Department of Chemical Engineering, AlagappaChettiar College of Technology, Anna University, Chennai 600025, Tamilnadu, India.
Email: radhavel@yahoo.com
Received: 12 Aug 2014 Revised and Accepted: 10 Sep 2014
ABSTRACT
Antibiotics are one of the most common pharmaceutical products, used for the treatment of bacterial ,fungal and parasitic infections. Among antibiotics, tetracyclines are extensively used in both human and animal welfare. Hence the monitoring and estimation of the levels of tetracycline in pharmaceutical products and effluents have become a necessity for researchers and industries. Current methods for estimation are based on high-level technologies ,and suffer from several disadvantages such as being time consuming, expensive and require extensive training to operate.Much focus has been made on the development of simple ,quick and inexpensive methods that can be used in a routine manner. Most methods use either redox reaction of the tetracycline using an oxidizing agent or the use of polyvalent cations for chelation and complexometric reactions. Spectrophotometric methods for detection of antibiotics are simple but rare. The objective of this review article is to present an insight into the various spectrophotometric methods available for the detection of tetracycline, with data regarding the reagents, wavelength used for the measurement and optimum concentration range applicable for each method.
Keywords: Tetracylcine , Spectrophotometric methods , Antibiotics ,wavelength, Oxidizing agents.
INTRODUCTION
Pharmaceutical products have become an integral part of today’s world-ranging from healthcare to cosmetics. Antibiotics are one of the most common pharmaceutical products, used for the treatment of bacterial, fungal and parasitic infections. Tetracyclines are a class of broad-spectrum antibiotics, used extensively in veterinary and human healthcare sector.
This group is characterized by their linearly fused tetracyclic backbone ring structure, the richly substituted A ring, and a heavily oxidized periphery that includes a C11, C12, and C11a keto-enol configuration. The latter feature allows tetracycline to chelate divalent cations and bind to the 30S ribosomal subunit [1-3]. Their main mode of action is by the inhibition of protein synthesis by binding to 30S ribosome [4].
Several methods are currently available for the analysis of pharmaceutical products and effluents, the most common ones being high performance liquid chromatography (HPLC) and solid phase extraction processes. Although they are accurate, they suffer from several disadvantages such as being time consuming, expensive and require extensive training to operate.
Since the pharmaceutical industry is operated in a continuous manner, the routine analysis using these technologies is quite an obstacle for the drug manufacturing companies. Hence, there is a need to develop simple, quick and inexpensive methods that can be used in a routine manner.
Spectrophotometry involves the estimation of the concentration of a substance with the absorbance of light (visible/UV range) by the substance and comparing it with standard values, measured under identical conditions. Often, reagents that react specifically with the substance to produce or enhance the colour of the solution (chelating agents, oxidizing agents, dyes, etc.) Are used.
This method is widely used for industrial and research purposes, since it is relatively inexpensive, easy to carry out and can be done in a routine manner. However the direct use of spectrophotometry for the analysis of antibiotics is not very common, due to the reasons stated later in the text. This paper is intended to give an insight into some of the spectrophotometric methods for the analysis of tetracycline.
Tetracycline antibiotics
The era of tetracycline antibiotics began with the discovery of Chlortetracycline in 1948 by Benjamin Duggar from Streptomyces aureofaciens[5] and was called Aureomycin due to its yellow hue. The second member to be discovered was Oxytetracyclin (originally called Terramycin) in 1950 from Streptomyces rimosus by Finlay. A. C[6]. Due to widespread use, microorganisms began showing resistance to these natural tetracycline. Hence, semi-synthetic tetracycline was developed later. [2]. The third generation tetracycline analogs was developed recently, with tigecycline receiving Food and Drug Administration approval in 2005 [3].
Structure of tetracycline
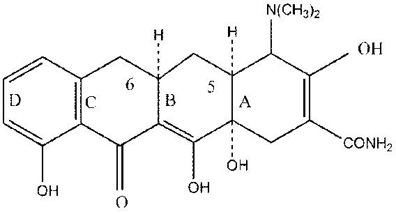
The structure of tetracycline was first resolved by the Woodward Group in 1953 [7] Fig.1. Tetracycline have linearly fused tetracyclic rings as their backbone (which are heavily substituted) and a unique C2 amide group. The oxidized lower periphery of the molecule includes a keto-enol configuration across the C11, C11a, and C12 positions, which is responsible for chelation of metal ion.
This invariant feature and hydroxyl groups at C10 and C12a, which are involved in hydrogen bonding and the conformation of tetracycline, are important for interaction with the 30 S ribosomal subunit [2,7]. Modifications to the lower periphery, such as those at C1 and C10–C12a, are detrimental to antibiotic activity, while parts of the upper periphery of tetracycline are tolerant of chemical changes and thus have been the target of semi-synthetic modifications [9].

Fig. 1: Structure of tetracycline
Types of tetracycline
Tetracycline is produced by the Streptomyces genus of Actinobacteria. The ones used today are either natural or semi-synthetic Fig.2 [2].
The members have similar backbones and differ only in the side chains, which confer different properties to the antibiotic.
Mode of action
Tetracycline was believed to be bacteriostatic, but it was found later that they can be both bacteriostatic and bactericidal. They have two modes for antibiotic action as explained below.
Binding to a bacterial ribosome
The tetracycline’ primary mode of action involves binding to the 30S ribosome of bacteria, thus allosteric all inhibiting the binding of amino-acyl-tRNA at the acceptor site (the A-site).
As a result protein synthesis is inhibited, which causes a reversible bacteriostatic effect [4].
Disruption of cytoplasmic membrane
Some tetracycline (anhydrotetracyclines, 4-epi-anhydro tetracyclines etc.) Appears to directly perturb the bacterial cytoplasmic membrane, leading to a bactericidal response, The membrane-disrupting properties of the atypical tetracycline are probably related to the relative planarity of the B, C, and D rings so that a lipophilic, non ionized molecule predominates.
On interaction with the cell, the atypical tetracycline is likely to be preferentially trapped in the hydrophobic environment of the cytoplasmic membrane, disrupting its function. This gives a bactericidal effect. [10-11]. However, these are toxic to all eukaryotic as well as prokaryotic cells, and are hence not of much therapeutic use [2].

Fig. 2:Different types of tetracycline in the chronological order [2]
Properties of tetracyclines
RafalKlajn[12]has designed an excellent website that gives the physical and chemical properties of tetracycline. Of importance for the current review is the chelation and oxidation behaviour. Tetracycline is capable of chelation with a number of divalent metal ions, mostly along the lower peripheral region. This can occur both in vivo and in vitro [13,17]. Redox reactions can also be used to develop colours with the help of oxidizing agents like KMnO4. The phenolic character of the C10 –OH group is utilized here.

Fig. 3:Complex formation with tetracycline [12].
Different methods involved in the spectrophotometric analysis of tetracycline.
Using chloramine-T –[18]
The drug solution is treated with Chloramine –T reagent in an alkaline medium which leads to the development of red colour for both tetracycline and Doxycycline at their corresponding absorbance measurement of 535 nm and 525 nm respectively. Multivariate method is used for the reactions which require the best conditions. (1.03x10-5 to 3.61x10-4 moles/litre) is the concentration range for Tetracycline and (1.75x10^-5 to 3.48x10^-4) is the concentration range for Doxycycline.
Using azo dye-[19]
Reaction of diazotized p-nitroaniline reagent with tetracycline in basic medium results in formation of mono azo dye complex, which is water soluble and exhibits stability. The colour of the complex is violet and shows maximum absorbance at 569 nm which. A concentration of 2-400 microgram/ 25 millilitre of final volume can be measured.
Using sodiummolybdate-[20]
This method involvesthe addition of 0.01 M Sodium Molybdate and 0.2-4.0 M Hydrochloric acid to tetracycline solution. The mixture is subjected to heat in a water bath at a temperature ranging from 95 to 105O C for 15 minutes, which results in production of an amber colour that can be measured at 430 nm. This is suitable for a concentration range of 10-140 microgram/millilitre.
Using iron-[21]
In this spectrophotometric assay of tetracycline, Iron(III) and 0.001 M Sulphuric acid is used. When Iron(III) reacts with tetracycline in 0.001 M sulphuric acid, it leads to a complex formation. Tetracycline Hydrochloride, Chloro Tetracycline Hydrochloride, Demeclocycline, OxyTetracycline Hydrochloride and Doxycycline can be measured using the assay.
Using cupric chloride-[22]
Tetracycline derivatives form complex with cupric chloride in the alkaline medium which produces yellowish green colour. Oxy Tetracycline (395 nm), ChlorTetracycline(410 nm), and Methacycline and Deoxycycline (400 nm) can be measured in the concentration range of 0-20microgram/millilitre.
Using ferric ammonium sulphate-[21]
The drug reacts with ferric ions to give a complex, which leads to the formation of brown colour that can be measured at 430 nm. The combination of complex forming agent (Fe+2) with the drug is in the ratio of 1:2. The complexing agent binds with various drug compounds of tetracycline family like tetracycline hydrochloride, chlorotetracycline hydrochloride, demeclocycline, oxytetracycline hydrochloride and doxycycline.
Using redox reactions-[23]
The method is based on the reaction of tetracycline with potassium permanganate in the alkaline medium to form a green color of potassium manganate at room temperature. The intensity of which is proportional to the concentration of the drug in the solution. The colour is measured at 610 nm. The absorbance-concentration plot was found to be rectilinear over the range of 1.0-30.0 μg/ml.
Using charge transfer-[24]
On addition of Tetracycline and Oxy tetracycline to the mixture of Chloranilic acid and Acetonitrile, the colour of the solution changed from yellowish-pink to violet, to the charge transfer mechanism between the n donors of the drug compounds and ll(pie) acceptors of Chloranilic acid in acetonitrile. The colour can be observed at 540 nm. The method can be used within the concentration range of 2.5-30 microgram/millilitre for Tetracycline and 5-40 microgram/millilitre for Oxy Tetracycline.
Using uranyl acetate-[25]
The reagent combines with the drug in NN-Dimethylformamide medium that leads to a complex formation, giving orange-red colour, with various tetracycline having a different wavelength of maximum absorbance-Tetracycline Hydrochloride (414 nm, concentration ranging of 0-115microgram/millilitre), Oxy Tetracycline hydrochloride (406 nm, concentration of 0-120microgram/millilitre), Chlortetracycline (419 nm, concentration of 0-125microgram/millilitre), Doxycycline Hydrochloride (405 nm, concentration range of 0-135microgram/millilitre) and Methycline (402 nm, concentration of 0-110microgram/millilitre).
Using ammonium vanadate-[26]
Using Ammonium vanadate and sulphuric acid, the concentration of Tetracycline, Cephalosporins and their associated drug components can be determined with the help of a spectrophotometer. The mixture of Ammonium vanadate and the drug is allowed to boil in the sulphuric acid medium for 10 minutes, and the colour developed is observed at 750 nm. The concentrations of Tetracycline Hydrochloride, OxyTetracycline Hydrochloride, Doxycycline Hyclate, Demeclocycline Hydrochloride, Chlortetracycline Hydrochloride, Cephalothin Sodium, Cephaloridine and cephapirinsodium can be determined by this method.
Using zirconium ions-[27]
Reaction of Zirconium(IV) with the tetracycline gives coloured complexes, with the intensity of colour being proportional to the amount of tetracycline present. OxyTetracycline and Hostacycline can be measured in the concentration range of 0.2-6.1 microgram/millilitre and 0.5-7.3microgram/millilitre respectively. This +is a rapid method applied in analysis of pharmaceutical formulations and urine.
DISCUSSION
The above methods can be used effectively in pharmaceutical industries, with good sensitivity and reproducibility. Although the earlier methods are easy and inexpensive, they suffer from the following disadvantages they cannot be used to distinguish between the various types of tetracycline and their degradation products. Only pure compounds can be measured, as the presence of other ions or compounds can interfere with the reactions. These methods cannot be applied to real-time research areas like analysis of pharmaceutical effluents, degradation studies, etc.
CONCLUSION
Though spectrophotometric methods are simple, they are not accurate, quite sensitive to additives and other materials present that may interfere during the detection process. Future research must focus on the development of sensitive but selective estimation of antibiotics.
CONFLICT OF INTERESTS
Declared None
REFERENCES