1College of Pharmaceutical Sciences, Govt. Medical College, Kozhikode, Kerala, India, 2Al Shifa College of Pharmacy, Poonthavanam, Perintalmanna, Malappuram District, Kerala, India.
Email: arulk65aug@gmail.com
Received: 11 Aug 2014 Revised and Accepted: 12 Sep 2014
ABSTRACT
Objective: To design, synthesize and in vitro anticancer and antitubercular evaluation of some new isatin derivatives containing azetidinone.
Methods: Novel azetidinone containing isatin derivatives were designed by using various softwares such as ACD Lab ChemSketch 12.0, Marvin Sketch, Molinspiration, PASS and Schrodinger. The designed molecules having required physico-chemical properties, drug likeness and obeying Lipinski’s rule of five were selected for the synthesis. These compounds were synthesized by conventional and microwave assisted synthetic methods through a series of three steps. The synthesized compounds were subjected to TLC, melting point determination, IR, 1HNMR and Mass spectroscopic studies. The in vitro anticancer activity of selected compounds was evaluated against MCF7 and L929 by MTT assay method. The antitubercular activity of selected compounds was evaluated by REMA method.
Results: Ten derivatives (AZ-2, AZ-3, AZ-5, AZ-8, AZ-9, AZ-10, AZ-12, AZ-13, AZ-14 and AZ-15) were selected for synthesis with the help of in-silico modeling. In the synthesis, the microwave method took minimum reaction time and gave maximum yield comparing with conventional method. All the synthesized compounds showed characteristic peak in IR, 1HNMR and Mass spectroscopic studies. Based on the Schrodinger Glide XP score, the compounds AZ-13, AZ-5 and AZ-3 were selected for in vitro anticancer and AZ-9, AZ-14 and AZ-3 were selected for antitubercular evaluation. The compound AZ-13 showed significant anticancer activity particularly against L929 cell line and the compound AZ-9 showed significant antitubercular activity comparing with other selected compounds.
Conclusion: These results are useful for further investigation in the future.
Keywords: Azetidinone containing isatin derivatives, Microwave assisted synthesis, Spectral study, In vitro anticancer activity, Antitubercular activity.
INTRODUCTION
In nature, isatin is found in plants of the genus Isatis, in Calanthe discolor LINDL., and in Couroupita guianensis Aubl., and has also been found as a component of the secretion from the parotid gland of Bufo frogs and in humans as it is a metabolic derivative of adrenaline. Substituted isatins are also found in plants, for example the melosatin alkaloids (methoxy phenylpentyl isatins) obtained from the Caribbean tumorigenic plant Melochia tomentosa as well as from fungi, 6-(3’-methylbuten-2’-yl) isatin was isolated from Streptomyces albus and 5- (3’-methylbuten-2’-yl)isatin from Chaetomium globosum. Isatin has also been found to be a component of coal tar [1]. The biological and pharmacological properties of isatin and its derivatives led to extensive use of these compounds as key intermediates in organic synthesis [2]. Literature surveys reveal that various derivatives of isatin possess diverse activities such as antibacterial [2, 3], antifungal [2, 4], antiviral [2, 5], anti-HIV [2, 6] antimycobacterial [2, 7] anticancer [2, 8] anti-inflammatory and anticonvulsant activities [2].
Azetidinones, commonly known as β-lactams, are well-known heterocyclic compounds among the organic and medicinal chemists. The activity of the famous antibiotics such as penicillins, cephalosporins and carbapenems are attributed to the presence of 2-azetidinone ring in them. Recently, some other types of biological activity besides the antibacterial activity have been reported in compounds containing 2-azetidinone ring. Such biological activities include antifungal, antitubercular, antitumor, inhibition of cholesterol absorption and enzyme inhibition activity. The β-lactams also serve as synthons for many biologically important classes of organic compounds [9].
Our ongoing investigations have been directed toward the in-silico design, synthesis and pharmacological evaluation of some novel isatin derivatives containing azetidinone.
MATERIALS AND METHODS
In-silico molecular modification
In-silico molecular modification was the most important preliminary step in the rational drug designing of novel drugs. In the present study different proposed derivatives are screened for different physico-chemical properties by using different softwares. ACD Lab Chemsketch 12.0 and Marvin Sketch were used for 3-D drawing, optimizing and calculating various molecular descriptors such as hydrophobicity, lipophilicity, steric and electronic parameters of the proposed molecules. The Molinspiration software was used for calculating LogP values, Lipinski’s rule of five and drug likeness.
The proposed molecules were screened for whether they obey the rule of five or not. The general biological activities of proposed molecules were predicted by using PASS (Prediction of activity spectra for substances) software and the ADME (absorption, distribution, metabolism and excretion) profiles were predicted by Qik Prop program provided by Schrodinger Maestro. Schrodinger XP Glide (Extra precision Grid based ligand docking with energetics) program was used for the molecular docking of proposed molecules. Ten azetidinone containing isatin derivatives were selected for synthesis with the help of these selection parameters. They are
3-{[3-chloro-2-(2-chlorophenyl)-4-oxoazetidin-1-yl] imino}-2, 3-dihydro-indol-2-one. (AZ-2)
3-{[3-chloro-2-(4-hydroxyphenyl)-4-oxoazetidin-1-yl] imino}-2, 3-dihydro-indol-2-one. (AZ-3)
3-{[3-chloro-2-(4-hydroxy-3-methoxyphenyl)-4-oxoazetidin-1-yl] imino}-2, 3-dihydro-indol-2-one. (AZ-5)
3-{[3-chloro-2-(4-nitrophenyl)-4-oxoazetidin-1-yl] imino}-2, 3-dihydro-indol-2-one. (AZ-8)
3-{[3-chloro-2-(4-fluorophenyl)-4-oxoazetidin-1-yl] imino}-2, 3-dihydro-indol-2-one. (AZ-9)
3-{[2-(5-bromo-2-hydroxyphenyl)-3-chloro-4-oxoazetidin-1-yl] imino}-2, 3dihydro-indol-2-one. (AZ-10)
3-{[3-chloro-2-(4-chlorophenyl)-4-oxoazetidin-1-yl] imino}-2, 3-dihydro--indol-2-one. (AZ-12)
3-{[3-chloro-2-(2-hydroxyphenyl)-4-oxoazetidin-1-yl] imino}-2, 3-dihydro-indol-2-one. (AZ-13)
3-{[3-chloro-2-(4-methoxyphenyl)-4-oxoazetidin-1-yl] imino}-2, 3-dihydro-indol-2-one. (AZ-14)
3-{[3-chloro-2-(3-nitrophenyl)-4-oxoazetidin-1-yl] imino}-2, 3-dihydro-indol-2-one. (AZ-15)
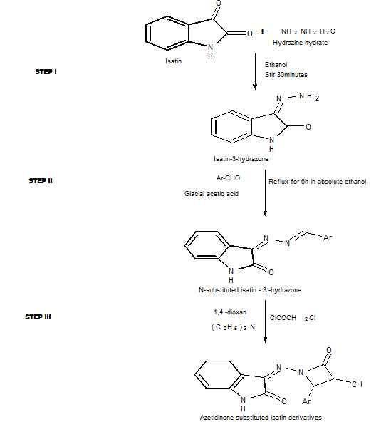
Synthesis of selected derivatives
The selected compounds were synthesized by conventional and microwave assisted synthetic methods through a series of three steps.
Conventional method
Step-1: Synthesis of Isatin-3-hydrazone
Isatin (0.01 mole) was dissolved in 20 ml of alcohol. Hydrazine hydrate (99%, 0.015 mole) was added to this mixture with stirring and the reaction mixture was warmed on the water bath for 10 minutes and allowed to cool for 3 h in the refrigerator. The resultant yellow coloured crystalline solid was filtered, washed repeatedly with cold water and finally with cold alcohol. The product obtained was dried and recrystallized from alcohol. A single spot on the TLC plate established the purity of the compound. The solvent system used was toluene: ethyl acetate (7:5).
Step-2: Synthesis of different Schiff bases
A mixture of Isatin-3-hydrazone (0.01 mole, 1.61g) in absolute ethanol, a few drops of glacial acetic acid and an aromatic aldehyde (0.01 mole) were refluxed for 6-8 h. The excess solvent was distilled off and the residue was poured on to ice. The separated solid was filtered and recrystallized from appropriate solvent. A single spot on the TLC plate established the purity of the compound. The solvent system used was toluene: ethyl acetate (7:5).
Yield and melting point of the product were recorded. Ten different Schiff bases were synthesized by using different aldehydes. They are
2-chloro benzaldehyde (0.01 mole, 1.12 ml) was used for the synthesis 3-[(2-chlorobenzylidene) hydrazinylidene]-2, 3-dihydro-indol-2-one. (IIa)
Para hydroxy benzaldehyde (0.01 mole, 1.22g) was used for the synthesis of 3-[(4-hydroxybenzylidene) hydrazinylidene]-2, 3-dihydro-indol-2-one. (IIb)
Vanillin (0.01 mole, 3.72g) was used for the synthesis of 3-[(4-hydroxy-3-methoxybenzylidene) hydrazinylidene]-2, 3-dihydro-indol-2-one. (IIc)
Para nitro benzaldehyde (0.01 mole, 1.51g) was used for the synthesis of 3-[(4-nitrobenzylidene) hydrazinylidene]-2, 3-dihydro-indol-2-one. (IId)
Para fluoro benzaldehyde (0.01 mole, 1.24g) was used for the synthesis of 3-[(4- fluoro benzylidene) hydrazinylidene]-2, 3-dihydro-indol-2-one. (IIe)
5-bromo salicylaldehyde (0.01 mole, 1.51g) was used for the synthesis of 3-[(5- bromo-2-hydroxy benzylidene) hydrazinylidene]-2, 3-dihydro-indol-2-one. (IIf)
Para chloro benzaldehyde (0.01 mole, 1.41g) was used for the synthesis of 3-[(4- chloro benzylidene) hydrazinylidene]-2, 3-dihydro-indol-2-one. (IIg)
Salicylaldehyde (0.01 mole, 0.73 ml) was used for the synthesis of 3-[(2-hydroxy benzylidene) hydrazinylidene]-2, 3-dihydro-indol-2-one. (IIh)
Para methoxy benzaldehyde (0.01 mole, 1.36 ml) was used for the synthesis of 3-[(4- methoxy benzylidene) hydrazinylidene]-2, 3-dihydro-indol-2-one. (IIi)
Meta nitro benzaldehyde (0.01 mole, 1.51g) was used for the synthesis of 3-[(3- nitrobenzylidene) hydrazinylidene]-2, 3-dihydro-indol-2-one. (IIj)
Step-3: Synthesis of azetidinone containing isatin derivatives
A mixture of Schiff’s base (0.01 mole) and triethyl amine (5-6 drops) was dissolved in 1, 4-dioxan (50 ml) and cooled with stirring. To this mixture, chloroacetyl chloride (0.015 mole, 1.68 ml) was added drop wisely within a period of 30 min. The reaction mixture was then stirred for an additional 3 hours at room temperature and refluxed for 7 h. The reaction mixture was filtered to remove tri ethylamine hydrogen chloride and the resultant solution was concentrated, cooled and poured into ice-cold water with stirring. The solid thus obtained was recrystallized from ethanol. A single spot on the TLC plate established the purity of the compound. The solvent system used was Methanol: Petroleum ether (1:1). Yield and melting point of the product were recorded.
Schiff bases IIa, IIb, IIc, IId, IIe, IIf, IIg, IIh, IIi, IIj were used for the synthesis of compounds AZ-2, AZ-3, AZ-5, AZ-8, AZ-9, AZ-10, AZ-12, AZ-13, AZ-14, AZ-15 respectively.
Microwave assisted synthesis
Step-1: Synthesis of Isatin-3-hydrazone
Isatin (0.25g, 1.7 mmole), 55% hydrazine (0.30g, 0.425 mmole) and ethylene glycol (1 ml) were added to a 50 ml beaker. The mixture was shaken gently to ensure proper mixing. The beaker was then covered with a watch glass and irradiated in the microwave oven at medium power for 30 seconds. Then the beaker was removed from the oven and cooled at room temperature, the mixture was further cooled in an ice bath for 5 min. The yellow powders were collected in a suction flask, washed with cold ethanol (2.5 ml), and air dried. Yield, melting point and Rf value of the product were recorded.
Step-2: Synthesis of different Schiff bases
Isatin-3-hydrazone (0.01 mole), substituted aldehyde (0.001 mole) and 1-2 drops of glacial acetic acid were subjected to microwave radiation at 360W at an interval for specified time (1-3 minutes). The completion of the reaction was checked by TLC. The reaction mixture was cooled and poured into cold water. Solid product obtained was filtered, dried and recrystallised from ethanol to form red crystalline solid. Yield, melting point and Rf value of the product were recorded. 2-chloro benzaldehyde (0.001 mole, 0.112 ml), Para hydroxy benzaldehyde (0.001 mole, 0.122g), Vanillin (0.001 mole, 0.372g), Para nitro benzaldehyde (0.001 mole, 0.151g), Para fluoro benzaldehyde (0.001 mole, 0.124g), 5-bromo salicylaldehyde (0.001 mole, 0.151g), Para chloro benzaldehyde (0.001 mole, 0.141g), Salicylaldehyde (0.001 mole, 0.073 ml), Para methoxy benzaldehyde (0.001 mole, 0.136 ml), Meta nitro benzaldehyde (0.001 mole, 0.151g) were used for the synthesis of Schiff bases IIa, IIb, IIc, IId, IIe, IIf, IIg, IIh, IIi, IIj respectively.
Step-3: Synthesis of azetidinone containing isatin derivatives
A mixture of Schiff’s base (0.01 mole) and triethyl amine (5-6 drops) was added to chloroacetyl chloride (0.015 mole, 1.68 ml). Then it was irradiated for 3.5 min. in microwave oven and diluted with ice cold water. The solid obtained was filtered, washed with water and recrystallized from ethanol. Yield, melting point and Rf value of the product were recorded. Schiff bases IIa, IIb, IIc, IId, IIe, IIf, IIg, IIh, IIi, IIj were used for the synthesis of compounds AZ-2, AZ-3, AZ-5, AZ-8, AZ-9, AZ-10, AZ-12, AZ-13, AZ-14, AZ-15 respectively.
Characterization of synthesized compounds by spectral study
IR Spectrum
IR spectra were recorded by using KBr pellets in the range of 4000 – 500 cm-1 on Jasco FTIR Model 4100 Type A to elucidate the structure of the compounds.
1HNMR Spectrum
Proton NMR (400 MHz) spectra were recorded by using Bruker ultra shield model 400 MHz spectrometer using Di methyl sulphoxide as the solvent and Tetra Methyl Silane (TMS) as internal standard.
Mass spectrum
Mass spectra of the synthesized compounds were recorded by FAB+ ionization mode on JEOL JMS 600 instrument.
In vitro anticancer activity
Anticancer activities of selected compounds were evaluated against MCF7 (Breast cancer cell line) and L929 (Fibro sarcoma T cells) by MTT (3-[4,5-dimethyl thiazol-2yl]-2,5- diphenyl tetrazolium bromide) assay method. The cell lines were procured from NCCS, (National centre for cell science) Pune, India.
Sub culturing and maintenance of cell line
The cell lines were cultured in Dulbecco’s modified eagle’s medium (DMEM) supplemented with 10% heat inactivated foetal bovine serum (FBS) and incubated at 370C in a humidified atmosphere of 5% CO2
Assessment of anticancer activity by MTT assay
Cells were transferred in to 96- well flat bottom plates at the concentration of 1×104 cells/ml and incubated at 370C in a humidified incubator (5% CO2) for 24 h followed by exposure to various concentrations of tested compounds for 48 h. Then 20 µl of MTT (3-[4,5-dimethyl thiazol-2yl]-2,5- diphenyl tetrazolium bromide) reagent dissolved in PBS (phosphate buffered saline, pH 7.4) was added to each well and mixed and incubated for an additional 4 h. Subsequently, the supernatant was removed, 150 µl DMSO (dimethyl sulphoxide) was added to each well for dissolving the MTT- formazan crystals. Finally absorbance was recorded at 570 nm using a micro plate reader with DMSO as a blank and the proliferation rate (PR) was calculated by using the following equation

Cytotoxicity was calculated as cell growth inhibition rate (IR).
IR = 100 – PR.
Antitubercular activity
Anti-tubercular activity of selected compounds was evaluated by Resazurin micro titre assay (REMA) method. Mycobacterium tuberculosis H37Rv used for the evaluation was procured from MTCC, Chandighar, India. Black view, flat bottom 96-well micro plates were used for the experiment. The initial drug dilutions were prepared by using dimethyl sulphoxide and subsequent two fold dilutions were prepared in the micro plates by using 0.1 ml of 7H9GC broth. 100 µl of 2000CFU/ml of test organism in 7H9GC broth was added to each well of 96 well micro titre plate containing test compounds. Three controls- medium only, drug and medium, test organism and medium were prepared and all are incubated at 37°C for seven days. On 7th day alamar blue dye solution (20 μl alamar blue solution and 12.5 ml of 20% Tween 80) was added to all the wells and the plates were re-incubated at 37 °C for 24 h. Results were recorded at 365 nm using a micro plate reader.
RESULTS
In the present study, in-silico molecular modifications of proposed derivatives were done by using different softwares. 3-D drawing, optimizing and calculating various descriptors of proposed derivatives were done by using ACD Lab Chemsketch 12.0 and Marvin Sketch software. The results are shown in table 1.
Table 1: Molecular descriptors of proposed derivatives
| Compound | Molecular formula | Molar Volume
(cm3) |
Parachor
(cm3) |
Surface Tension (dyne/cm) | Polarisability (10-[24] cm3) | Molar Refractivity (cm3) |
| AZ-1 | C17H12ClN3O2 | 216.2 ± 7.0 | 605.3 ± 8.0 | 61.3± 7.0 | 34.51 ± 0.5 | 87.06 ± 0.5 |
| AZ-2 | C17H11Cl2N3O2 | 225.5 ± 7.0 | 634.2 ± 8.0 | 62.4 ± 7.0 | 36.33 ± 0.5 | 91.66 ± 0.5 |
| AZ-3 | C17H12ClN3O3 | 213.5 ± 7.0 | 611.0 ± 8.0 | 67.0 ± 7.0 | 34.85 ± 0.5 | 87.91 ± 0.5 |
| AZ-4 | C17H10Cl3N3O2 | 234.8± 7.0 | 663.0 ± 8.0 | 63.5 ± 7.0 | 38.16 ± 0.5 | 96.26 ± 0.5 |
| AZ-5 | C18H14ClN3O4 | 235.2 ± 7.0 | 661.2 ± 8.0 | 62.4 ± 7.0 | 37.15 ± 0.5 | 93.72 ± 0.5 |
| AZ-6 | C18H14ClN3O3 | 237.9 ± 7.0 | 655.6 ± 8.0 | 57.6 ± 7.0 | 36.81 ± 0.5 | 92.87 ± 0.5 |
| AZ-7 | C18H14ClN3O3 | 237.9± 7.0 | 655.6 ± 8.0 | 57.6 ± 7.0 | 36.81 ± 0.5 | 92.87 ± 0.5 |
| AZ-8 | C17H11ClN4O4 | 221.5 ± 7.0 | 650.8 ± 8.0 | 74.4 ± 7.0 | 36.75 ± 0.5 | 92.72 ± 0.5 |
| AZ-9 | C17H11ClFN3O2 | 219.1 ± 7.0 | 605.5 ± 8.0 | 58.2 ± 7.0 | 34.46 ± 0.5 | 86.93 ± 0.5 |
| AZ-10 | C17H11BrClN3O3 | 226.0 ± 7.0 | 654.5 ± 8.0 | 70.2 ± 7.0 | 37.84 ± 0.5 | 95.47 ± 0.5 |
| AZ-11 | C17H11ClN4O4 | 221.5 ± 7.0 | 650.8 ± 8.0 | 74.4 ± 7.0 | 36.75 ± 0.5 | 92.72 ± 0.5 |
| AZ-12 | C17H11Cl2N3O2 | 225.5 ± 7.0 | 634.2 ± 8.0 | 62.4 ± 7.0 | 36.33 ± 0.5 | 91.66 ± 0.5 |
| AZ-13 | C17H12ClN3O3 | 213.5 ± 7.0 | 611.0 ± 8.0 | 67.0 ± 7.0 | 34.85 ± 0.5 | 87.91 ± 0.5 |
| AZ-14 | C18H14ClN3O3 | 237.9 ± 7.0 | 655.6 ± 8.0 | 57.6 ± 7.0 | 36.81 ± 0.5 | 92.87 ± 0.5 |
| AZ-15 | C17H11ClN4O4 | 221.5 ± 7.0 | 650.8 ± 8.0 | 74.4 ± 7.0 | 36.75 ± 0.5 | 92.72 ± 0.5 |
| AZ-16 | C17H10ClN5O6 | 226.8 ± 7.0 | 696.2 ± 8.0 | 88.7 ± 7.0 | 39.00 ± 0.5 | 98.38 ± 0.5 |
| AZ-17 | C19H16ClN3O5 | 256.8 ± 7.0 | 711.5 ±8.0 | 58.8 ± 7.0 | 39.46 ± 0.5 | 99.54 ± 0.5 |
| AZ-18 | C20H18ClN3O5 | 281.2 ± 7.0 | 756.1 ± 8.0 | 52.2 ± 7.0 | 41.42 ± 0.5 | 104.5 ± 0.5 |
| AZ-19 | C19H16ClN3O4 | 259.6 ± 7.0 | 705.8 ±8.0 | 54.6 ± 7.0 | 39.12 ± 0.5 | 98.68 ± 0.5 |
| AZ-20 | C18H14ClN3O4 | 235.2 ± 7.0 | 661.2 ± 8.0 | 62.4 ± 7.0 | 37.15 ± 0.5 | 93.72 ± 0.5 |
| AZ-21 | C18H14ClN3O2 | 231.4 ± 7.0 | 636.4 ± 8.0 | 57.1 ± 7.0 | 36.26 ± 0.5 | 91.48± 0.5 |
| AZ-22 | C19H16ClN3O2 | 246.6 ± 7.0 | 667.5± 8.0 | 53.6 ± 7.0 | 38.02± 0.5 | 95.91 ± 0.5 |
| AZ-23 | C17H13ClN4O2 | 213.0 ± 7.0 | 612.5 ±8.0 | 68.3 ± 7.0 | 35.27 ± 0.5 | 88.97 ± 0.5 |
| AZ-24 | C19H17ClN4O2 | 257.4 ± 7.0 | 701.6 ± 8.0 | 55.1 ± 7.0 | 39.59 ± 0.5 | 99.86 ± 0.5 |
| AZ-25 | C21H22ClN5O2 | 298.6 ± 7.0 | 797.9 ±8.0 | 100.9 ± 3.0 | 44.66 ± 0.5 | 112.67 ± 0.5 |
| AZ-26 | C15H10ClN3O3 | 190.6 ± 7.0 | 547.3 ± 8.0 | 110.1 ± 5.0 | 31.41 ± 0.5 | 96.78 ± 0.5 |
The molinspiration software was used to study the LogP values, violation of Lipinski’s rule of five and drug likeness by comparing with already existing standard drugs. The results are shown in tables 2, 3 and figures 1, 2.
The ADME profiles of the designed molecules were predicted by QikProp program provided by Schrodinger Maestro. The PASS software was used to predict the general biological activities of proposed molecules. Schrodinger Glide XP software was used for predicting the protein-ligand binding modes. In this study, the compound having high (-) value is considered as the best one. Of the 26 proposed derivatives, 10 derivatives were selected for synthesis with the help of these selection parameters. They were named as AZ-2, AZ-3, AZ-5, AZ-8, AZ-9, AZ-10, AZ-12, AZ-13, AZ-14 and AZ-15. The selected compounds were synthesized by conventional and microwave assisted synthetic methods through a series of three steps. The general scheme for the synthesis is presented in figure 3.
Table 2: Lipinski’s rule analysis of standard drugs and proposed derivatives
| Compound | MiLog P | M. W | n. HDO | n. HAC | n. rotb | n. violation |
| Isoniazid | -0.89 | 137.14 | 3 | 4 | 1 | 0 |
| Ethambutol | 0.35 | 204.314 | 4 | 4 | 9 | 0 |
| Mechlorethamine | 1.554 | 156.056 | 1 | 0 | 4 | 0 |
| Cyclophosphamide | 0.755 | 261.081 | 4 | 1 | 5 | 0 |
| AZ-1 | 2.903 | 322.755 | 5 | 1 | 2 | 0 |
| AZ- 2 | 3.533 | 360.2 | 5 | 1 | 2 | 0 |
| AZ-3 | 2.423 | 341.754 | 6 | 2 | 2 | 0 |
| AZ-4 | 4.187 | 394.645 | 5 | 1 | 2 | 0 |
| AZ-5 | 2.242 | 370.78 | 7 | 2 | 3 | 0 |
| AZ-6 | 2.911 | 355.781 | 6 | 1 | 3 | 0 |
| AZ-7 | 2.935 | 355.781 | 6 | 1 | 3 | 0 |
| AZ-8 | 2.862 | 370.752 | 8 | 1 | 3 | 0 |
| AZ-9 | 3.066 | 343.745 | 5 | 1 | 2 | 0 |
| AZ-10 | 3.628 | 420.65 | 6 | 2 | 2 | 0 |
| AZ-11 | 2.814 | 370.752 | 8 | 1 | 3 | 0 |
| AZ-12 | 3.581 | 360.2 | 5 | 1 | 2 | 0 |
| AZ-13 | 2.843 | 341.754 | 6 | 2 | 2 | 0 |
| AZ-14 | 2.959 | 355.781 | 6 | 1 | 3 | 0 |
| AZ-15 | 2.838 | 370.752 | 8 | 1 | 3 | 0 |
| AZ-16 | 2.748 | 415.749 | 11 | 1 | 4 | 1 |
| AZ-17 | 2.258 | 401.806 | 8 | 2 | 4 | 0 |
| AZ-18 | 2.929 | 415.833 | 8 | 1 | 5 | 0 |
| AZ-19 | 2.549 | 385.807 | 7 | 1 | 4 | 0 |
| AZ-20 | 2.447 | 371.78 | 7 | 2 | 3 | 0 |
| AZ-21 | 3.303 | 339.782 | 5 | 1 | 2 | 0 |
| AZ-22 | 3.728 | 353.809 | 5 | 1 | 2 | 0 |
| AZ-23 | 1.979 | 340.77 | 6 | 3 | 2 | 0 |
| AZ-24 | 3.005 | 368.824 | 6 | 1 | 3 | 0 |
| AZ-25 | 3.035 | 411.893 | 7 | 1 | 4 | 0 |
| AZ-26 | 2.16 | 315.716 | 6 | 1 | 2 | 0 |
M. W- molecular weight; nHDO- number of hydrogen bond donar; nHAC- number of hydrogen bond acceptor; n. rotb- number of rotatable bonds.
Table 3: SMILES and Log P values of standard drugs and the derivatives selected for the synthesis
| Compound | Substitution | Smile Notation | Log P |
| Isoniazid | -- | O=C(NN)c1ccncc1 | -0.65 |
| Ethambutol | -- | CCC(NCCNC(CC)CO)CO | -0.41 |
| Mechlorethamine | -- | C1CCN(C)CCC1 | 0.91 |
| Cyclophosphamide | -- | N1CCCOP1(=O)N(CCC1)CCC1 | 0.97 |
| AZ-2 | ![]() |
Clc4ccccc4C3C(Cl)C(=O)N3/N=C2
\C(=O)Nc1ccccc12 |
3.533 |
| AZ-3 | ![]() |
Oc1ccc(cc1)C4C(Cl)C(=O)N4/N=C3
\C(=O)Nc2ccccc23 |
2.423 |
| AZ-5 | ![]() |
Oc1ccc(cc1OC)C4C(Cl)C(=O)N4/N
=C3\C(=O)Nc2ccccc23 |
2.242 |
| AZ-8 | ![]() |
[O][N+](=O)c1ccc(cc1)C4C(Cl)C(=
O)N4/N=C3\C(=O)Nc2ccccc23 |
2.862 |
| AZ-9 | ![]() |
Fc1ccc(cc1)C4C(Cl)C(=O)N4/N=C
3\C(=O)Nc2ccccc23 |
3.066 |
| AZ -10 | ![]() |
Brc4cc(C3C(Cl)C(=O)N3/N=C2\C(
=O)Nc1ccccc12)c(O)cc4 |
3.628 |
| AZ-12 | ![]() |
Clc1ccc(cc1)C4C(Cl)C(=O)N4/N=C
3\C(=O)Nc2ccccc23 |
3.581 |
| AZ-13 | ![]() |
Oc4ccccc4C3C(Cl)C(=O)N3/N=C2\
C(=O)Nc1ccccc12 |
2.843 |
| AZ-14 | ![]() |
COc1ccc(cc1)C4C(Cl)C(=O)N4/N=
C3\C(=O)Nc2ccccc23 |
2.959 |
| AZ-15 | ![]() |
[O][N+](=O)c1cccc(c1)C4C(Cl)C(=
O)N4/N=C3\C(=O)Nc2ccccc23 |
2.838 |
![]() |
Molinspiration property engine v2011.04
miLogP 3.066 TPSA 65.535 natoms 24.0 MW 343.745 nON 5 nOHNH 1 nviolations 0 nrotb 2 volume 272.305 |
Molinspiration bioactivity score v2011.06
GPCR ligand -0.30 Ion channel modulator -0.45 Kinase inhibitor -0.05 Nuclear receptor ligand -0.66 Protease inhibitor -0.50 Enzyme inhibitor -0.30 |
Fig. 1: Molinspiration score of compound AZ-9
![]() |
Molinspiration property engine v2011.04
miLogP 2.843 TPSA 85.763 natoms 24.0 MW 341.754 nON 6 nOHNH 2 nviolations 0 nrotb 2 volume 275.391 |
Molinspiration bioactivity score v2011.06
GPCR ligand -0.31 Ion channel modulator-0.42 Kinase inhibitor -0.09 Nuclear receptor ligand-0.58 Protease inhibitor -0.49 Enzyme inhibitor -0.25 |
Fig. 2: Molinspiration score of compound AZ-13
Table 4: Comparison of microwave and conventional synthetic methods
| Compound | Microwave | Conventional |
| Time (min) | Yield (%) | |
| AZ-2 | 3.5 | 77.00% |
| AZ-3 | 3.5 | 78.00 % |
| AZ-5 | 3.5 | 71.00 % |
| AZ-8 | 3.5 | 78.00 % |
| AZ-9 | 3.5 | 80.5% |
| AZ-10 | 3.5 | 71.00% |
| AZ-12 | 3.5 | 87.00% |
| AZ-13 | 3.5 | 80.5% |
| AZ-14 | 3.5 | 77.00% |
| AZ-15 | 3.5 | 87.00% |
Purity of the synthesized compounds was ascertained by TLC and melting point determination by open capillary tube method. The results are shown in table 5.
Table 5: Physical characterization data of synthesized compounds
| Compound | Mol. formula | Mol. Wt. | Melting point (°C) | Rf |
| AZ-2 | C17H11Cl2N3O2 | 360.2 | 236-2380C | 0.75 |
| AZ- 3 | C17H12ClN3O3 | 341.754 | 243-2460C | 0.91 |
| AZ-5 | C18H14ClN3O4 | 370.78 | 237-2390C | 0.95 |
| AZ-8 | C17H11ClN4O4 | 370.752 | 254-2560C | 0.91 |
| AZ-9 | C17H11ClFN3O2 | 343.745 | 255-2570C | 0.72 |
| AZ-10 | C17H11BrClN3O3 | 420.65 | 226-2290C | 0.95 |
| AZ-12 | C17H11Cl2N3O2 | 360.2 | 256-2590C | 0.80 |
| AZ-13 | C17H12ClN3O3 | 341.754 | 243-2450C | 0.72 |
| AZ-14 | C18H14ClN3O3 | 355.781 | 240-2420C | 0.75 |
| AZ-15 | C17H11ClN4O4 | 370.752 | 251-2530C | 0.80 |
The synthesized compounds were characterized by IR, 1HNMR and Mass spectroscopic methods. The IR spectra of the synthesized compounds are presented in table 6, 1HNMR report for compound AZ -12 is shown in Graph 1 and the mass spectrum report for compound AZ – 13 is shown in Graph 2.
Fig. 3: General scheme for the synthesis of azetidinone containing isatin derivatives
The results showed that the microwave assisted synthetic method took a minimum reaction time but gave high yield comparing with conventional method. The results are shown in table 4.
Table 6: IR spectra of synthesized compounds
| Compound | IR Peaks (cm-1) | ||
| AZ-2 | 3488.41 (N-H str), 3034.8 (Ar C-H str), 1716.99(C=O),1647.64 (C=N str), 1485.82(CH-N str), 760.138 (C-Cl str) | ||
| AZ-3 | 3568.72(OH str), 3450.55 (N-H str),3031.12(Ar-CH), 1712.2 (C=O str), 1642.02 (C=N str), 1489.3(CH-N str),740.82(C-Cl) | ||
| AZ-5 | 3650.37(OH str),3460.16 (N-H str), 3035.13 (Ar C-H str), 1710.34(C=O str), 1635.02(C=N str), 1470.85(CH-N str), 1135.54(C-O-C str), 780.384(C-Cl) | ||
| AZ-8 | 3450.05(N-H str), 3035.66(Ar-CH str), 1721.41(C=O str), 1652.33
(C=N str),1550.2 (N=O), 1465.78(CH-N str),981.93(N-O),755.99(C-Cl) |
||
| AZ-9 | 3410.225(N-H Str), 3032.145(Ar-CH Str), 1725.625(C=O Str), 1650.23(C=N Str), 1340.35(C-F Str),757.134(C-Cl) | ||
| AZ-10 | 3590.237(O-H Str), 3465.12(N-H Str), 3030.005(Ar-CH), 1712.36(C=O Str), 769.65(C-Cl), 595.2(C-Br) | ||
| AZ-12 | 3470.56(N-H Str), 3029.70(Ar-CH), 1713.41(C=O Str), 1645.13(C=N Str), 1483.79(CH-N Str), 7580352(C-Cl) | ||
| AZ-13 | 3550.72(O-H Str), 3400.55(N-H Str), 3032.44(Ar-CH Str), 1715.16(C=O), 1647.88(C=N), 1470.03(CH-N), 761.58(C-Cl) | ||
| AZ-14 | 3465.22(N-H Str), 3040.37(Ar-CH Str), 1710.34(C=O Str), 1635.02(C=N), 1470.85(CH-N Str), 1135.54(C-O-C), 780.384(C-Cl) | ||
| AZ-15 | 3456.26(N-H Str), 3032.76(Ar-CH), 1741.21(C=O), 1656.69(C=N), 1556.32(N=O), 982.33(N-O), 760.11(C-Cl) |
Table 7: Schrodinger Glide XP scores of synthesized compounds for anticancer activity
| Target | PDB
ID |
Compound | Glide
score |
| GAMMA-TUBULIN | 1Z5W | AZ-13 | -8.94 |
| AZ-5 | -7.35 | ||
| AZ-3 | -6.56 | ||
| AZ-9 | -6.37 | ||
| AZ-10 | -6.34 | ||
| AZ-14 | -6.11 | ||
| AZ-15 | -5.52 | ||
| AZ-12 | -5.43 | ||
| AZ-8 | -5.37 | ||
| AZ-2 | -5.33 |

Graph 1: 1HNMR report for compound AZ -12

Graph 2: Mass spectrum report for compound AZ – 13

Fig. 4: Docking image of AZ-13 to Gamma tubulin – 1Z5W
The tested derivatives showed cytotoxic activity against the tested cancer cell lines. But the compound AZ-13 showed significant anticancer activity particularly against L929 cell line. The results are shown in table 8.
Based on the Schrodinger Glide XP score, the compounds AZ-13, AZ-5 and AZ-3 were selected for in vitro anticancer evaluation against MCF7 and L929 cell lines by MTT assay method. Docking scores for anticancer activity are presented in table 7 and the docking image of AZ-13 is shown in fig based on the Schrodinger Glide XP score, the compounds AZ-9, AZ-14 and AZ-3 were selected for antitubercular evaluation.
Docking scores for antitubercular activity are presented in table 9 and the docking image of AZ-9 is shown in figure 5. All the selected compounds showed anti-tubercular activity. But the compound AZ-9 showed significant anti-tubercular activity comparing with other selected compounds. The results are shown in table 10. gure 4.
Table 8: In vitro cytotoxicity of selected compounds
| Con. (μg/ml) | Percentage inhibition |
| AZ 3 | |
| MCF7 | |
| 1 | 17.40 |
| 10 | 22.12 |
| 100 | 34.45 |
| 250 | 42.34 |
| 500 | 49.52 |
Con. – Concentration
Table 9: Schrodinger Glide XP scores of synthesized compounds for anti tubercular activity:
| Target | PDB ID | Compound | Glide score |
| MYCOBACTERIUM TUBERCULOSIS-
CYTOCHROME P450 14 ALPHA-STEROL DEMETHYLASE (CYP51) |
1EA1 | AZ-9 | -9.43 |
| AZ-14 | -8.82 | ||
| AZ-3 | -8.62 | ||
| AZ-10 | -8.1 | ||
| AZ-13 | -7.97 | ||
| AZ-5 | -7.79 | ||
| AZ-12 | -7.35 | ||
| AZ-8 | -7.17 | ||
| AZ-15 | -7.2 | ||
| AZ-2 | -6.95 |
DISCUSSION
In the present study, the in-silico molecular modeling studies were carried out for the selection of suitable drug candidates prior to wet lab synthesis. In-silico studies were performed on 26 analogues by means of ACD Lab ChemSketch 12.0, Marvin Sketch, Molinspiration, PASS, and Schrodinger. Of the proposed 26 analogues, 10 candidates were chosen for wet lab synthesis.
These compounds were synthesized by both conventional and microwave methods. The later one took minimum reaction time but gave maximum yield comparing with conventional method. The synthesized compounds were subjected to TLC, melting point determination, IR, 1HNMR and Mass spectroscopic studies. All these evaluation ensured the synthesized compounds. On docking with Gamma-Tubulin (1Z5W), the compounds AZ-13, AZ-5 and AZ-3 showed good glide score, these compounds were subjected to in vitro anticancer evaluation against MCF7 and L929 cell lines by MTT assay method. The results showed that the compound AZ-13 having significant anticancer activity particularly against L929 cell line. Of course this compound needs further studies such as toxicity and in vivo evaluation. On docking with Cytochrome P450 14 Alpha-Sterol Demethylase (CYP51), the compounds AZ-9, AZ-14 and AZ-3 showed good glide score, these compounds were selected for antitubercular study by REMA method. The compound AZ-9 showed significant antitubercular activity comparing with other selected compounds. This compound also needs further study. So it is clear that further works needed to be done in the future for the development of clinically useful chemotherapeutic agents.

Fig. 5: Docking image of AZ- 9 to CYP51 - 1EA1
Table 10: Anti tubercular activity of selected compounds
| Conc.
μg/ml |
Percentage Inhibition |
| AZ 3 | |
| 0 | 0 |
| 50 | 41 |
| 100 | 50 |
| 150 | 61 |
| 200 | 72 |
| 250 | 76 |
Conc. – Concentration
CONCLUSION
In summary, the prime objective of the present work was to design, synthesize and biologically screen some of the azetidinone containing isatin derivatives. The present work involved the preliminary in-silico screening of various analogues to analyze for their molecular descriptors using computational softwares. Derivatives with desired physicochemical properties, obeying Lipinski Rule of Five and those with no violations were chosen for wet lab synthesis. Synthesis of ten analogues was performed and the purity of the same was ascertained by consistency in melting point and Rf value. The compounds were characterized by IR, NMR and Mass spectral studies. Selected derivatives were screened for antimycobacterial and anticancer activity. Activities of the screened analogues were comparable, reflecting the novelty of azetidinone analogues with improved biological activity. Azetidinone and its analogues have established themselves as good antibiotics. This work has proved the biological action of some of the synthesized analogues as antimycobacterial and anticancer agents. The analogues can be subjected to further detail pharmacological screening for consideration as drug candidates.
ACKNOWLEDGEMENT
We would like to thank Mr. J. Kumaran, M. Pharm. Assistant Professor, P. S. College of Nursing, Thalakulam, Kanyakumari District, Tamil Nadu, India for his assistance in the preparation of this manuscript.
COMPETING INTERESTS
None
FUNDING
None
REFERENCES