Department of Industrial Biotechnology, Bharathidasan University, Tiruchirappalli, Tamilnadu, India.
Email: sekarbiotech@yahoo.com
Received: 16 Jun 2014 Revised and Accepted: 04 Sep 2014
ABSTRACT
Objective: Ayurvedic formulary contains fermented polyherbal medicines which includes Balarishta and Chandanasava. The changes occurring in the successive stages of fermentation of these medicines are least understood such as organoleptic and biochemical parameters.
Methods: The samples were collected from a manufacturing unit. The sensory evalution of color, smell, touch and taste was carried out. Biochemical estimations, GC-MS analysis, estimation of aflatoxins and heavy metals were performed.
Results: The native fermentation led to browning with herbal odouration and sour taste in both Balarishta and Chandanasava preparations. pH was drastically reduced to acidic in Balarishta when compared to Chandanasava. Total solids drastically reduced in Chandanasava than in Balarishta. In both medicament fermentations, total sugar gradually decreased with concomitant increase in ethanol. Formation of acetic acid, gradual decrease in aminoacid and starch contents signify the fermentation process. Both Balarishta and Chandanasava were devoid of methanol, aflatoxins and heavy metals like mercury, lead and cadmium.
Conclusion: Preparation of Ayurvedic fermented medicines exemplified by Balarishta and Chandanasava are earmarked with major changes in organoleptic and biochemical parameters and are found safe by the absence of toxic components assessed.
Keywords: Ayurveda, Balarishta, Chandanasava, Polyherbal fermentation, Sugar utilization, Starch utilization, Ethanol, Aflatoxins, Heavy metals.
INTRODUCTION
Ayurveda comprises of various types of medicines including Fermented Traditional Medicines (FTM) such as arishta (fermented decoctions) and asava (fermented infusions). The arishta and asava are native fermentations and considered as unique and valuable therapeutics [1] because of their i) better keeping quality (preservation) – which is likely due to the contribution of fermentation. It implies that microbes involved in this process mediate this process. ii) Enhanced therapeutic properties – which may be due to the microbial biotransformation of the initial ingredients of arishta and asava into more effective therapeutic end products. iii) Improvement in the extraction of drug molecules from the herbs – which may be due to the alcohol-aqueous milieu which is also produced by microbes. iv) Improvement in drug delivery in the body – which may also be at least partially due to microbial biotransformation or because of alcohol-aqueous milieu. The potential of arishta and asava is controlled by the profile of chemical compounds, can be modulated based on the ingredients, type of fermentation and microorganisms involved. There are 89 products of arishta/asava. Balarishta and Chandanasava are among the commonly used ones [2, 3].
The Balarishta whose composition (Table 1) is given below, and often recommended for paralysis, nervous disorders, gastric problems, diuretics, auto immune diseases, rheumatism and for general health by the Ayurvedic Practitioner [2, 3]. Chandanasava whose composition (Table 1) is given below, and recommended for treating human ailments such as gastric problems, diuretic, urinary disorders, spermatorrhoea, gonorrhoea, auto immune diseases and as appetizer and for cooling effect [3].
There are few reports on the organoleptic and preliminary biochemical parameters of various arishta and asava. For example, in Aswagandharishta [4], Arjunarishta [5, 6] Dasamoolarishta [7, 8], Karpurasava [9], Mustakarishta [10], Ashokarishta [11, 12], Datryarishta [13], Drakshasava [14], and in Ashokarishta, Dasamoolarishta, Balarishta [15]. Above studies in general indicate acidic nature, clear appearance with sweet and astringent taste and fine aroma. Arishta and asava are fermented preparations using jaggery and sugars as carbon source. The presence of ethanol was reported widely whose concentration differ with the nature of preparation. Highest concentration of alcohol (13.3%) was reported in Ashwagandharishta [16] and the lowest (3.72%) in Dasamoolarishta [7]. However, the sequential changes in fermentation of these FTM are poorly understood. Hence the objective of this study is to identify the changes in organoleptic and biochemical features during the course of fermentation.
MATERIALS AND METHODS
The samples were collected from the manufacturing unit of M/S. Astanga Ayurvedics (P) Ltd, Tiruchirappalli, Tamilnadu, India. The organoleptic characters such as colour, smell, touch, and taste were evaluated upto 35 days in 5 days interval during the course of fermentation [17].
Physical and biochemical evaluation
All physical and biochemical parameters such as, pH, total solid content [18], total sugar [19], reducing sugar [20], alcohol content [21], acetic acid [22], specific gravity [23], proteins [24], total free amino acids [25], and starch [26], were determined upto 35 days in 5 days interval during the course of fermentation.
Gass chromatography-mass spectroscopic analysis
Balarishta and Chandanasava samples were concentrated and the maximum amount of water were removed using evaporation in the hot air oven at 80°C for 24-48 hours before GC-MS (PerkinElmer Clarus 500) analysis [27]. Mass selective detector (MSD) was used. The samples were injected manually, the components were separated on stationary phase column (30M length x 0.25 mm dia x 0.25 µm film thickness) composed of DB-5 MS (5% phenyl methyl polysiloxane) and Helium (carrier gas) was the mobile phase and its flow rate was maintained at 1 ml/min. There were four different temperature programs such as 80°C (0 hold), 180°C (10 min), 180°C (0 hold) and 280°C (8 min) were followed. The peaks were matched with phytochemistry library: NIST (The National Institute of Standards and Technology) MS search library version 2.0.
Table 1: Composition of Balarishta and Chandanasava
| Balarishta | |||
| Sanskrit name | Botanical name | Part used | Quantity |
| Bala | Sida rhombifolia L. | Root | 11 Kg |
| Aswagandha | Withania somnifera (L.) Dunal | Root | 11Kg |
| Guda | Jaggery | -- | 75Kg |
| Dhataki | Woodfordia fruticosa Kurz. | Flower | 700 g |
| Jiwanthi | Holostemma ada-kodien Schult. | Root | 360g |
| Erandah | Ricinus communis L. | Bark | 360g |
| Rasna | Alpinia galanga Willd. | Root | 180g |
| Ela | Elettaria cardamomum Maton | Fruit | 180g |
| Prasarini | Merremia tridentata (L.) Halier f. | Root | 180g |
| Lavangam | Syzygium aromaticum (L.) Merr. & L. M. Perry | Flower | 180g |
| Suganthimula | Vetiveria zizanioides Stapf | Root | 180g |
| Gohsurah | Tribulus terrestris L. | Fruit | 180g |
| - | Water | - | 360 litres |
| Chandanasava | |||
| Chandanam | Santalum album L. | Wood | 120g |
| Hriberam | Plectranthus vettiveroides (Jacob) N. P. Singh & B. D. Sharma | Root | 120g |
| Musta | Cyperus rotundus L. | Tuber | 120g |
| Kasmari | Gmelina arborea Roxb. | Wood | 120g |
| Indivara | Monochoria vaginalis C. Presl | Tuber | 120g |
| Priyangu | Callicarpa macrophylla Vahl. | Flower | 120g |
| Padmaka | Prunus cerasoides D. Don | Wood | 120g |
| Lodhra | Symplocos cochinchinensis S. Moore | Bark | 120g |
| Manjista | Rubia cordifolia L. | Tuber | 120g |
| Rakthachandana | Pterocarpus santalinus L. f. | Wood | 120g |
| Patha | Cyclea peltata (Lam.) Hook. f. & Thomson | Tuber | 120g |
| Bhunimba | Andrographis paniculata Nees | Whole plant | 120g |
| Vatha | Ficus benghalensis L. | Bark | 120g |
| Pippla | Ficus religiosa L. | Bark | 120g |
| Sathi | Kaempferia galanga L. | Tuber | 120g |
| Parpata | Hedyotis corymbosa (L.) Lam. | Whole plant | 120g |
| Madhuca | Glycyrrhiza glabra L. | Rhizome | 120g |
| Rasna | Alpinia galanga Willd. | Tuber | 120g |
| Patola | Trichosanthes lobata Roxb. | Stem | 120g |
| Kanchanara | Bauhinia variegata L. | Bark | 120g |
| Amra | Mangifera indica L. | Bark | 120g |
| Mocarasa | Bombax ceiba L. | Gum | 120g |
| Mridvika | Vitis vinifera L. | Fruit | 2400g |
| Guda | Jaggery | -- | 6kg |
| Dhataki | Woodfordia fruticosa Kurz. | Flower | 1800g |
| -- | Sugar | -- | 9kg |
| -- | Water | -- | 70 litre |
Quantitative analysis of Aflatoxins (G1, G2, B1 and B2) and heavy metals (Hg, Pb and Cd)
The 50 ml of samples (decoction and infusion) were added with 5g sodium chloride, 300 ml methanol – water extraction solvent and 100 ml hexane or cyclohexane. Then the mixture is blended using high speed blender for 3 min. and filtered. Ten ml of clear filtrate was added with 60 ml of Phosphate Buffered Saline solution (PBS) in the immune affinity column reservoir. Affinity column contain antibodies raised against aflatoxins B1, B2, G1 and G2. Column have a capacity of not less than 100ng of aflatoxin B1 and should give recovery of not less than 80% for aflatoxin B1, B2 and G1 and not less than 60% for aflatoxin G2 when applied as an aqueous standard solution in 10% methanol containing 5ng of each toxin.
The above sample mixture is mixed well and rinsed the residue with 1-2 ml of PBS and ran the affinity column chromatography [28]. The eluted portion is collected and analyzed in the High Performance Liquid Chromatography (HPLC) with standards. The fluorescence detector was used in the model (Merck-Hitachie) operated at a wavelength range between 362-455 nm. The samples were injected manually, the components were separated on stationary phase column (150 mm×4.6 mm) YMC pack ODS A (Equivalent to C18 Column) and the mobile phase consisted of H2O: MeOH: Acetonitrile in the proportions 60:20:20 v/v (to each litre of mobile phase add 119 mg KBr+350 ml of 4 mM HNO3 and mixed to dissolve) while the flow rate was maintained at 1 ml/min at ambient temperature. Aflatoxins were identified by comparing their retention time (Rt) with those of supalco certified reference standards (conc. of standard mixture aflatoxins B1-4.910 ng/ml, B2-1.420ng/ml, G1-5.170 ng/ml and G2-1.665 ng/ml). They were quantified by measuring peak areas from these chromatograms. Samples were analyzed for Lead (Pb) using flame atomic absorption spectrophotometer and for Cadmium (Cd) and Mercury (Hg) using hydride generation technique [28].
Statistical methods
All experiments were carried out in triplicates. The values were represented as mean ± standard deviation (SD) using OriginPro 8 software.
RESULTS AND DISCUSSION
Organoleptic changes
Organoleptic changes in Balarishta from light brown to dark brown indicated the likely extraction of phytochemicals from herbal ingredients (Table 2). The initial preparation was fragrant in nature which could be attributed to the presence of flavor contributing herbals like Elettaria cardamomum Maton, Syzygium aromaticum L. and Vetiveria zizanioides Stapf. However from 20th day of fermentation, the smell changed from fragrant to herbal also indicative of the extraction of phytochemicals. Similar changes in organoleptic characters in the fermentation of Chandanasava were observed (Table 2). The feel of touch was maintained as watery during the entire course of fermentation of both preparations. In the initial stages of Balarishta preparation, the taste was sweet due to the presence of bulk volume of jaggery in the fermentation soup. Subsequently, the sugar was utilized by microorganisms and hence the taste gradually changed into sour taste due to fermentation and also possibly the extraction of phytochemicals. In the initial stages of preparation of Chandanasava, the taste was sweet and slightly bitter which changed into astringent and bitter and then finally to astringent taste.
Table 2:Changes in organoleptic characters of Balarishta and Chandanasava during fermentation
| Days of fermentation | Balarishta | Chandanasava | ||||||
| Colour | Smell | Touch | Taste | Colour | Smell | Touch | Taste | |
| 0 | Light brown | Fragrant | Watery | Sweet | Brown | Herbal | Watery | Sweet, Slightly bitter |
| 5 | Light brown | Slightly pleasant | Watery | Slightly sweet and highly sour | Brown | Slightly alcoholic | Watery | Astringent, Bitter |
| 10 | Dark brown | Pleasant | Watery | Slightly sour | Brown | Slightly alcoholic | Watery | Astringent, Bitter |
| 15 | Dark brown | Pleasant | Watery | Slightly sour | Dark brown | Alcoholic | Watery | Astringent, Bitter |
| 20 | Dark brown | Herbal | Watery | Slightly sour | Dark brown | Alcoholic | Watery | Astringent |
| 25 | Dark brown | Herbal | Watery | Slightly sour | Dark brown | Alcoholic | Watery | Astringent |
| 30 | Dark brown | Herbal | Watery | Slightly sour | Dark brown | Fragrant | Watery | Astringent |
| 35 | Dark brown | Herbal | Watery | Slightly sour | Dark brown | Fragrant | Watery | Astringent |


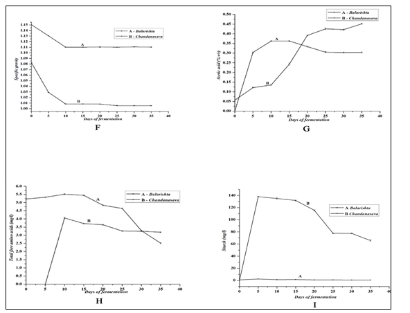
Fig. 1:Biochemical changes in Balarishta and Chandanasava during the course of fermentation. A. pH, B. Total solids, C. Total sugar, D. Reducing sugar, E. Ethanol, F. Specific gravity, G. Acetic acid, H. Free amino acids, I. Starch. Upright bars in the plotted values indicate standard deviation.
Table 3:Compounds identified by GC-MS analysis in Balarishta and Chandanasava.
| Name of the compounds | |
| Balarishta | Chandanasava |
| Ethyl alcohol | Carbon dioxide |
| Acetic acid ethoxy- | 2-oxo-3-methyl-cis-perhydro-1,3-benzoxazine |
| Formic acid, 2-methyl propyl ester | Acetaldehyde |
| 2-Butanone, 3-hydroxy- | Ethanol |
| Ethanol, 2,2’-[oxy bis (2,1-ethane diyloxy)] bis- | 1-Propanol |
| Propanoic acid, 2 –hydroxy-, ethyl ester (s)- | Acetic acid |
| Dl-Glyceraldehyde | Ethyl acetate |
| 2-Hydroxypropionic acid | 1-Propanol, 2-methyl- |
| 2-Proponone, 1,3-dihydroxy- | 1-Butanol,3-methyl- |
| Glycerin | 1-Butanol,2-methyl- |
| Hexenal, 2-ethyl- | Propanamide, N,N-dimethyl- |
| 4H-Pyran-4-one, 2,3dihydro-3,5-dihydroxy-6-methyl- | 2,3-Butanediol |
| 1,2,3,4-Butanetetrol, [S-(R*,R*)]- | Propanoic acid, 2-hydroxy-, ethylester |
| 2’,3’-Dideoxyribonolactone | Dimethyl Sulfoxide |
| 2-Furancarboxaldehyde, 5-(hydroxymethyl)- | Decane |
| 1,2,3-Propanetriol, monoacetate | Eucalyptol |
| 4H-Pyran-4-one, 2,3dihydro-3,5-dihydroxy-6-methyl- | Phenylethyl alcohol |
| 2H-Imidazol-2-one, 1,3-dihydro-4-methyl- | Dodecane |
| D-Galactitol-5-O-hexyl- | Tetradecane |
| 1,6-Anhydro-2,4-dideoxy-beta-D-ribo-hexopyranose | |
| N-Hexadecanoic acid | |
| 13-Octadecenal, (D)- | |
| Cyclohexane, 1-(1,5-dimethylhexyl)-4-(4-methylpentyl)- | |
| Oleic acid | |
| 15-Hydroxypentadecanoic acid | |
| 3-Benzyl-2-phenyl-2,3,4,5-tetrahydro-1h-benzo[d]azepine | |
| Naphthalene,1,2,3,4-tetrahydro-1-methoxy- | |
| 2-Methyl-z,z-3,13-octadecadienol | |
| Cyclohexane, (2,2-dimethylcyclopentyl)- | |


Fig. 2:GC-MS spectra of 35 days old fermented samples. A. Balarishta, B. Chandanasava.
Biochemical changes
There are few reports indicating the change in biochemical composition as a result of fermentation. These studies in general indicate decrease in pH, gradual reduction of sugar and gradual increase in the ethanol content with no or minor changes in specific gravity and solid content [29, 30, 31, 32]. In Balarishta, during the initial 5 days of fermentation, pH drastically reduced from 5.5 to 3.5 and then maintained till the end of fermentation (Figure 1). It is an indication that some major biochemical changes occur during the initial 5 days period. In Chandanasava, during initial 5 days of fermentation, pH gradually reduced from 4.7 to 3.7 and maintained as such till the end of fermentation (Figure 1). In Balarishta, the level of total solids showed a gradual decrease from 0 day to 15th day. However in Chandanasava, total solids showed drastic changes in the 5 days of fermentation from 219.21mg/l to 97.9mg/l and then gradually reduced to 6.5mg/l. It is because of the presence of chopped herbal materials which were settled in the successive stages of fermentation (Figure 1).
Similarly, the level of total sugar in Balarishta gradually reduced up to 15 days which is matched with a concomitant increase in the level of ethanol (Figure 1). However, the availability of reducing sugar gradually increased upto 10 days indicating the possible formation of reducing sugar utilizing total sugar. In the case of Chandanasava, total sugar suddenly reduced in the 5 days of fermentation, which is correlated with an increase in the level of ethanol during this period (Figure 1). These changes can also be attributed to the growth and metabolic activity of microbes present in these preparations. The concentration of ethanol in the final product of Balarishta was 6.5%v/v. In the case of Chandanasava, ethanol concentration was increased up to 15 days of fermentation and slightly reduced and maintained at 9.3%v/v. The kinetics of gradual decrease or disappearance of sugar and concomitant increase in the content of alcohol was reported in Aswagandharishta [33] and Kumaryasava [34]. The specific gravity was maintained around 1.1 in the final stages of fermentation of Balarishta and around 1.0 in Chandanasava indicating the watery nature of the preparation (Figure 1). It thus coincides with the sensory feel of touch as watery. The level of acetic acid was slightly less (0.3%) in Balarishta than Chandansava (0.4%) which could probably one of the causes of sour taste in the final product (Figure 1). Similar type of acid production was observed in Ashvagandharishta and Aravindasava (Weerasooriya et al, 2006). The content of free amino acid showed a continuous yet gradual decrease during the entire course of fermentation of Balarishta. However, it was found after 10 days of fermentation in Chandanasava and slowly reduced till the end of preparation (Figure 1).

Fig. 3:HPLC chromatogram for checking the presence of aflatoxins in 35 days old fermented samples. A. Standards of aflatoxins – Standards of aflatoxins – G2, G1, B2 and B1, B. Balarishta sample, C. Chandanasava sample.
Starch though present in lower concentration (1-2.5mg/l) in Balarishta, the level was gradually reduced in the successive stages of fermentation (Figure 1). In this preparation, root of Withania Somnifera (Aswagandha) is the major ingredient (tuber) which is likely to be the source of starch apart from the contribution by many other rooty raw materials. However, the level of starch was very high on the 5th day of fermentation of Chandanasava (138.45mg/l) which was gradually reduced (Figure 1). This could be due to the presence of many tuberous raw materials in Chandanasava. Presence of protein in the fermentation suspension could not be detected in any of the stages of fermentation of Balarishta and Chandanasava.
Safety parameters
Balarishta and Chandanasava being fermented products, should be checked for the presence of toxic alcohol residue like methanol (Figure 2, Table 3). It was found to be absent in both samples by GC-MS analysis. Further, there were several volatile organic compounds and alcohols in both preparations (Table 3). Generally, Indian products particularly herbal product were suspected for the presence of aflatoxins and heavy metals. According to Journal of American Medical Association (JAMA) heavy metals like lead and mercury are present in the Ayurvedic herbal medicinal product of India [35] and could be the cause of toxicity and ill effects. Similarly, aflatoxins primarily produced by Aspergillus sp. could be suspected [36]. But aflatoxins (Figure 3) and heavy metals like mercury, cadmium and lead were found to be lacking in these preparations ensuring safety for consumption [37]. As per World Health Organization, the permissible level for cadmium, mercury and lead were 0.3 ppm, 1 ppm and 10 ppm respectively [38].
CONCLUSIONS
In both Balarishta and Chandanasava, organoleptic changes coupled with metabolization of sugar and fermentative production of ethanol is primarily accomplished. Gradual increase in the ethanol content could be responsible for the extraction of certain phytochemicals from the herbal ingredients which may not be feasibly in aqueous milieu alone. So the Ayurvedic claim that these medicines have better keeping quality and enhanced therapeutic property could have supported primarily. In both cases, gradual metabolization of sugars, free aminoacids and starch was observed. Both preparations are found safe by the absence of aflatoxins and heavy metals.
ACKNOWLEDGEMENT
The authors acknowledge the award of research project grants by the Ministry of Human Resource Development, Government of India and the award of University Research Fellowship of Bharathidasan University, Tiruchirappalli to the author AV.
CONFLICT OF INTEREST
We declare that we have no conflict of interest.
REFERENCES