Department of Pharmaceutical Analysis and Quality Assurance2; Department of Pharmaceutical Chemistry1, Malla Reddy College of Pharmacy, Hyderabad, Telangana, India.
Email: maturi.nirupama@gmail.com
Received: 16 Aug 2014 Revised and Accepted: 15 Sep 2014
ABSTRACT
Objective: The aim of this work was to develop and validate a simple Reverse Phase-High Performance Liquid Chromatography method for the simultaneous estimation of Clindamycin and Clotrimazole in pharmaceutical dosage forms.
Methods: The mobile phase consists of phosphate buffer and Acetonitrile in the ratio of (48:52) with gradient programming, Hypersil BDS (250×4.6 mm,5µ) column used as stationary phase with a flow rate of 1 ml/min, injection volume 10 µl and the run time was 10 min. Detection wavelength was at 220 nm by using Photo Diode Array detector.
Results: The retention times of Clindamycin and Clotrimazole were found to be 2.2 min and 5.7 min respectively. The method was validated according to ICH guidelines. Validation parameters like accuracy, precision, linearity, range, limit of detection, limit of quantification and robustness all were within the limits. The linearity responses of Clindamycin and Clotrimazole were found to be in the concentration ranges of 25-150 µg/ml and 50-300 µg/ml. The percentage recovery for both drugs was found in the range of 99-100%. The LOD & LOQ values for were found to be 1.29µg/ml and 3.93µg/ml and Clotrimazole were found to be 1.31µg/ml and 3.96 µg/ml, respectively.
Conclusion: The results obtained are accurate and within the limits. Hence this method can be applicable for the estimation of Clindamycin and Clotrimazole in pharmaceutical dosage forms.
Keywords: Clindamycin and Clotrimazole, RP-HPLC, Validation.
INTRODUCTION
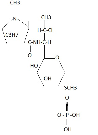
Clindamycin is an antibacterial, broad-spectrum antibiotic derived from lincomycin. Clindamycin is used for the topical and systemic treatment. And it is effective as an anti-aerobic and anti-protozoal. May be useful in respiratory tract infections, and also to treat gynecological infection. Chemically Clindamycin is methyl 7-chloro-6,7,8-trideoxy-6-(1-methyl-trans-4-propyl-L-2-pyrrolidine carboxamido) 1-thio-L-threo-α-D-galacto-octopyranoside 2-(dihydrogen phosphate)[3] and the structure shown in fig. 1.
Clotrimazole is an imidazole derivative with a broad spectrum of antimycotic activity. It is used for the local treatment of oropharyngeal candidiasis and vaginal yeast infections, and also used in fungal infections of the skin such as ringworm, athlete’s foot, and jock itch. Chemically Clotrimazole is 1-[(2-chlorophenyl) diphenylmethyl]-1H-imidazole[4] and the structure shown in figure-2.

Fig. 1: Structure of Clindamycin phosphate
The literature survey reveals that the few HPLC methods are developed and validated for the estimation of Clindamycin and Clotrimazole combination with other drugs. The reported methods available for the estimation of Clindamycin individually are new validated bio-analytical high performance liquid chromatography method[5], spectrophotometric method[6], HPLC-UV[7,8], derivative spectrophotometric method[9], RP-HPLC[10-16], liquid chromatography/electro spray ionization mass spectrometry[17], capillary electrophoresis with an end-column electro chemiluminescence[18], gas liquid chromatography[19] and ultra high performance liquid chromatography-electro spray ionization tandem mass spectrometry [20].

Fig. 2: Structure of Clotrimazole
Clotrimazole has been determined in different pharmaceutical preparations by stability-indicating high performance liquid chromatography method[21], high performance thin layer chromatography[22] and spcetrophotometric method[23,24], simultaneous estimation of Clotrimazole combination with other drugs[25-27]. Since there is no reported method on simultaneous estimation of Clindamycin and Clotrimazole in combined tablet dosage forms. The main objective of this study was to develop and validate the assay method of Clindamycin and Clotrimazole in tablet dosage forms.
MATERIALS AND METHODS
Materials
All standard purified materials were used for this study. The solvents which are used in the preparation of solutions should be HPLC grade and obtained from Merck Specialties Private Limited, Mumbai. Active pharmaceutical ingredients Clindamycin Phosphate and Clotrimazole were supplied by Spectrum Pharma Research Solutions, Hyderabad. The formulation was purchased in a local market.
Instrumentation
The High performance liquid chromatography system consists of water’s 2695 with 2996 module Photo Diode Array detectors equipped with a quaternary solvent delivery pump, automatic sample injector and column thermostat. The system was controlled by Empower 2 software and it is used for the analysis.
Chromatographic conditions
The chromatographic separation was performed on Hypersil BDS (250×4.6 mm,5 µm). The column temperature was maintained at 300c. The mobile phase consisting of buffer and acetonitrile in the ratio of 48:52 with a flow rate of 1.0 ml/min. The detection wavelength was set at 220 nm and had given acceptable retention time and good resolution in between Clindamycin and Clotrimazole. The run time was taken as 10 min.
Standard solution preparation
Accurately weighed and transferred 10mg of Clindamycin and 20mg of Clotrimazole working standards into a 10 ml clean dry volumetric flask, add 7 ml of diluents, Sonicated for 5 minutes and make up to the final volume with diluents. 1 ml from the above two stock solutions was taken into a 10 ml volumetric flask and made up to 10 ml. The standard solution consists of 100 µg/ml of Clindamycin and 200µg/ml of Clotrimazole, respectively.
Sample preparation
25 tablets were weighed and calculate the average weight of each tablet than the weight equivalent to 25 tablets was transferred into a 100 ml volumetric flask, 70 ml of diluent added and sonicated for 25 min, further the volume made up with diluents and filtered. From the filtered solution 0.2 ml was pipette out into a 10 ml volumetric flask and made up to 10 ml with diluents.
Preparation of buffer: 0.01N (KH2PO4)
Accurately weighed 1.36 gm of Potassium dihydrogen Ortho phosphate in a 1000 ml of volumetric flask add about 900 ml of milli-Q water added and degas to sonicate and finally make up the volume with water and pH adjusted to 3 with dil. OPA.
Method validation
The optimized chromatographic method was validated according to the ICH guidelines for the validation of parameters like linearity, precision, accuracy, limit of detection (LOD), limit of quantification (LOQ) and robustness. Validation of different types of analytical procedures, as defined in the ICH Q2A guideline ‘Text on validation of analytical procedure.
System suitability parameters
System suitability parameters are validated by injecting five times of 100µg/ml and 200µg/ml concentrations of standard solutions of Clindamycin phosphate and Clotrimazole in to the system. The parameters like resolution factor, theoretical plate and tailing factor were calculated.
Linearity
The range of linearity was evaluated by injecting the standard solution of Clindamycin and Clotrimazole in five different concentrations into the HPLC system. The linearity concentrations of Clindamycin and Clotrimazole were prepared in the ranges of 25-150 µg/ml and 50-300 µg/ml. Plot a graph in between the peak area versus concentration (on X-axis and Y-axis). The linear regression coefficient, correlation coefficient was calculated. The correlation coefficient (r2) should be 0.999.
Precision
Repeatability
Repeatability of Clindamycin and Clotrimazole was validated by injecting the six times of standard solution and sample solutions in to the system. The areas of all the injections were taken and their corresponding values for mean, standard deviation and %RSD are calculated.
Reproducibility
Reproducibility of the method evaluated by injecting six times of 100mg/ml, 200mg/ml concentrations of standard solutions and sample solution of Clindamycin and Clotrimazole on different days and different analysts or by different instruments. The areas of all injections were taken and their corresponding values for mean, standard deviation and % RSD of reproducibility are calculated.
Accuracy
The accuracy was validated by using a minimum of three different concentrations of standards, Clindamycin and Clotrimazole, 50%, 100% and 150%. The percentage recoveries are analyzed of the obtained amount of Clindamycin and Clotrimazole in pharmaceutical formulations.
Method robustness
The robustness can be determined by varying the following parameters
1) Flow rate: It can be determined by altering the flow rate from 1 ml/min to 1.2 ml/min. The standard solution of Clindamycin and Clotrimazole was prepared and was injected by varying the flow rate along with the optimized method.
2) Column temperature: It can be determined by varying the column temperature ±5%. The standard solution of Clindamycin and Clotrimazole was prepared and was injected by changing organic mobile phase composition along with the optimized method.
3) Mobile phase: It can be determined by changing the organic mobile phase composition by ±10%. The standard solution of Clindamycin and Clotrimazole was prepared and was injected by changing an organic mobile phase composition along with the optimized method.
LOD and LOQ
Limit of detection (LOD) and limit of quantification (LOQ) of Clindamycin and Clotrimazole was calculated from the calibration curve method. The linearity solutions of Clindamycin and Clotrimazole were prepared and injected. LOD and LOQ were calculated by using following equations. LOD= (3.3σ/S), LOQ= (10σ/S).
Where σ = standard deviation of the response; S =slope of the calibration curve of the analyze.
RESULTS AND DISCUSSION
Method development and optimization
A simple RP-HPLC method for the simultaneous estimation of Clindamycin and Clotrimazole in pharmaceutical dosage forms. In method development the solubility of the active pharmaceutical ingredient was checked in different solvents like methanol and water. The Clindamycin was completely soluble in water and Clotrimazole is methanol soluble. Finally the standards are diluted by methanol and water in the ratio of 80:20.
The different mobile phases like acetonitrile and potassium dihydrogen ortho phosphate buffer were used in different compositions with a flow rate of 1 ml/min but the peak resolution, retention time and tailing factor were not satisfactory. Finally by changing the composition ratio (48:52) of the mobile phase was selected at a flow rate of 1 ml/min.
The chromatographic separation was tested by using different columns like Hybersil, ultima, kromosil (150×4.6 mm; 5 µm) columns maintained at different temperatures like 25,30,35 were used, but the retention time, peak resolution and tailing were not in the desired limits. Actual chromatographic separation was achieved on BDS Hybersil (250×4.6 mm; 5 µm) using mobile phase composition of (48:52) buffer and acetonitrile.
Table 1: System suitability parameters of standard solution
S. No. |
|
Clindamycin |
Clotrimazole |
|||||||
|
|
Rt |
Area |
USP Plate count |
USP tailing |
Rt |
Area |
USP Plate count |
USP tailing |
|
1 |
|
2.215 |
751380 |
2852 |
1.31 |
5.638 |
7168163 |
4470 |
1.26 |
|
2 |
|
2.277 |
745868 |
3143 |
1.27 |
5.957 |
7228132 |
4859 |
1.25 |
|
3 |
|
2.286 |
749940 |
3099 |
1.27 |
6.004 |
7233293 |
6242 |
1.24 |
|
4 |
|
2.293 |
758163 |
3428 |
1.29 |
6.004 |
7233293 |
6242 |
1.24 |
|
5 |
|
2.293 |
758163 |
3428 |
1.29 |
6.123 |
7248529 |
4875 |
1.22 |
|
Mean |
|
|
752702.8 |
|
|
|
7222282 |
|
|
|
SD |
|
|
5378.77 |
|
|
|
31202.8 |
|
|
|
%RSD |
|
|
0.71 |
|
|
|
0.43 |
|
|
|
SD=Standard deviation; RSD= Relative Standard deviation; Rt= Retention Time
System suitability parameters
The system suitability tests were conducted before performing the validation and the parameters were within the acceptance criteria like retention times of Clindamycin and Clotrimazole were 2.2 minutes and 5.7 minutes, respectively. The plate count was >2000, peak tailing was <2 and the %RSD of peak areas of standard were ≤ 2.(Table 1), (fig. 3). Hence the proposed method was successfully applied to routine analysis without any problems.

Fig. 3: HPLC chromatograph of standard solution (i. e. Clindamycin and Clotrimazole)
Linearity
The linearity of Clindamycin and Clotrimazole was prepared in the range of 25-150 µg/ml and 50-300µg/ml. These were represented by linear regression equation y (Clindamycin) =7319. x+2881 (r2=0.999), y (Clotrimazole)=34358. x+13610 (r2=0.999). From the calibration curve the regression line for both drugs was linear. (Table 2), (fig. 4,5).
Table 2: Linearity of Clindamycin and Clotrimazole
Clindamycin Clotrimazole |
|||
Concentration (ppm) |
Area |
Concentration (ppm) |
Area |
0 |
0 |
0 |
0 |
25 |
180013 |
50 |
1890194 |
50 |
374437 |
100 |
3699949 |
75 |
557979 |
150 |
5280411 |
100 |
744271 |
200 |
7108478 |
125 |
904671 |
250 |
8675551 |
150 |
1101466 |
300 |
10373947 |
Precision
Injected standard preparation six times in same concentration in to the system. The precision of analytical method expresses closeness of agreement between a series of measurements obtained from multiple sampling of the homogenous under the prescribed conditions. Reproducibility and Repeatability for Clindamycin and Clotrimazole were shown in table 3. This indicated the method was highly precise.

Fig. 4: Linearity graph of Clindamycin

Fig. 5: Linearity graph of Clotrimazole
Accuracy
The percentage recoveries for Clindamycin and Clotrimazole were found to be 99-100% and the %RSD for Clindamycin and Clotrimazole were found to be 0.37 and 0.67. The results of recovery studies were shown in table 4.
Robustness
Robustness data for Clindamycin and Clotrimazole by changing the parameters like flow rate, temperature and mobile phase ratio. It was shown in table 5.
Table 3: Determination of repeatability and intermediate precision for Clindamycin and Clotrimazole
Drug |
Repeatability |
Intermediate precision |
||||
Peak area |
Std. Dev |
%RSD |
Peak area |
Std. Dev |
%RSD |
|
Clindamycin |
753768 |
2130.09 |
0.28 |
750846 |
8073.8 |
1.1 |
Clotrimazole |
7246639 |
32443.1 |
0.44 |
7174052 |
75631.9 |
1.1 |
Table 4: Accuracy for standard solution
Clindamycin |
Clotrimazole |
||||||||||
Standard concentration (µg/ml) |
Amount added (µg/ml) |
Amount recovered (µg/ml) |
%Recovery |
Standard concentration (µg/ml) |
Amount added (µg/ml) |
Amount recovered (µg/ml) |
%Recovery |
||||
100 |
50 |
49.79 |
100.49 |
200 |
100 |
100.02 |
98.83 |
||||
100 |
50 |
50.15 |
100.25 |
200 |
100 |
100.25 |
99.90 |
||||
100 |
50 |
50.23 |
100.15 |
200 |
100 |
100.50 |
100.23 |
||||
100 |
100 |
99.83 |
99.83 |
200 |
200 |
199.90 |
100.12 |
||||
100 |
100 |
100.55 |
100.55 |
200 |
200 |
199.47 |
98.85 |
||||
100 |
100 |
99.75 |
99.75 |
200 |
200 |
199.98 |
99.92 |
||||
100 |
150 |
150.10 |
100.68 |
200 |
250 |
249.90 |
100.46 |
||||
100 |
150 |
150.54 |
100.81 |
200 |
250 |
249.47 |
100.48 |
||||
100 |
150 |
150.33 |
100.07 |
200 |
250 |
249.98 |
100.67 |
||||
Mean |
|
|
100.28 |
|
|
|
99.94 |
||||
SD |
|
|
0.371 |
|
|
|
0.673 |
||||
% RSD |
|
|
0.37 |
|
|
|
0.67 |
||||
Table 5: Robustness: Flow rate
Parameters |
Clilndamycin |
Clotrimazole |
|||||
Mean Area |
Std. Deviation |
%RSD |
Mean Area |
Std. Deviation |
%RSD |
||
Flow rate |
1 ml/min |
868401 |
19025.2 |
1.9 |
8499057 |
17994.8 |
1.8 |
1.2 ml/mn |
638079 |
9864.3 |
0.1 |
6322925 |
9967.9 |
0.2 |
|
Temperature |
250C |
285762 |
4211.0 |
1.5 |
6831608 |
174864.2 |
1.6 |
350C |
703537 |
266104 |
1.8 |
6745830 |
194296.5 |
1.2 |
|
Mobile phase |
-10% |
645494 |
2780.3 |
0.4 |
6334026 |
5732.0 |
0.1 |
+10% |
861098 |
13188.1 |
1.5 |
8465523 |
125860.6 |
1.5 |
|
Table 6: Limit of quantification and Limit of detection
| S. No. | Parameters | Clindamycin | Clotrimazole |
| 1 | LOD | 1.29 | 1.31 |
| 2 | LOQ | 3.93 | 3.96 |
Table 7: Assay of Clindamycin and Clotrimazole
| Brand Name | Label Claim | Amount found | % Assay |
CANDID-CL (glenmark) |
Clindamycin(100mg) | 100.04± 0.28 | 100.04 |
| Clotrimazole(200mg) | 200.26± 0.44 | 100.13 |
Limit of detection (LOD) and limit of quantification (LOQ)
The values of LOD and LOQ were calculated by using the slope and y-intercept. The LOD and LOQ values for Clindamycin were found to be 1.29 µg/ml and 3.93µg/ml and Clotrimazole were found to be 1.31 µg/ml and 3.96µg/ml, respectively (Table 6).
Assay
The content of Clindamycin and Clotrimazole in the pharmaceutical dosage forms by using the developed method. The percentage purity of Clindamycin and Clotrimazole were found to be 100.04 % and 100.13% and %RSD values for both Clindamycin and Clotrimazole were within limit of ≤2. (Table 7).
CONCLUSION
The proposed analytical technique of RP-HPLC is simple, accurate and precise method for the simultaneous estimation of Clindamycin and Clotrimazole in pharmaceutical dosage forms has been developed. The method was validated as per ICH guidelines. Statistical analysis proves that method is repeatable, sensitive for the analysis of Clindamycin and Clotrimazole in pharmceutical dosage forms.
ACKNOWLEDGEMENT
The authors express their attitude to Spectrum Pharma research solutions, Hyderabad. For providing best samples of pure Clindamycin and Clotrimazole.
CONFLICT OF INTERESTS
Declared None
REFERENCES