Department of Pharmaceutics, School of Pharmacy, College of Pharmacy and Nursing, University of Nizwa, Birkat Al Mouz, Nizwa 616, Sultanate of Oman.
Email: philip@unizwa.edu.om
Received: 14 Aug 2014 Revised and Accepted: 10 Sep 2014
ABSTRACT
Objective: The main objective of this study was to ascertain the applicability of the modified USP Apparatus I and in situ fiber optic UV analysis for in vitro release testing of ibuprofen (model drug) nanospheres (IbNS).
Methods: IbNSwere prepared by solvent displacement and utilizing an ultrasonicator at 20KHz for 15 minutes. Characterization of the prepared IbNSinvolved particle size and shape analysis. Drug excipient compatibility was checked through differential scanning calorimeter (DSC). The accuracy, precision,and IbNS release profile obtained with the modified USP apparatus I using in situ fiber optics were compared to the traditional method of sample analysis.
Results: Results also showed the spherical shape of the IbNS(80% between 150-300 nm). DSC showed no interaction between the ingredients used in the formulation process. The fiber optics technique was accurate and precise. Percentage drug release obtained using fiber optics analysis was statistically significant (p=1.0232), and higher as compared to that obtained using the traditional siphoning method. This difference was attributed to loss of nanospheres during the pipetting (separation process)and manual errors in the traditional analysis method.
Conclusion: Fiber optics dip probe technique along with the modified USP apparatus I could be a new and better way for analysis of nano-formulations.
Keywords: Nanospheres, Ultrasonication, Fiber optics, Dip probe, In situ analysis.
INTRODUCTION
Nano drug-delivery systems, comprising a major part of Nanomedicine has the potential to revolutionize the health care setting. Nanotechnology is important in developing drug-delivery systems of clinical significance.[1]The future of nano based drug-delivery systems depend on the ease with which the pharmaceutical industry can scale-up a process. So the delivery systems are simple and efficient. One-way of improving efficiency is by raising new technologies. Fiber optics in dissolution analysis were introduced in 1990s, and is still a young science. Fiber optics allows for direct measurement (either using a dip probe or using direct beam) of the drug in the solution without having to go through the troubles of traditional method of sample analysis, which involves manual labor, long turnaround times from run to run, sampling variability among analysts during sampling, and filtering.
The current 21CFR Part 11 requirements have nearly driven the dissolution world to some sort of automated technique. [2]Although many online systems are available for dissolutions they are expensive and the automation might itself cause many troubles. A fiber-optic sensor system was used for on-line dissolution monitoring of multicomponent solid preparations containing vitamins B1, B2, and B6.[3]The ease with which a fiber optics system works can encourage even the naïve exponents to the traditional method of dissolution sample analysis technique to be familiar with the fiber optics system. In most of the cases a direct measurement in-situ is possible unless absorbance interference occurs in which such cases; special algorithms could be used to solve the issue.
Ibuprofen (Ib) ((RS)-2-(4-(2-methylpropyl)phenyl) propanoic acid) is a non-steroidal anti-inflammatory drug showing both analgesic and antipyretic activity.[4]The main side effects of this drug affect portions are gastric and duodenum. Bleeding and ulceration are common. Issues in solubility are known to be the major cause for the side-effects. Besides the large dose.[9]. Traditional method for testing ibuprofen from its formulation has been numerous, however we have not seen its analysis through a fiber optics system.
To highlight the ease with which fiber optics could be handled as compared with the traditional method of dissolution analysis, this study was undertaken. The drug Ibuprofen was a model drug to show the effectiveness of the fiber optics system over the conventional method of dissolution testing.
MATERIALS AND METHODS
Materials
Ibuprofen was a gift sample from National Pharmaceutical Industry, Rusayl, Muscat, Oman.
Acetone, isopropanol, Tween 20, sodium dihydrogen phosphate, disodium hydrogen phosphate, Hydroxy propyl methyl cellulose (E15LV) was procured from Chemistry for Life, Muscat. Double distilled water was used throughout the experiment.
Methods
Preparation of Ibuprofen Nanodispersions (IbNS)
IbNS were prepared by solvent displacement technique. The drug and the polymer were mixed in a 1:1 ratio. Ibuprofen powder (1 g) was added to a small quantity of acetone, and was designated as A. Similarly 1 g of HPMC was mixed in a mixture of acetone and water, and designated as B. The mixtures (A and B) were mixed, and designated as C. In a separate beaker 100 ml of isopronalol was taken and it was added 1% v/v tween 20, and designated as D. The C (mixture of A and B) was added to D drop by drop using a plunger under ultrasonic waves (UW 3200, Bandelin Electronic, Germany) at 20 KHz using a Homogenizer (Sonoplus SD 3200, Bandelin Electronic, Germany)for 15 minutes.
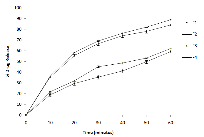
The homogenized mixture (E) was separated into two parts. One was directly put into the particle sizer (Cilas 1190D, Orleans, France) to check for size and shape in suspension form. The other was vacuum filtered(20 nm), and a concentrate made in a rotary evaporator. The mixture was washed with double distilled water for three times, and finally re-dispersed in double distilled water and immediately subjected to freeze drying for 24 hours using a freeze drier (LD Plus FD, Christ, Germany)to get freeze dried IbNS. The formulations were designated as F1 and F3 for formulations to be analyzed through dip probe technique and F2 and F4 for formulations to be analyzed through the traditional method of analysis.
Particle characterization
Particle size analysis
The particle size of the prepared formulation is essential to understand the formulation properties, and as such the particle size of the prepared IbNS was assessed in both wet and dry form. Prepared IbNS were immediately assessed after ultrasonication (wet sample, 250 ml), after freeze drying (dry mode, 500mg) and after resuspension (wet samples, 250 ml). The samples were assessed using Cilas particle sizer (Cilas 1190D, Orleans, France).
Particle shape analysis
The particle shape of the prepared formulation helps to determine the drug release characteristics as well as other colligative properties, and as such the particle shape analysis is important. The shape of the particles was determined using the Cilas Shape analyzer (Cilas,Orleans, France). Samples in wet modes (250 ml), and dry mode (100 mg) were taken to assess their particle shape.
Solubility studies
Solubility plays an important role in the dissolution and thereby absorption. To check for the change in solubility between the prepared IbNS, and poorly water-soluble pure ibuprofen, a solubility study was undertaken. For this study, the pure drug and the prepared IbNS (saturated) were added to 100 ml of three different mediums (distilled water, simulated gastric fluid, pH 1.2, simulated intestinal fluid, pH 7.4) separately in a conical flask, which were kept in an ultrasonic bath (Sonorex, Bandelin Electronic, Germany) for 30 minutes. Fiber optic probes were inserted at 0 and30 minutes, and readings taken at 264 nm using the fiber optics system(Ocean Optics QE65 Pro, Florida, USA). The experiment was conducted in triplicate.
Drug content study
Hundred milliliters of phosphate buffer was prepared, and 1 g of prepared IbNS was added to it. The mixture was crushed and sonicated at 10 kHz for 5 minutes. Fiber optic probes were inserted into the sample solution, and readings taken at 264 nm using the fiber optics system (Ocean Optics QE65 Pro, Florida, USA). The experiment was conducted in triplicate.
Differential scanning calorimetry (DSC)
DSC is thermal analysis, which determines the physical properties of a sample, and measures the heat quantity absorbed by the sample on the basis of temperature difference between the sample and the reference. The DSC profiles of pure and physical mixtures of Ibuprofen were recorded on Q20 DSC (TA Instruments, USA). Thermal behaviors were studied under normal conditions with hermetic Aluminum pans and with a nitrogen gas flow of 50 mL/min. The samples (5.7 mg for pure Ibuprofen, 5.9 mg for HPMC, and 8.4 mg for Ibuprofen: HPMC (1:1), were heated at 10oC/min over a temperature range of 20-100oC, 0-250oC, and 20-180oC, respectively. The reference sample used in all 3 determinations was empty Hermetic Aluminum pans. Peak temperatures were noted and reported.
In situ fiber optic UV monitoring
T300-RT Transmission Dip Probe (Ocean Optics, Florida, USA) coupled to UV spectrometers (Ocean Optics QE65 Pro, Florida, USA) to measure absorbance in solutions was used. The light source was deuterium from a UV-VIS-NIR light source (Ocean Optics DH-2000-BAL, Florida, USA). These probes are useful for in-situ, real time sample monitoring. Two solarization resistant 300-µm optical fibers are a part of the T300-RT-UV-VIS Transmission Dip Probe. One of the fiber is for illumination and the other fiber is to read. Each leg of the probe assembly ends in such way that one leg can be attached to a light source and the other to a spectrometer. Fiber optics system is more efficient as the time required for warm up is zero, and the need for low maintenance and electrical energy. Photodegradation is avoided, as samples are not exposed to UV light. Since the light beam is intense, the fiber optics system has excellent noise performance. It has a simultaneous reference correction and therefore can maintain peak integrity at every scan speed. The excellent photometric linearity ensures accurate data and its reproducibility, and eliminates the need for dilution prior to measurement. For the experiment, an integration time(shutter speed) was set at 100 milliseconds. Boxcar width set to 10,scans to average readings to 10. The data were collected through Ocean Optics software (Spectrasuite®, Ocean Optics Inc., Florida, USA). The integration time was kept higher (upto 85% of the detector capacity) because the detector would monitor the incoming photons for longer time. The scans to average were kept at 10 to give a better signal to noise ratio. The boxcar width also had been kept to 10 to give smoothness to the data and a good signal to noise ratio.
Accuracy and precision studies
Accuracy study
The accuracy of dip probe techniquesfor the drug release from a marketed long lasting ibuprofen (Brand A) formulation was studied using a USP type I dissolution apparatus. Three, six station dissolution was employed for this study. A total of eighteen samples were analyzed by acquiring UV data at 264 nm. Nine samples were analyzedby inserting the dip probe at predetermined times of spectra every ten minutes for 1 hour and the other nine samples were analyzed using the traditional method, which involved pipetting a fixed amount of sample (1 ml) was pipetted out, suitably diluted and analyzed using a double beam UV spectrophotometer (Shimadzu 1800, Tokyo, Japan) at 264 nm. The samples were coded MFDP (marketed formulation utilizing dip probe for analysis) and MFTM (marketed formulation utilizing traditional methods for analysis).
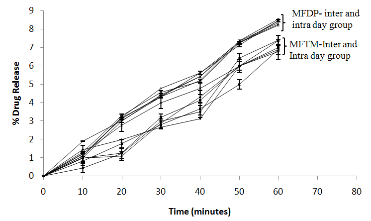
Precision study
The intra-day and inter-day precision studies were also conducted on the samples. Brand A samples were utilized [36]. Which were analyzed by the two techniques in the morning and afternoon for intra-day precision studies for a consecutive three days (inter-day precision studies). Three different researchers for each set of techniques were assigned to collect the samples to study the easy of handling the dip probe as compared to the traditional method and the error involved. The samples were coded MFDP (marketed formulation utilizing dip probe for analysis) and MFTM (marketed formulation utilizing traditional methods for analysis).
Drug release study
There have been reports of hard gelatin capsule having an absorbance wavelength similar to that of ibuprofen (264 nm), therefore, a modified USP dissolution apparatus I was envisaged. A slight modification to the method [5] was the replacement of the dialysis bag with egg membrane, which can also be used as an alternative to dialysis membrane.
The egg membrane was extracted as previously reported.[6]The nanospheres were put in the glass cylinder with the lower end having egg membrane from which the drug release was expected. The glass cylinder was 37.2± 0 1.22 mm in length, with an opening of 20.5 ± 0.142 mm for introduction of the IbNS. The bottom of the glass cylinder was covered with the egg membrane having a length of 20.5 ± 0.121 mm. The drug release study was conductedin phosphate buffer, pH 7.4 at regular time intervals of 0, 10, 20, 30, 40, 50, 60 minutes the probe (Ocean Optics QE65 Pro, Florida, USA) was inserted and a reading taken at 264 nm, simultaneously 1 ml of the sample was taken, diluted and sample analyzed at 264 nm in a double beam spectrophotometer (Shimadzu 1800, Tokyo, Japan).
RESULTS AND DISCUSSION
Particle size and shape
The IbNS were prepared and characterized using Cilas particle sizer and shape analyzer. The particle size of the suspension immediately after preparation and after freeze drying (resuspensed in water) was observed using the wet samples. A small amount of the samples were put in the particle sizer and observed. The shape analyzer (Figure 1) showed the spherical nature of the dispersion. This spherical shape was observed for only the re suspended freeze dried IbNS. For the sample shape analyzed immediately after the preparation of the IbNS, we were not able to observe the shape as the sensitivity of the shape analyzer is above 500 nm. The particle size showed distinct size differences between the nanodispersions analyzed before and immediately (after the preparation) after the ultrasonication, and the freeze dried product (Figure 2). Before ultrasonication, the particle size was found to be between 900-1400 nm. After ultrasonication, the particle size was found to be in the range of 150-300 nm with the maximum falling in this range (80%). The particle size of the freeze dried products was around 600-750 nm. The increase in the sizes of the freeze dried product can be attributed to agglomeration during the process as compared to the suspension analyzed immediately after the ultrasonification.

Fig. 1: The observed spherical shape of re suspended freeze dried Ibuprofen nanodispersions
Solubility study
The solubility studies were done using a low ultrasonic wave generator bath. In this bath, an ultrasonic transducer was attached to the outer surface of the bath and the liquid inside the bath was irradiated with an ultrasonic wave. Ultrasonic waves were formed inside the liquid, which were much smaller than that in a horn-type sonochemical reactor as reported by Tuziuti et al., 2002.[7]The pure and the prepared IbNS were kept in an ultrasonic bath and the change in solubility was observed at 0 minutes, and after 30 minutes.[8] The temperature of the room was maintained at 24oC. One milliliter of the samples was taken and mixed with phosphate buffer pH7.4, and analyzed UV spectrophotometrically at 264 nm using the fiber optics cuvette system.

Fig. 2: Representation of the size difference before and after ultrasonication
A low (Table 1) but significant change (p=1.2131± 0.6730) was characteristic of the low ultrasonic waves produced. A higher Ultrasonic waves might have produced more drastic solubility changes.7The probable reason could be the low sound waves produced by the ultrasonic bath were not able to completely dissociate the solute in the solvent in the given time. A higher sound wave or increased time for the experiment could have resulted in an improved reading. Solubility of Ibuprofen in distilled water has been reported to be 10.57 μg/ml.[9]The results showed that the IbNS, improved the solubility of the ibuprofen as compared to the pure drug.
Table 1: Solubility study data of pure drug versus prepared ibuprofen nanospheres formulation
| Time (min.) | Double Distlled Water, pH 5.8 | 0.1 N HCl, pH 1.2 | Phosphate buffer, pH 7.4 | |||
| 0 | PD g/ml) |
IbNS g/ml) |
PD g/ml) | IbNS g/ml) |
PD g/ml) |
IbNS g/ml) |
| 10.120.892 | 15.340.321 | 7.031.320 | 10.230.871 | 12.430.876 | 17.450.988 | |
| 30 | 12.450.672 | 18.890.962 | 8.120.879 | 13.210.542 | 14.921.01 | 19.870.498 |
Differential scanning calorimetry (DSC)
The thermal behavior of pure Ibuprofen and in mixture was investigated by heating the respective samples at 10oC/min (Figure 3). For the first sample (pure Ibuprofen) an endothermic peak was observed at 78.38 ± 0.20oC with an enthalpy of 124.7 ± 1.32 J/g. The second sample (HPMC) had an endothermic peak at 151.4 ± 0.32oC with an enthalpy of 102.13 ± 2.41 J/g. The third sample (Ibuprofen: HPMC) had 2 endothermic peaks at 78.20 ±0.18oC and 151.19 ± 0.21oC with an enthalpy of 121.21 ± 0.85 J/g and 98.48 ± 1.32oCJ/g respectively. This clearly showed that there was no interaction between the drug and excipient used in the study.
Accuracy and precision
“In drug analysis, advance electronic instrumentation can greatly increase the accuracy and precision of the assay results”.[10]Figure 4 illustrates the accuracy and Figure 5, the precision of the reading through dip probe as compared to the traditional method.
The standard deviation observed for the interday and intraday readings through the dip probe was non-significant (p=0.0342 at ∝ = 0.01) as compared to significant (p=1.2131 at ∝ = 0.01) changes in the traditional method. A high degree of correlation (r2=0.9998) between the data points of dip probe technique as compared to (r2=0.9918) of the traditional method of analysis suggested a high degree of accuracy and precision for the dip probe related analytical readings.

Fig. 3: DSC profile of pure drug, excipient and their mixture
The reason for the traditional method of analysis having a reduced accuracy and precision could have been the different handling abilities of the personnel’s involved in the traditional method, whereas the dip probe was a simple equipment requiring no expertise in handling, and gave a consistent reading. A slight difference in the reading in the dip probe technique (also observed for the traditional method) could have been the slightly different release profiles observed for all the tested formulations, which however did not have any outliers. A more accurate and precise reading could be a great tool for prediction in vitro drug release data to in vivo performance.

Fig. 4: Release profile depicting the accuracy of fiber optics system as compared with traditional UV spectrophotometer

Fig. 5: Release profile depicting the precision of fiber optics system as compared with traditional UV spectrophotometer
Drug release study
The modified USP Apparatus 2 with the egg membrane was an ideal way of studying the nanoformulation drug release study. The egg membrane (Figure 6) provided the necessary barrier for the drug to be released into the dissolution medium.

Fig. 6: SEM of the inside surface of an egg membrane
The drug content for the prepared nanoformulation was found to be 98.21 ± 1.52%. The drug release study (Figure 7)suggested that the nano-formulations had a completely different release profile with the dissimilar factor (f2) being 25 and statistically significant (p=1.0232 ± 0.4325) compared to the pure form of the drug. The probable reason was the increase in the surface area of the nano formulation coupled with a hydrophilic carrier which enabled better solubility thereby better dissolution.
The study involving different analytical techniques was favorable towards the dip probe techniques with minimal standard deviation observed as compared to the traditional method of analysis. The difference in reading during the drug release could also have been during the pipetting out of the drug solution and diluting, which could result in the loss of the drug.

Fig. 7: In-vitro release profiles of all the formulations
CONCLUSION
Modified USP Apparatus Ialong with dip probe technique appears to be a more appropriatemethod for in vitro release testing of ibuprofen nano formulation as compared to the traditional method of analysis. The traditional sample analysis technique can result in loss of the drug during the sampling process and the unavoidable manual error, which increases within the number of participants. The fiber optic probes allow ease of collection of multiple data points and therefore can be useful to achieve a comprehensivecharacterization of the release profile.
CONFLICT OF INTEREST
The authors report no conflict of interest.
ACKNOWLEDGEMENT
The authors acknowledge The Research Council, Oman for the grant (ORG/HSS/12/004), and DARIS, the University of Nizwa, Oman for their Scanning Electron Microscopy support.
REFERENCES