study. All the biochemical parameters levels were elevated with administration of CCl4 but after administration of MECI there is significantly reduction in elevated serum levels of AST (SGOT), ALT (SGPT), ALP and total bilirubin level. The level of MDA, GSH, and CAT was also normalized. The hepatoprotective activity of MECI was further supported by histological assessment which shows normalisation of architecture. All this activity was thought to be due to the presence of flavonoids, terpenoids and saponins present in the extract [2].
Other activities
CONCLUSION
In this review, different activities of C. infortunatum Linn. Were re-evaluated for their respective pharmacological activities with current research articles. Because it is traditionally used from past decades by different tribes of North-East India, North Bengal etc. to treat various common disorders and current traumas like scorpion sting, snake bite etc. Such activities can be established by experimental procedures. Human clinical trials may be performed on the existing pharmacological activities of this plant to establish this plant as medicinal drug. Chemical constituents obtained from different parts and their medicinal uses have been established, but many bioactive constituents and pure compounds have so far been neglected by phytochemists and pharmacologists and a large amount of work has been done only on extracts and not on the isolated fractions. With this point of view the present review article aims at focusing the attention of research scholars on the unexplored and untouched areas related with Clerodendrum infortunatum Linn.
CONFLICT OF INTERESTS
Declared None
REFERENCES