School of Bioprocess Engineering, University Malaysia Perlis, Kompleks Pusat Pengajian, Jejawi 3, 02600 Arau, Perlis, Malaysia.
Email: Muhammad.shahzad.aslam@hotmail.com
Received: 14 Aug 2014 Revised and Accepted: 15 Sep 2014
ABSTRACT
Clinacanthus nutans commonly known as Belalai gajah (Malay), Phaya yo (Thai) is traditionally used medicinal plant. The plant is used in skin rashes, snake bites, lesions caused by herpes simplex virus, diabetic myelitis, fever, diuretics and green tea and served as fresh drink. The phytochemical constituents existing in the plant comprise lupeol, b –sitosterol, stigmasterol, Botulin, myricyl alcohol C-glycosyl flavones (vitexin, isovitexin, shaftoside, isomollupentin 7-O-b -glucopyranoside, orientin and isoorientin),sulfur-containing glucosides, cerebrosides mixer, a monoacylmonogalactosylglycerol,13-hydroxy-(13-S)-phaeophytin b, Pupurin-18-phytyl ester, phaeophorbide and chlorophyll derivatives. Pharmacological studies reported anti-Papillomavirus Infectivity, anti-viral activity on varicella-zoster virus, anti-inflammatory activity, anti-herpes Simplex virus type 1 and type 2 activity, anti-oxidant and protective effect against oxidative induced hemolysis.
Keywords: Clinacanthus nutans, Anti-viral, Anti-oxidant, Glycosides, Herpes Simplex Virus.
INTRODUCTION
Clinacanthus nutans (CN) have been used in traditional medicine in Thailand and Malaysia. Its therapeutic potential has not been explored completely. It is commonly known as Belalai gajah, Sabah Snake Grass in Malaysia [1], phaya yo or phaya plongtong in Thailand [2] and Giro de flores, cocodrilo flor, e zui hua in chinese language [4]. Clinacanthus nutans (Burm. f.) Lindau is the accepted name of this species and Clinacanthus nutans var. robinsonii Benoist, Clinacanthus burmanni Nees, Justicia nutans Burm. f. are their synonyms[5]. It is distributed in Thailand, Indonesia, Malaysia,Vietnam and china (Guangdong, Guangxi, Hainan, Yunnan)[3].
Taxonomy [3]
Kingdom: Plantae (Plants)
Class: Equisetopsida C. Agardh
Subclass: Magnoliidae Novák ex Takht.
Superorder: Asteranae Takht.
Order: Lamiales Bromhead
Family: Acanthaceae Juss
Genus: Clinacanthus Nees
Table 1: Common names of Clinacanthus nutans all around the world [2-4]
| Common names | Language |
Belalai gajah Sabah Snake Grass |
Malay |
Twist of flowers Alligator flower e zui hua |
Chinese |
Phaya yo Phaya plongtong |
Thai |
Table 2: Synonyms of Clinacanthus nutans [5]
| Clinacanthus nutans (Burm. f.) lindau | Accepted name |
| Clinacanthus nutans var. robinsonii Benoist | Synonym |
| Clinacanthus burmanni Nees | Synonym |
| Justicia nutans Burm. f. | Synonym |
Traditional uses
In Malaysia, the fresh leaves are boiled with water and consumed as herbal tea. It is used for treating skin rashes and snake bites, lesions caused by herpes simplex virus, diabetic myelitis, fever and diuretics [6][7]. In Thailand, an alcoholic extract of fresh leaves is used externally for treatment of skin rashes, snake and insect bite, herpes simplex virus (HSV), and varicella-zoster virus (VZV) lesions. The leaves can be consumed as raw material or mixed with other juices such as apple juice, sugarcane or green tea and served as fresh drink [8].

Fig. 1: Leaves and Flower of Clinacanthus nutans

Fig. 2: Clinacanthus nutans
Table 3: Traditioanl uses of Clinacanthus nutans
| Country | Part use | Application |
| Malaysia | Fresh leaves | In Malaysia, the fresh leaves are boiled with water and consumed as herbal tea It is commonly used in traditional Malaysia for its nourshing and anti-oxidant property. It is also used economical in house regimens for cancer patient [6-7, 9] |
Thailand Indonesia |
Leaves | It is used for treating skin rashes and snake bites, lesions caused by herpes simplex virus, diabetic myelitis, fever and diuretics[8] |
| Thailand | Fresh leaves | In Thailand, an alcoholic extract of fresh leaves is used externally for treatment of skin rashes, snake and insect bite, herpes simplex virus (HSV), and varicella-zoster virus (VZV) lesions. The leaves can be consumed as raw material or mixed with other juice such as apple juice, sugarcane or green tea and served as fresh drink [8] |
Phytochemistry
Clinacanthus nutans contains lupeol (1), b–sitosterol (2)[17], stigmasterol(3) [16] Botulin[18] and myricyl alcohol [10][11]. It also contain six known C-glycosyl flavones isolated from the n-BuOH- and water soluble portion of the methanolic extract of the stems and leaves of C. nutans collected in Thailand such as vitexin (4), isovitexin, shaftoside (5), isomollupentin 7-O-b –glucopyranoside (6), orientin (7) and isoorientin[12].




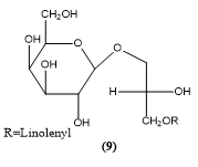
Five sulfur-containing glucosides were isolated from the n-BuOH-soluble portion of a methanolic extract of the stems and leaves of plant material [13]. A mixture of cerebrosides (8) and a monoacyl monogalactosyl glycerol[(2S)-1-O-linolenoyl- 3-O-b-D- galactopyranosylglycerol](9) were isolated from the EtOAc-soluble fraction of the ethanolic extract of the fresh leaves of C. nutans [14].
13-hydroxy- (13-S)-phaeophytin b, Pupurin-18-phytyl ester and Phaeophorbide a were isolated from leaves of hexane and chloroform extract of C. nutans [15]. Trigalactosyl and digalactosyl diglycerides(10) were isolated form the leave extract and possess anti-herpes simplex virus effect [19].
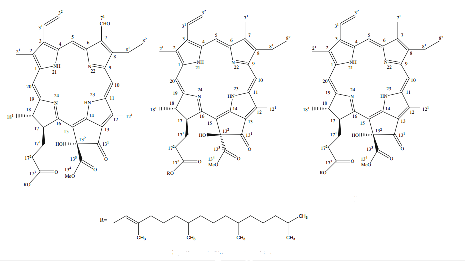
Hexane and chloroform leave extract of C. nutans contain, 132-hydroxy- (132-S) -chlorophyll-b, 132-hydroxy- (132-R)-chlorophyll-b,132- hydroxy-(132-S)- phaeophytin-b,132-hydroxy-(132-R)- phaeophytin-b, 132-hydroxy-(132-S)-phaeophytin-a,132-hydroxy-(132-R)-phaeophytin-a, purpurin-18- phytyl ester and phaeophorbide-a [20].
Three chlorophyll derivatives (phaeophytins) (11-13) were isolated from the chloroform extract of Clinacanthus nutans Lindau leaves. Three of these were known compounds with structures related to chlorophyll a and chlorophyll b namely 132-hydroxy- (132-R)- phaeophytin b, 132-hydroxy- (132-S)- phaeophytin-a and 132-hydroxy-(132-R) -phaeophytin [21].


(11-13)
Pharmacological activities reported
Fig. 3: Chemical structures of Clinacanthus nutans
| Pharmacological activity | Part use |
Extract/Fraction/Isolate | Dose tested/ route of administration | Animals/Cell line culture | Experimental model (In Vivo / In Vitro) |
Results | Reference |
| Cholinergic modulation | L | Methanol | 250 mg/kg, 500 mg/kg, 1 000 mg/kg bw | Male mice | In vivo | A | 22 |
| Cytotoxic Study | ---------- | Stock solution in DMSO | 0.01,0.005,0.001, 0.0005, 0.0001 and 0.00001% |
Koi Fin cell line (KFC) | In-vitro | B | 23 |
| Anti-Papillomavirus Infectivity | ---------- | Stock solution in DMSO | Different concentrations in different compounds | 293FT cells | In-vitro | C | 24 |
| Anti-inflammatory activity | L | n-BuOH-soluble fraction | ---------------------- | ---------------- | In-vitro | D | 25 |
| virucidal Activity | ----------- | ethanol extracts | ------------------------ | ----------------- | In-vitro | E | 26 |
Anti-viral Activity on varicella-zoster virus. |
L | Crude extract | ----------------------- | --------------- | In-vitro | F | 27 |
Dengue Virus Type 2 Infection |
L | hexane and chloroform | 34, 5, 20, 25 μg/ml | C6/36 cell line, A549 cell line | In-Vitro | G | 28 |
| Anti-herpes Simplex Virus type 1 Activity | L | Ethyl Acetate Extract | 1.9,2, 4, 8, 19, 38, 76,152ug/ml | Vero cells | in vitro on the Vero cells by using plaque reduction assay |
H | 29 |
| Acute toxicity Study | L | ethanolic | 5.44g/Kg bw | rats | In vivo | I | 30 |
| Anti-herpes Simplex Virus type 2 Activity | L | -------------------- | ------------------- | Baby hamster kidney cell line | In-vitro | J | 31 |
Anti-oxidant, protective effect against oxidative induced hemolysis |
L | ethanolic | ------------------- | ---------------- | In-vitro | K | 32 |
A= AChE activity was found highest in mice liver, followed by brain, kidney and heart
B= result was reported as 50% cytotoxicity concentration. C. nutans plant extract at 0.005% and 0.01% damaged KFC cells and had the cytotoxic effect to the cell in those concentrations.
C= This study demonstrates anti-HPV16 PsV infection of C. nutans compounds (136C and 136D) that inhibit the early step of infection by direct binding between HPV particles and host cell receptor and also prevent HPV16 PsVs internalization. These suggest the potential
role of the compounds on prevention of HPV infection.
D= It possess anti-inflammatory activity
E= virucidal against HSV-2 in vitro.
F= In a series of in vitro models a crude extract of the leaves showed significant inhibitory activity on VZV.
G=The results showed that out of four compounds, compound 2 could inhibit the production of viral RNA as well as viral protein when the DV2 infected cells were cultured in the compound. This novel property should be further investigated for action on DV infection in the molecular level. This compound may be developed for treatment of DV infection.
H= The results showed that the crude ethyl acetate extract of C. nutans exerted inhibitory effects on HSV-1 action
I= internal organ has No abnormalities
J= The result showed that extract inhibit plaque formation by HSV-2
K= The ethanolic extract of CN had an antioxidant activity and protective effect against free radical-
Induced hemolysis.
Clinical trials
Clinical trials have reported the successful use of a C. nutans preparation (cream) for treatment of genital herpes and varicella-zoster lesions in patients [33-36].
CONFLICT OF INTERESTS
Declared None
REFERENCES