Int J Pharm Pharm Sci, Vol 6, Issue 10, ??-??Original Article

SYNTHESIS AND CHARACTERIZATION OF NEW IMINE AND PTHALIC ACID DERIVATIVES OF URSOLIC ACID

SHRIKANT BABAR*, KIRTI LADDHA

Medicinal Natural Product Research Laboratory, Department Of Pharmaceutical Sciences and Technology, Institute of Chemical Technology, Matunga, Mumbai, India 400019
Email: shrikantbbabar@yahoo.com

Received: 08 Aug 2014 Revised and Accepted: 10 Sep 2014


ABSTRACT

Objective: The current work envisages synthesis of novel ursolic acid derivatives and characterization by spectral methods that can be possible candidates for anti-inflammatory and anticancer activity.

Methods: A series of imine and phthalic acid derivatives of ursolic acid (3β-hydroxyurs-12-en-28-oic acid), have been synthesized. 3-hydroxyimino-urs-12-en-28-olic acid was treated with alkyl halide in the presence of sodium hydride in ethanol to yield 3-alkyloxyimino-urs-12-en-28-oic acid and further converted to its ester derivatives. Ursolic acid was reacted with phthalic anhydride in pyridine to get mono and di-substituted ester derivatives.

Results: Novel substituted imino and pthalic derivatives were synthesized. The compounds synthesized were characterized by MS, IR, 1H and [13]C-NMR spectroscopy.

Conclusion: The derivatives prepared may facilitate designing of similar newer analogues which may be useful for generating possible candidates from ursolic acid for anti-imflammatory and anti-cancer potential. Ursolic acid oximes and its anhydrides exhibit valuable biological properties and are important starting materials for further transformations.

Keywords: Ursolic acid, Alkyl halide, Nucleophilic substitution, Anti-cancer.


INTRODUCTION

Natural triterpenoids isolated from various medicinal plants now seem to have a prominent role in the chemo-prevention and therapy of a variety of ailments and some have already entered clinical trials. One such important and highly investigated pentacyclic triterpenoid, ursolic acid has attracted great attention of late for its potential as a chemopreventive and chemotherapeutic agent in various types of cancer [1]. Ursolic acid sometimes referred as urson, malol, or 3-β-hydroxy-urs-12-ene-28-oic-acid, is a pentacyclic triterpenoid present in Nerium indicum leaf, a common indigenous plant of India. Ursolic acid is present in 1.7- 2.0% concentration in leaf. A simple method to isolate this phytoconstituent has been devised by authors in previous communication [2]. Derivatives of ursolic acid can also be used in cosmetics because triterpenoids transport biologically active compounds deep into tissue and make them more potent [3].

Ursolic acid is known to possess a host of biological activities besides also used in cosmetic industry. Ursolic acid exhibits diverse pharmacological activities, amongst which the anticancer and anti-inflammatory activity has been most exhaustively studied. It inhibits NF-κB activation in both human intestinal epithelial cells and macrophages, and attenuates experimental murine colitis suggesting a potential therapeutic agent for inflammatory bowel disease [4]. Ursolic acid is reported to cause DNA fragmentation, activate caspases and down regulates expression of Bcl-2 in hepatocellular cancer cells [5]. It also induced differentiation of U937 cells by activating the PI3K/Akt pathway, and could be a potential candidate as a differentiation-inducing agent for the therapy of leukemia [6].

Considering the immense anti-cancer potential of ursolic acid an extensive study has been done for synthesis of derivatives of this molecule. A regioselective approach using Huisgen 1,3-dipolar cycloaddition reaction of ursolic acid-alkyne derivative with various aromatic azides was employed to target an array of triazolyl derivatives against MCF-7, HCT-116, FR-2and THP-1 human epithelial cell line [7]. Chemical modification of this scaffold by an isopropyl ester moiety at C-17-COOH and a succinyl moiety at C-3-OH showed potent inhibitory effect on growth of NTUB1 cells suggesting that the presentation of G1 phase arrest and apoptosis mediated through increased amount of ROS in cells [8]. An α,β unsaturated ketone in conjugation with a heterocyclic ring at the ring 3-OH has improved antiproliferative activities against AsPC-1 pancreatic cancer cells by arresting cell cycle in G1 phase and inducing apoptosis with upregulation of p53, p21waf1 and NOXA protein levels [9]. Structural activity relationship (SAR) reveals the C-3, C-28 and C-11 positions of ursolic acid important with respect to the cytotoxic potential. Introduction of an amino group increases the cytotoxicity greatly while 3β-amino increased the potency by several manifold than the parent ursolic acid [10]. The derivatives with a substituted acetyl group at C3 hydroxyl group show better activities than those with an unsubstituted hydroxyl group against Hela cell line [11].

3-hydroxyiminours-12-en-28-oic acid (A) and 3-[[2-(hydroxyl carbonyl) benzoyl] oxy] urs-12-en-28-oic acid (D) has been reported as key intermediates for the synthesis of different variety of ursolic acid derivatives. In view of the reported SAR considerations the currenty work envisages partial synthesis of imine and phthalic anhydride derivatives of ursolic acid. The derivatives prepared may act as new potential agents for the anti-cancer and anti-inflammatory activity.

MATERIALS AND METHODS

All reagents used were of analytical grade and purchased from S. D. Fine Chemicals, Mumbai. Isolation of ursolic acid was done by extracting leaves of N. Indicum with methanol and the extract was basified to separate the triterpinoid, followed by charcoal treatment and subsequent acidification method published previously by the authors. The course of reaction and purity of product was monitored by TLC on Merck 60 F254 silica plates using the mobile phase of ethyl acetate: ether (2:8) and observation under UV light (254 nm). IR spectrum was recorded on Perkin Elmer Spectrum10 Mass spectrum of compounds was recorded on Micromass Q-TOF MS mass spectrometer. All 1H NMR and [13]C spectras was recorded on JOEL 300 MHz and 75 MHz instrument respectively, with an internal standard of tetramethylsilane (TMS).

Chemical synthesis

The reaction scheme for substituted derivatives of 3-hydroxyimino-urs-12-en-28-oic acid (Table 1) has been summarized in Scheme-I. The reaction scheme for the substituted derivatives of 3-[[2-(hydroxycarbonyl) benzoyl] oxy] urs-12-en-28-oic acid (Table 2) has been summarized in Scheme-II.

General method for synthesis of 3-alkyloxyimino-urs-12-en-28-oic acid (B) 1-5 compounds (Table 1)

3-hydroxyiminours-12-en-28-oic acid (A) (200 mg, 0.43 mmol) was added in (5 ml) tetrahydrofuran (THF) at 0 - 5oC. The solution was cooled and to it sodium hydride (NaH) (15.48 mg, 0.64 M) was added and stirred for 0.5 hr. Then alkyl substrate was then added to the reaction. The reaction was monitored by TLC to check its completion. The reaction was quenched with water and extracted with ethyl acetate (2 × 20 ml). The product was purified by column chromatography using pet-ether: ethyl acetate (8:2) as eluent and gave white color solid (B) with the good yield.

General method for synthesis 3-alkyloxyiminours-12-en-28-oic acid alkyl ester (C) compounds 6-10 (Table 1)

To a stirred solution of 3-alkyloxyiminours-12-en-28-oic acid (B) (100 mg, 0.20 mmol), potassium carbonate (33.17 mg, 0.24 mmol), 5 ml ethanol was added and refluxed at 65-67°C for 8 hr. Thereafter alkyl substrate was added dropwise, and the reaction was stirred till complete. The progress of the reaction was monitored by TLC. After completion, the reaction mixture was concentrated to remove ethanol and was quenched with water. The product was extracted with ethyl actate (1 × 10 ml) and washed with brine water, dried over sodium sulphate and concentrated. The product was purified by silica gel column chromatography using pet-ether: ethyl acetate (70:30) to give colorless solid product (C).

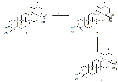
Scheme I: Synthesis of 3-alkyloxyimino-urs-12-en-28-oic acid (B) and 3-alkyloxyiminours-12-en-28-oic acid alkyl ester (C) [(a) THF, NaH, alkyl substrate 0-5°C; (b) ethanol, K2CO3, alkyl substrate 65-67°C].

Table 1: Substituted imino derivatives of 3-alkyloxyimino-urs-12-en-28-oic acid (B) and 3-alkyloxyiminours-12-en-28-oic acid alkyl ester (C).

S.

No.

Alkyl substrate R1X/R2X R1 R2 Alkyl substrate (mg/mmol) Derivatives

B [1-5]

C [6-10]

Reaction time
1 CH3 H 109.86/ 0.77 3-methoxyiminours-12-en-28-oic acid 20
2 H 78.03/ 0.64 3-allyloxyiminours-12-en-28-oic acid 2 15
3 H 132/ 0.77 3-benzyloxyiminours-12-en-28-oic acid 17
4 H 143.62/ 0.86 3-[(2-ethoxy-2-oxoethoxy)imino]-urs-12-en-28-oic acid 4 10
5 H 171.17/ 0.86 3-[(2-oxo-2-phenylethoxy)imino]-urs-12-en-28-oic acid 5 28
6 CH3 CH3 26.4/ 0.21 3-Methoxyiminours-12-en-28-oic acid methyl ester 18
7 36.29/ 0.30 3-allyloxyiminours-12-en-28-oic acid allyl ester 15
8 55.41/ 0.32 3-benzyloxyiminours-12-en-28-oic acid benzyl ester 28
9 45.07/ 0.26 3-((2-ethoxy-2-oxoethoxy)imino)-urs-12-en-28-oic acid (2-ethoxy-2-oxoethyl) ester 20
10 67.00/ 0.34 3-((2-oxo-2-phenylethoxy)imino)-urs-12-en-28-oic acid (2-oxo-2-phenylethyl) ester 32

Table 2: Pthalic acid derivatives of 3-[[2-(alkyloxycarbonyl)benzoyl]oxy]urs-12-en-28-oic acid (E) and 3-[[2-(alkyloxycarbonyl)benzoyl]oxy]urs-12-en-28-oic acid alkyl ester (F)

S.

No.

Alkyl substrate R1X/R2X R1 R2 Alkyl substrate mg/mmol Derivatives

E [11-15]

F [16-20]

Reaction time
11 CH3 H 26.49/ 0.21 3-[[2-(methoxycarbonyl)benzoyl]oxy]urs-12-en-28-oic acid 20
12 H 36.29/ 0.30 3-[[2-[(allyloxy)carbonyl]benzoyl]oxy]urs-12-en-28-oic acid 17
13 H 55.41/ 0.32 3-[[2-[(benzyloxy)carbonyl]benzoyl]oxy]urs-12-en-28-oic acid 25
14 H 45.07/ 0.26 3-[[2-[(2-ethoxy-2-oxoethoxy)carbonyl]benzoyl]oxy]urs-12-en-28-oic acid 15
15 H 67.00/ 0.34 3-[[2-[(2-oxo-2-phenylethoxy)carbonyl]benzoyl]oxy]urs-12-en-28-oic acid 28
16 CH3 CH3 14.26/ 0.70 3-[[2-(methoxycarbonyl) benzoyl]oxy]urs-12-en-28-oic acid methyl ester 22
17 27.91/ 0.23 3-((2-((allyloxy)carbonyl) benzoyl)oxy)urs-12-en-28-oic acid allyl ester 25
18 49.22/ 0.28 3-[[2[(benzyloxy)carbonyl] benzoyl]oxy]urs-12-en-28-oic acid benzyl ester 27
19 60.03/ 0.36 3-[[2-[(2-ethoxy-2-oxoethoxy)carbonyl]benzoyl]oxy]urs-12-en-28-oic acid [2-ethoxy-2-oxoethyl] ester 20
20 77.44/ 0.38 3-[(2-oxo-2-phenylethoxy) carbonyl]urs-12-en-28-oic acid-[2-oxo-2-phenylethyl] ester 30

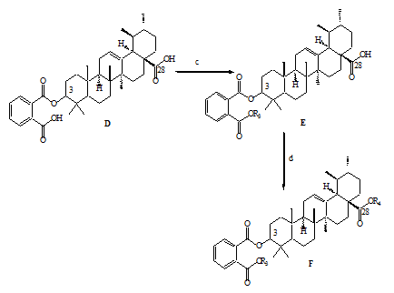
Scheme II: Synthesis of 3-[[2-(alkyloxycarbonyl)benzoyl] oxy]urs-12-en-28-oic acid (E) and 3-[[2-(alkyloxycarbonyl) benzoyl]oxy]urs-12-en-28-oic acid alkyl ester (F) [(c) ethanol, K2CO3, alkyl substrate 55-600C; (d) ethanol, K2CO3, alkyl substrate 65 -670C].

General method for synthesis of 3-[[2-(alkyloxycarbonyl) benzoyl] oxy]-urs-12-en-28-oic acid (E) compounds 11-15 (Table 2)

To a solution of 3-[[2-(hydroxycarbonyl) benzoyl] oxy] urs-12-en-28-oic acid (D) (200 mg, 0.33 mmol) and potassium carbonate (31.99 mg, 0.23 mmol) was added into 10 ml ethanol and refluxed for 8 hrs. Alkyl substrate was added and mixture was stirred at 55-60°C till completion of reaction. After completion, the reaction was quenched with ice at room temperature and extracted with ethyl acetate (2× 20 ml). The combined organic layer was washed with brine, dried over sodium sulphate and the solvent evaporated to dryness. The crude product was purified by column chromatography using pet-ether: ethyl acetate (80:20) as mobile phase to give off white product (E).

General method for synthesis 3-[[2-(alkyloxycarbonyl) benzoyl]oxy]urs-12-en-28-oic acid alkyl ester (F) compunds 16-20 (Table 2)

3-[[2-(alkyloxycarbonyl)benzoyl]oxy]urs-12-en-28-oic acid (E) and potassium carbonate (15.99 mg, 0.11 mmol) was added into 5 mL ethanol and refluxed for 8-10 hrs to make potassium salt and water was removed by Dean Stark apparatus. Alkyl substrate was added and mixture was stirred at 65-67°C till reaction was complete. After completion (monitored by TLC), the reaction was quenched with ice at room temperature, extracted with ethyl acetate (2× 20 ml), the combined organic layers washed with brine, dried over sodium sulphate and the solvent evaporated to dryness. The crude product was purified by column chromatography using pet-ether: ethyl acetate (80:20) to give off white product (F).

3-methoxyiminours-12-en-28-oic acid (1)

Yield: 63%, m. p. 120-122°C. IR (KBr): 3423, 1680 cm-1; 1H NMR (300 MHz, CHCl3): δ 3.8 (s, 3H, OCH3, H-R1), 5.2 (s, 1H, alkene proton); [13]C NMR (75 MHz CHCl3): δ 58 (-OCH3), 125 and 135 (alkene group carbons), 165 (acid group carbon). MS: m/z 483.50 [M]+, calcd for C31H49NO3 (483.73).

3-allyloxyiminours-12-en-28-oic acid (2)

Yield: 64%, m. p. 111-113°C. IR (KBr, cm-1): 3420 (-O-H of acidic group), 1685 (-C=O of acidic group); 1H NMR (300 MHz, CHCl3): δ 3.8 (d, 2H, -OCH2 allylic protons, H-R1), 5.1, 5.7, 5.8 (m, 3H, alkene protons, H-R1); [13]C NMR (75 MHz, CHCl3): δ 65 (-OCH2 allylic carbon), 118-130 (alkene group carbon), 170 (acid group carbon); MS: m/z 510.60 [M]+, calcd for C33H51NO3 (509.76).

3-benzyloxyiminours-12-en-28-oic acid (3)

Yield: 50%. m. p. 125-127°C. IR (KBr cm-1): 3448 (-O-H of acid group), 1700 (-C=O of acid group), 1458-1603 (C=C of aromatic ring). 1H NMR (300 MHz, CHCl3): δ 3.0 (s, 2H, -CH2 benzylic proton), δ 7.6-7.8 (m, 5H, corresponds to aromatic protons); [13]C NMR (75 MHz, CHCl3): δ 60 (-OCH2 benzyl carbon), 125-150 (aromatic carbons), 185 (acid group carbon); MS: m/z 559.40 [M]+, calcd for C37H53NO3 (559.82).

3-[(2-ethoxy-2-oxoethoxy) imino]-urs-12-en-28-oic acid (4)

Yield: 57%. m. p. 140-142°C. IR (KBr, cm-1): 3441 (-O-H of acid group), 1670-1730 (-C=O of acid and ester group), 1100-1300 (-O-CH2 of ester group); 1H NMR (300MHz, CHCl3): δ 4.2 (t, 3H, CH3-CH2, H-R1), 4.5 (s, 2H, -OCH2-C=O, H-R1), 4.8 (q, 2H, -OCH2-CH3); [13]C NMR (75 MHz, CHCl3): δ 20 (CH3), 60 (O-CH2), 170-178 (acid and ester group carbons); MS: m/z 555.60 [M]+, calcd for C34H53NO5 (555.79).

3-[(2-oxo-2-phenylethoxy) imino]-urs-12-en-28-oic acid (5)

Yield: 60%. m. p. 133-135°C. IR (KBr, cm-1): 3448 (O-H of acid group), 1680-1725 (C=O of acid and ketone group), 1450-1600 (C=C of aromatic ring); 1H NMR (300MHz, CHCl3): δ 4.7 (s, 2H, -O-CH2-C=O), 7.2-7.8 (m, 5H, aromatic protons); [13]C NMR (CHCl3, 75 MHz): δ 60 (-OCH2), 125-140 (aromatic carbans), 165, 185 (acid and ester group carbon); MS: m/z 587.60 [M]+, calcd for C38H53NO4 (587.83).

3-Methoxyiminours-12-en-28-oic acid methyl ester (6)

Yield: 61%. m. p. 105-106°C. IR (KBr, cm-1): 1720 (-C=O of ester group), 1448 (-C=C of alkene); 1H NMR (300 MHz, CHCl3): δ 3.8 (s, 3H, -OCH3, H-R1), 3.9 (s, 3H, -OCH3 ester group protons, H-R2), 5.1 (s, 1H, -CH= alkene proton); [13]C NMR (75 MHz, CHCl3): δ 58-65 (two methoxy group carbons), 125-140 (alkene carbans), 168 (-C=O corresponds to ester carbon); MS: m/z 497.20 [M]+, calcd. for C32H51NO3 (497.75).

3-allyloxyiminours-12-en-28-oic acid allyl ester (7)

Yield: 64%. m. p. 112-114°C. IR (KBr, cm-1): 1730 (-C=O of ester group), 1400-1500 (-C=C of allyl group); 1H NMR (300MHz, CHCl3): δ 2.8 (m, 2H, -OCH2 allylic protons, H-R1), 4.7 (m, 2H, -OCH2 allylic methyl group protons attached to ester group, H-R2), 5.1, 5.7, 5.9, 6.1, 6.3, 6.7 (m, 6H, 2(-CH=CH2)). [13]C NMR (75 MHz, CHCl3): δ 64 (CH2), 65 (CH2), 118, 125, 130, 135 (2(-CH=CH2)), 165 (C=O); MS: m/z 549.60 [M]+, calcd. for C36H55NO3 (549.83).

3-benzyloxyiminours-12-en-28-oic acid benzyl ester (8)

Yield: 60%. M. p. 110-115°C. IR (KBr, cm-1): 1735 (C=O), 1500-1600 (aromatic -C=C); 1H NMR (300 MHz, CHCl3): δ 3.7 (s, 2H, CH2, H-R1), 3.9 (s, 2H, CH2, H-R2), 7.8 (s 5H, Ar-H, H-R1), 7.9 (s 5H, Ar-H, H-R2); [13]C NMR (75 MHz, CHCl3): δ 58 (CH2), 59 (CH2), 120, 122, 130, 135, 140, 142, 150, 155 (aromatic carban), 160 (C=O); MS: m/z 648.70 [M]+, calcd. for C44H59NO3 (649.93).

3-[(2-ethoxy-2-oxoethoxy) imino]-urs-12-en-28-oic acid [2-ethoxy-2-oxoethyl] ester (9)

Yield: 57%. m. p. 105-107 °C. IR (KBr, cm-1): 1728 (C=O), 1400-1500 (-C=C); 1H NMR (300 MHz, CHCl3): δ 2.5 (s, 2H, CH2, H-R1), 2.8 (s, 2H, CH2, H-R2), 3.3 (q, 2H, CH2, H-R1), 3.8 (q, 2H, CH2, H-R2), 3.7 (t, 3H, CH3, H-R1), 4.4 (t, 3H, CH3, H-R2), 5.1 (s, 1H,CH=C); [13]C NMR (CHCl3, 300 MHz): δ 20, 25 (CH3), 58, 59, 63, 65 (OCH2), 170 (C=O); MS: m/z 641.3 [M]+, calcd. for C38H59NO7 (641.88).

3-[(2-oxo-2-phenylethoxy) imino]-urs-12-en-28-oic acid [2-oxo-2-phenylethyl] ester (10)

Yield: 61%. m. p.: 116-118°C. IR (KBr): 1730 (C=O), 1500-1600 (Ar-C=C); 1H NMR (300 MHz, CHCl3): δ 3.5 (s, 2H, CH2, H-R1), 3.7 (s 2H, CH2, H-R2), 5.1 (s, 1H, CH=C), 7.4 (m, 5H, Ar-H, H-R1), 7.8 (m, 5H, Ar-H, H-R2); [13]C NMR (75 MHz, CHCl3): δ 57, 58 (CH2), 115, 120, 118, 125, 138 (Ar-C), 170, 185 (C=O); MS: m/z 705.30 (M+), calcd. for C46H59NO5 (705.96).

3-[[2-(methoxycarbonyl)benzoyl]oxy]urs-12-en-28-oic acid (11)

Yield: 73%. m. p. 150-152°C. IR (KBr, cm-1): 1735 (C=O), 1500-1600 (Ar-C=C), 1448 (C=C); 1H NMR (300 MHz, CHCl3): δ 3.1 (s, 3H, CH3, H-R3), 3.8 (s, 1H, CH), 7.3-7.8 (m, 4H, Ar-H); [13]C NMR (75 MHz, CHCl3): δ 55, 59 (O-CH3), 125, 140 (Ar-C), 165 (C=O); MS: m/z 618.00 [M]+, calcd. for C39H54O6 (618.84).

3-[[2-[(allyloxy) carbonyl]benzoyl]oxy]urs-12-en-28-oic acid (12)

Yield: 61%. m. p. 152-154°C. IR (KBr, cm-1): 1740 (C=O), 1500-1600 (Ar-C=C), 1400-1500 (C=C); 1H NMR (300 MHz, CHCl3): δ 5.5, 5.7, 5.9 (m, 3H, OCH=CH2, H-R3), 7.3-7.9 (m, 4H, Ar-H); [13]C NMR (75 MHz, CHCl3): δ 62 (OCH2), 118, 130, 135, 139 (-CH=CH2), 170 (C=O); MS: m/z 644.40 [M]+, calcd. for C41H56O6 (644.88).

3-[[2-[(benzyloxy) carbonyl] benzoyl] oxy] urs-12-en-28-oic acid (13)

Yield: 61%. m. p. 161-163°C. IR (KBr, cm-1): 1730 (C=O), 1500-1600 (Ar-C=C); 1H NMR (300MHz, CHCl3): δ 4.0 (s, 2H, CH2, H-R3), 7.2-7.5 (m, 4H, Ar-H), 7.9 (s, 5H, Ar-H, H-R3); [13]C NMR (75 MHz, CHCl3): δ 55 (O-CH3), 59 (O-CH3), 120, 125, 130, 140, 150 (Ar-C), 185(C=O); MS: m/z 693.90 [M]+, calcd. for C45H58O6 (694.94).

3-[[2-[(2-ethoxy-2-oxoethoxy) carbonyl] benzoyl] oxy] urs-12-en-28-oic acid (14)

Yield: 65%. m. p. 155-157°C. IR (KBr, cm-1): 1725 (C=O), 1500-1600 (Ar-C=C) cm-1, 1400-1500 (C=C); 1H NMR (300MHz, CHCl3): δ 4.2 (t, 3H, CH3, H-R3), 4.4 (q, 2H, CH2, H-R3), 7.5, 79 (m, 4H, Ar-H); [13]C NMR (75 MHz, CHCl3): δ 30 (-CH3), 55 (O-CH2), 62 (O-CH2), 140 (Ar-C), 177 (C=O); MS: m/z 690.70 [M]+, calcd. for C42H58O8 (690.91).

3-[[2-[(2-oxo-2-phenylethoxy) carbonyl] benzoyl] oxy] urs-12-en-28-oic acid (15)

Yield: 54%. m. p. 142-144°C. IR (KBr, cm-1): 1732 (C=O), 1500-1600 (Ar-C=C), 1400-1500 (C=C). 1H NMR (300 MHz, CHCl3): δ 4.1 (s, 2H, CH2, H-R3), 7.2-7.9 (m, 4H, Ar-H), 8.0 (m, 5H, Ar-H, H-R3); [13]C NMR (75 MHz, CHCl3): δ 55 (O-CH2), 121, 138, 145 (Ar-C), 165, 185 (C=O); MS: m/z 722.30 [M]+, calcd. for C46H58O7 (722.30).

3-[[2-(methoxycarbonyl)benzoyl]oxy]urs-12-en-28-oic acid methyl ester (16)

Yield: 72%. m. p. 130-132°C. IR (KBr, cm-1): 1725 (C=O), 1500-1600 (Ar-C=C) cm-1, 1400-1500 (C=C); 1H NMR (300MHz, CHCl3): δ 4.2 (s, 3H, CH3, H-R3), 4.4 (s 3H, CH3, H-R4), 7.3-7.5 (m, 4H, Ar-H); [13]C NMR (75 MHz, CHCl3): δ 55 (OCH3), 59 (OCH3), 122, 125, 130, 135 (Ar-C), 165, 170, 180 (C=O); MS: m/z 632.70 [M]+, calcd. for C40H56O6 (632.87).

3-[[2-[(allyloxy) carbonyl] benzoyl] oxy] urs-12-en-28-oic acid allyl ester (17)

Yield: 64%. m. p. 132-134°C. IR (KBr, cm-1): 1730 (C=O), 1500-1600 (Ar-C=C), 1400-1500 (C=C); 1H NMR (300 MHz, CHCl3): δ 5.1 (s, 1H, CH=C, H-R3), 5.3 (s, 1H, CH=C, H-R4), 5.5-6.1 (m, 3H, CH=CH2, H-R3), 7.2-7.9 (m, 4H, Ar-H, H-R4); [13]C NMR (75 MHz, CHCl3): δ 65 (O-CH2), 70 (O-CH2), 110, 125, 130, 140 (Ar-C), 161, 170 (C=O); MS: m/z 684.30 [M]+, calcd. for C44H60O6 (684.94).

3-[[2-[(benzyloxy) carbonyl] benzoyl] oxy]urs-12-en-28-oic acid benzyl ester [18]

Yield: 54%. m. p. 121-123°C. IR (KBr, cm-1): 1735 (C=O), 1500-1600 (Ar-C),1400 (C=C); 1H NMR (300 MHz, CHCl3): δ 3.8 (s, 1H, OCH2, H-R3), 4.1 (s, 1H, OCH2, H-R4), 7.1-7.3 (m, 4H, Ar-H), 7.5 (s 5H Ar-H, H-R3), 8.1 (s, 5H, Ar-H, H-R4); [13]C NMR (75 MHz, CHCl3): δ 62 (O-CH2), 65 (O-CH2), 125, 130, 135, 140, 145 (Ar-C), 168, 180, 185 (C=O); MS: m/z 784.40 [M]+, calcd. for C52H64O6 (785.06).

3-[[2-[(2-ethoxy-2-oxoethoxy) carbonyl]benzoyl]oxy]urs-12-en-28-oic acid [2-ethoxy-2-oxoethyl] ester (19)

Yield: 62%. M. p.121-123°C. IR (KBr, cm-1): 1740 (C=O), 1500-1600 (Ar-C), 1450 (C=C); 1H NMR (300 MHz, CHCl3): δ 3.6 (t, 3H, CH3, H-R3), 3.8(s, 2H, OCH2, H-R3), 4.1 (q, 2H, OCH2, H-R3), 4.2 (t, 3H, CH3, H-R4), 4.3 (s, 2H, OCH2, H-R4), 4.4 (q, 2H, OCH2, H-R4); [13]C NMR (75 MHz, CHCl3): δ 15, 22 (CH3), 55, 59, 60, 68 (OCH2) 122, 125, 125, 130, 135 (Ar-C), 175, 180, 185 (C=O); MS: m/z 776.60 [M]+, calcd. for C46H64O10 (776.99).

3-[(2-oxo-2-phenylethoxy) carbonyl] urs-12-en-28-oic acid-[2-oxo-2-phenylethyl] ester (20)

Yield: 59%. m. p. 135-137°C. IR (KBr, cm-1): 1730 (C=O), 1500-1600 (aromatic carban), 1400-1500 (C=C); 1H NMR (300MHz, CHCl3): δ 4.5 (s, 2H, OCH2, H-R3), 4.8 (s, 2H, OCH2, H-R4), 7.1- 7.8 (m, 4H, Ar-H), 8.0 (s, 5H, Ar-H, H-R3), 8.2 (s, 5H, Ar-H, H-R4); [13]C NMR (75 MHz, CHCl3): δ 45, 50 (OCH2), 110, 120, 125, 135 (Ar-C), 165, 180,185 (C=O); MS: m/z 840.60 [M]+, calcd. for C54H64O8 (841.08).

RESULTS AND DISCUSSION

The aim of the present work was to study the reactivity of A and D towards the wide variety of substituted imine and substituted phthalic acid derivatives of ursolic acid and ursolic acid esters. Synthesis of compound A was done by the reaction of 3-ketoursolic acid, hydroxyl amine hydrochloride in ethanol as previously reported [12]. Synthesis of compound D was done by the reaction of 3-ketoursolic acid and phthalic anhydride in pyridine as reported earlier [13]. Compounds A and D was identified by MS, 1H and [13]C NMR.

A one pot reaction of 3-hydroxyiminours-12-en-28-oic acid (A) and alkyl substrate in the presence of NaH in THF offered substituted imino compounds 3-methoxyiminours-12-en-28-oic acid 1, 3-allyloxyiminours-12-en-28-oic acid 2, 3-benzyloxyiminours-12-en-28-oic acid 3, 3-[(2-ethoxy-2-oxoethoxy)imino]-urs-12-en-28-oic acid 4, 3-[(2-oxo-2-phenylethoxy)imino]-urs-12-en-28-oic acid 5 in good yields (Scheme I), (Fig. 1). To prepare 3-alkyloxyiminours-12-en-28-oic acid methyl ester (C), the compound 1, 2, 3, 4 and 5 was reacted with alkyl substrate in the presence of K2CO3 in ethanol. Esterification occured to form 3-Methoxyiminours-12-en-28-oic acid methyl ester 6, 3-allyloxyiminours-12-en-28-oic acid allyl ester 7, 3-benzyloxyiminours-12-en-28-oic acid benzyl ester 8, 3[(2-ethoxy-2-oxoethoxy)imino]-urs-12-en-28-oic acid [2-ethoxy-2-oxoethyl] ester 9, 3-[(2-oxo-2-phenylethoxy)imino]-urs-12-en-28-oic acid [2-oxo-2-phenylethyl] ester 10 (Scheme I), (Fig. 1). For synthesizing 3-[[2-(alkyloxycarbonyl)benzoyl]oxy]urs-12-en-28-oic acid (E), a one pot reaction of 3-[[2-(hydroxycarbonyl)benzoyl]oxy]urs-12-en-28-oic acid (D) and an alkyl substrate in the presence of K2CO3 in ethanol was made. The substituted phthalic acid ester compounds synthesized were 3-[[2-(methoxycarbonyl)benzoyl]oxy]urs-12-en-28-oic acid 11, 3-[[2-[(allyloxy)carbonyl]benzoyl]oxy]urs-12-en-28-oic acid 12, 3-[[2-[(benzyloxy)carbonyl]benzoyl]oxy]urs-12-en-28-oic acid 13, 3-[[2-[(2-ethoxy-2-oxoethoxy)carbonyl] benzoyl]oxy] urs-12-en-28-oic acid 14, 3-[[2-[(2-oxo-2-phenylethoxy)carbonyl] benzoyl]oxy]urs-12-en-28-oic acid 15 white solid obtained (Scheme-II), (Fig. 2). Further compounds 11-15 were used as a starting material in synthesis of acid functionality at C-28.

The synthesized compounds were 3-[[2-(methoxycarbonyl) benzoyl] oxy]urs-12-en-28-oic acid methyl ester 16, 3-[[2-[(allyloxy) carbonyl]benzoyl]oxy]urs-12-en-28-oic acid allyl ester 17, 3-[[2-[(benzyloxy) carbonyl] benzoyl] oxy]urs-12-en-28-oic acid benzyl ester 18, 3-[[2-[(2-ethoxy-2-oxoethoxy)carbonyl] benzoyl]oxy]urs-12-en-28-oic acid [2-ethoxy-2-oxoethyl] ester 19, 3-[(2-oxo-2-phenylethoxy) carbonyl] urs-12-en-28-oic acid-[2-oxo-2-phenylethyl] ester 20.

CONCLUSION

In conclusion, twenty derivatives comprising of phthalic acid and imines have been prepared by using a cost effective approach and considering the extensive SAR studies done in the prior art. Prepared derivatives can be screened as leads for anticancer potential that may open the possibility for newer therapeutic actions.

CONFLICT OF INTERESTS

Declared None

ACKNOWLEDGEMENT

Authors are thankful to University Grant Commission (UPE), New Delhi for providing financial assistance.

REFERENCES

  1. Shanmugam MK, Dai X, Kumar AP, Tan BK, Sethi G, Bishayee A. Ursolic acid in cancer prevention and treatment: molecular targets, pharmacokinetics and clinical studies. Biochem Pharmacol 2013;85(11):1579-87.
  2. Babar SB, Laddha KS. Extraction, isolation and synthesis of derivatives of ursolic acid. Indian Drugs 2012;49:33-7.
  3. Jie L. Pharmacology of oleanolic acid and ursolic acid. J Ethnopharmacol 1995;49(2): 57-68.
  4. Chun J, Lee C, Hwang SW, Im JP, Kim JS. Ursolic acid inhibits nuclear factor-κB signaling in intestinal epithelial cells and macrophages, and attenuates experimental colitis in mice. Life Sci 2014;110(1):23-34.
  5. XuemeiW, Fan Z, Ling Y, Ying M, Hai L, Xiaowen Z, et al. Ursolic acid inhibits proliferation and induces apoptosis of cancer cells in vitro and in vivo. J Biomed Biotechnol 2011;2011:419343.
  6. Deng L, Zhang R, Tang F, Li C, Xing YY, Xi T. Ursolic acid induces U937 cells differentiation by PI3K/Akt pathway activation. Chin J Nat Med 2014;12(1):15-19.
  7. Rashid S, Dar BA, Majeed R, Hamid A, Bhat BA. Synthesis and biological evaluation of ursolic acid-triazolyl derivatives as potential anti-cancer agents. Eur J Med Chem 2013;66:238-45.
  8. Tu HY, Huang AM, Wei BL, Gan KH, Hour TC, Yang SC, et al. Ursolic acid derivatives induce cell cycle arrest and apoptosis in NTUB1 cells associated with reactive oxygen species. Bioorg Med Chem 2009;17(20):7265-74.
  9. Leal AS, Wang R, Salvador JA, Jing Y. Synthesis of novel ursolic acid heterocyclic derivatives with improved abilities of antiproliferation and induction of p53, p21waf1 and NOXA in pancreatic cancer cells. Bioorg Med Chem 2012;20(19):5774-86.
  10. Ma CM, Cai SQ, Cui JR, Wang RQ, Tu PF, Hattori M, et al. The cytotoxic activity of ursolic acid derivatives. Eur J Med Chem 2005;40(6):582-9.
  11. Liu D, Meng Y, Zhao J, Chen L. Synthesis and anti-tumor activity of novel amide derivatives of ursolic acid. Chem Res Chin Univ 2008;24(1):42–6.
  12. Chen J, Liu J, Zhang L, Wu G, Hua W, Wu X, et al. Pentacyclic triterpenes. Part 3: Synthesis and biological evaluation of oleanolic acid derivatives as novel inhibitors of glycogen phosphorylase. Bioorg Med Chem Lett 2006;16(11):2915-9.
  13. E Silva Mde L, David JP, S lva LC, Santos RA, David JM, Lima LS, et al. Bioactive oleanane, lupane and ursane triterpene acid derivatives. Molecules 2012;17(10):12197-205.