1Human Biochemistry Laboratory, State University of Ceará, Av. Paranjana, nº 1700, Campus do Itaperi, Fortaleza, CE, Brazil - CEP: 60740-903, 2Laboratory of Protein Biochemistry, Federal University of State of Rio de Janeiro, Av. Pasteur nº296, Urca, Rio de janeiro, Brazil - CEP: 22290-260, 3Technological Development Park, Av. Humberto Monte, 2977 - Bl. 310, Campus do Pici/UFC, Fortaleza, CE, Brazil – CEP: 60450-000, 4Department of Clinical and Toxicological Analysis, Federal University of Ceará, RuaCapitão Francisco Pedro nº 1210 Fortaleza, CE, Brazil - CEP: 60430-370.
Email: izabel.guedes@uece.br.
Received: 28 Aug 2014 Revised and Accepted: 29 Sep 2014
ABSTRACT
Objective: A substantial fraction of the population is intolerant or does not respond well to the recommended treatments for dyslipidemia. The purpose of this study was to evaluate the efficacy of gamma-oryzanol (γ-ORZ) treatment in acute and long-term mouse experimental models of dyslipidemia in comparison to Gjpgibrozil and Simvastatin.
Methods: For the acute dyslipidemia-induced model, dyslipidemia was induced in 40 mice using a single intra-peritoneal administration of Triton WR-1339. For the long-termmodel, dyslipidemia was induced in 24 mice using a hypercholesterolemic diet over 14 days. Thereafter, animals were divided into different groups of treatment, and orally received treatments with gamma-oryzanol (5, 25, 50mg. kg-1), gjpgibrozil or simvastatin. For biochemical analysis, glucose, total cholesterol and triacylglycerols were measured. Body weight and net food intake was registered weekly, and urea, creatinine, AST and ALT levels were evaluated. The data were analyzed by analysis of variance (ANOVA), followed by the Student-Newman-Keuls method,and p value of less than 0.05 was considered significant.
Results: Only the highest dose of γ-ORZ exhibited significant protective effects. Gamma-oryzanol and Gjpgibrozil treatments reduced total cholesterol and triacylglycerols levels in a similar manner in the acute model. In the second model, γ-ORZ and simvastatin treatments reduced glucose and total cholesterol levels in the same way. In addition, the administration ofγ-ORZ did not cause any adverse events, or significantly altered hepatic enzymes levels, plasmatic urea or creatinine concentrations.
Conclusion: The results of this study suggest that gamma-oryzanol acts as a potential lipid-lowering agent, reducing triglycerides and total cholesterol in dyslipidemia-induced models.
Keywords: Dyslipidemia, Gamma-oryzanol, Statin, Fibrate, Cholesterol, Triglycerides, Glucose, Lipid-lowering.
INTRODUCTION
Dyslipidemia is considered a major risk factor for cardiovascular disease (CVD)[1, 2], which is the leading cause of years of life lost (YLL)worldwide[3]. Statins and fibrates are the first-line drugs for treatment of dyslipidemia [4, 5],and have been used for decades as lipid-lowering agents to improve several lipid and lipoprotein parameters[6, 7]. However, a substantial fraction of the population is intolerant or do not respond appropriately to these drugs [8, 9]. Myopathy, hypersensitivity skin reactions, headaches, pancreatitis, hepatitis, sexual dysfunction, and gastrointestinal and sleep disturbances are common adverse effects related with the use of these drugs [10]. Thus, the development of new therapeutic agents with equivalent effects remains important. Natural compounds, such as phytosterol and oryzanol, have been shown to exhibit potent cholesterol-lowering effects in previously reported animal and human studies [11-16]. Rice bran oil (RBO) is not commonly used oil worldwide, but is in steady demand as a so-called "healthy oil" in Asian countries, particularly India. Gamma-oryzanol (γ-ORZ)is a major component of RBO, and it is a mixture of ferulic acid esters of triterpene alcohols, such as cycloartenol (106 mg%) and 24-methylene cycloartanyl (494 mg%)[17, 18].
It has been reported to produce both hypocholesterolemic and hypolipoproteinemic activities, to reduce the risk of CVD and to possess anti-oxidative properties [19], but no studies to date have compared its lipid-lowering effect with currently used drugs. The purpose of this study was to evaluate the efficacy of γ-ORZ treatment in acute and long-termmouse experimental models of dyslipidemia in comparison to two commonly used drugs (Gjpgibrozil and Simvastatin) and with a view to developing an alternative treatment.
MATERIALS AND METHODS
Experimental animals
Male Swiss mice weighing 25-30 g were obtained from the Central Animal House of The Federal University of Ceará and the Department of Physiology and Pharmacology. Animals were kept in propylene cages at a room temperature of 24 ± 2ºC and on a 12 h light/dark cycle with food and water provided ad libitum unless otherwise noted. The mice were fed with a standard laboratory chow(Nuvilab® CR1, Brasil) for two weeks for environmental adaptation (control diet, Table 1).
All experimental protocols were approved by the Federal University of Ceará Institutional Committee on Care and Use of Animals for experimentation, (protocol no. 90/10) and in accordance with the guidelines of the National Institutes of Health, Bethesda, MD.
Chemicals
Tween 80, Triton WR-1339 and γ-oryzanol were purchased from Sigma-Aldrich Co. (St. Louis, MO - USA). Simvastatin and gjpgibrozilwere purchased from Merck & Co., Inc. (Whitehouse Station, NJ - USA).
Study design
For the acute dyslipidemia-induced model, dyslipidemia was induced using a single intra-peritoneal administration of Triton WR-1339 (400 mg. kg-1), as previously reported [20, 21]. 48 animals were used. The control group (CTL) received a single intra-peritoneal administration of 0,9% NaCl solution (10 µL. g-1). Thereafter, animals were divided into6 groups (n = 8 each) and orally received the following treatments: Control (vehicle); T1339 (vehicle); Gjpg (gjpgibrozil100 mg. kg-1); 5γ-ORZ (γ-oryzanol 5 mg. kg-1); 25γ-ORZ (γ-oryzanol, 25 mg. kg-1); and 50γ-ORZ (γ-oryzanol 50 mg. kg-1). The groups received the treatment three times: 1 hour before Triton WR-1339 administration and 22 and 46 hours after induction. Gamma-oryzanol and gjpgibrozil were suspended in 3% (v/v) Tween 80 and then in water. The mice were fasted for 8 h before blood sampling. 24 h and 48 h following the Triton induction, blood samples were collected and centrifuged (15 min, 2,400 x g, RT) to obtain plasma.
For the long-term dyslipidemia-induced model, dyslipidemia was induced using a hypercholesterolemic diet over 14 days, as reported by Wilson, Nicolosi [22]. 32 animals were used. Animals were dividedinto4 groups (n = 8 each) in accordance with their total cholesterol levels and were treated for 2 months as follows: CTL (normal diet + vehicle, p. o.), HCD (hypercholesterolemic diet + vehicle, p. o.),50γ-ORZ (hypercholesterolemic diet+ γ-oryzanol 50 mg. kg-1, p. o.) And SIMV (hypercholesterolemic diet+ simvastatin 20 mg. kg-1, p. o.). The concentrations chosen for γ-ORZ were based on the results observed in the acute model. Gamma-oryzanol and SIMV were suspended in 3% (v/v) Tween 80 in water. HCD controls received the same vehicle. After each month of treatment, the animals were fasted for 8 h, and then blood samples were collected for biochemical analysis.
Table 1: Diet Formulations
Diet component |
Control Diet |
Hypercholesterolemic Diet |
||
g% |
Kcal% |
g% |
kcal% |
|
Protein |
22 |
25 |
19,5 |
19 |
Carbohydrate |
57 |
65 |
51 |
51 |
Fat |
4 |
10 |
13,5 |
30 |
Cholesterol |
0 |
0 |
1,1 |
0 |
Vitamin, mineral, other |
9,5 |
0 |
8,5 |
0 |
Humidity |
7,5 |
0 |
6,4 |
0 |
For biochemical analysis, glucose, total cholesterol and triacylglycerols were measured using commercially enzymatic kitsGlicose GOD, ColesterolLiquiform and TriglicéridesLiquiform (LabtestDiagnóstica, Brazil). In addition to these,body weight, net food intake was registered weekly and urea, creatinine, AST and ALT levels were measured by commercial kitsUréia CE, CK-NAC Liquiform, AST/GOT Liquiform and ALT/GPT Liquiform (LabtestDiagnóstica, Brazil), respectively.
Statistical analysis
The results are presented as the mean ± standard error of the mean (SEM). The data were analyzed by analysis of variance (ANOVA), followed by the Student-Newman-Keuls method. P value of less than 0.05 was considered significant.
RESULTS
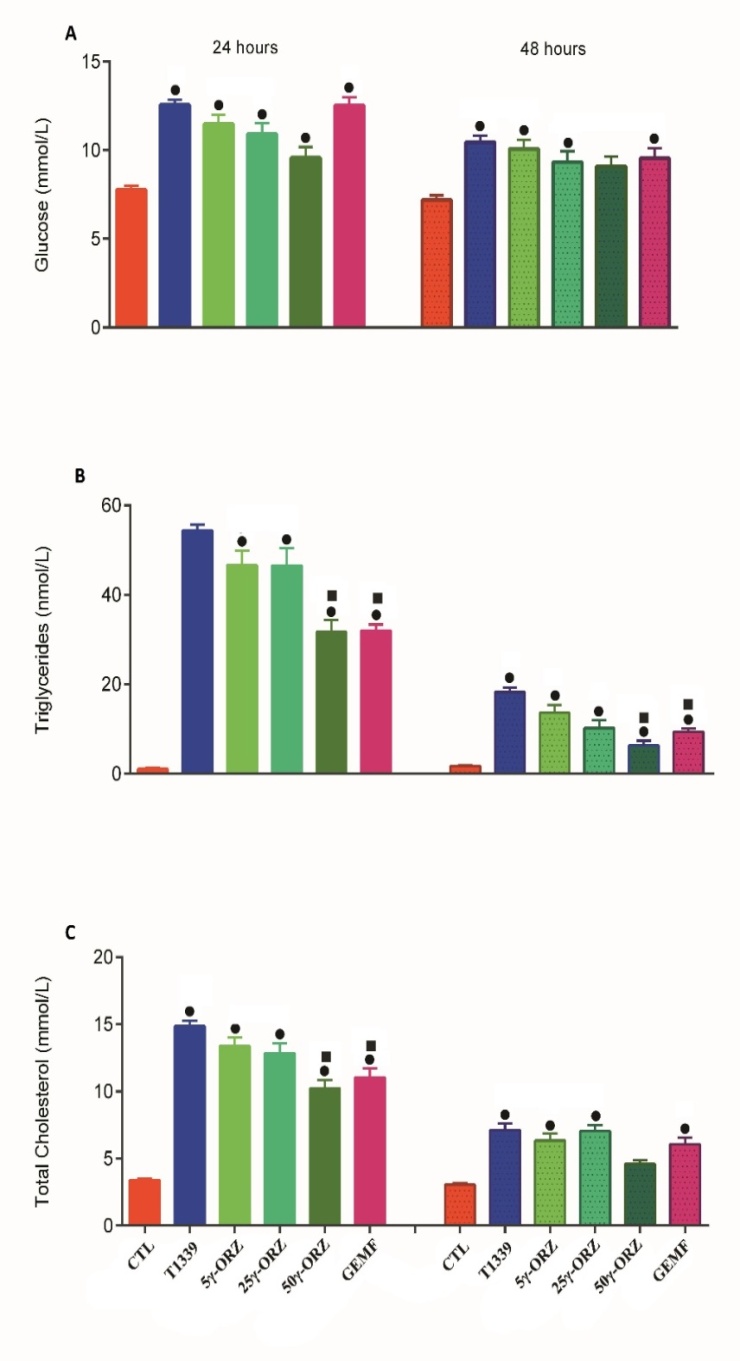
Intra-peritoneal injection of Triton WR-1339 clearly induced dyslipidemia, characterized by an increase in blood glucose, total cholesterol (TC) and triacylglycerols (TG).24 h after induction, there was a statistically significant increase in blood glucose (70 %), TC (310 %) and TG (4925 %) (Figure 1A) in the T1339 group compared to control.
Among doses of γ-ORZ tested (5, 25 and 50 mg. kg-1), only the highest dose exhibited significant protective effects. Mice treated with 50 mg γ-ORZ showed a statistically significant (25 %) reduction in blood glucose levels when compared to the T1339 group, whereas there was no change in the Gjpg group. Both 50 γ-ORZ and Gjpg significantlyreducedthe TC and TGin comparison to the T1339 group (Figure 1B and 1C). Even at 48 h after induction, the T1339 group showed higher levels of GLU, TC and TG when compared to the CTL group. In addition, the 50γ-ORZ group exhibited significantly reduced levels of all the parameters, approaching levels similar to those measured in the CTL group. Fig. 1
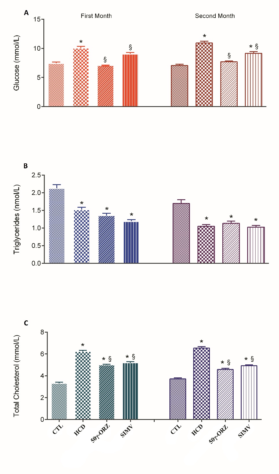
After the first month of the hypercholesterolemic diet-induced dyslipidemia model, the HCD group showed a statistically significant increase in glucose levels (20 %) compared to animals that received a normal diet (CTL). HCD efficiently increased cholesterolemia levels in all groups (47 %) compared to the CTL group. However, somewhat unexpected was the observation that triglyceride levels were reduced in the HCD group compared to CTL.
The 50γ-ORZ-treated animals showed a statistically significant reduction of 22 % in cholesterolemia levels when compared to the HCD mice, reaching levels similar to those in the CTL mice. In addition, the hypercholesterolemic diet nearly doubled (188 %) cholesterolemia in the HCD group. SIMV effectively reduced the total cholesterol (14 %) compared to the HCD group. Mice receiving the 50γ-ORZ treatment exhibited a greater reduction in total cholesterol of around30%.

Fig. 1: γ-ORZ reduces triglycerides and total cholesterol similarly to the fibrate drug Gjpgibrzil. A) Glucose, B) TG and C) TC
Values represent the mean ± SEM (n=8). γ-Oryzanol(γ-ORZ); gjpgibrozil(Gjpg). The groups that statistically differed from CTL and from T1339 were marked as (●) and (■), respectively.

Fig. 2: γ-ORZ reduces glucose and total cholesterol similarly to the drug simvastatin. Control diet (CTL); hypercholesterolemic diet (HCD); 50 mg. kg-1 γ-oryzanol dose (50γ-ORZ); simvastatin (SIMV). Each value represents the mean ± SEM. The groups that statistically differed from CTL and from HCD were marked as (*) and (§), respectively.
There were no statistically significant differences in final body weights among the groups. However, an increase in the net food consumption in animals receiving the HCD was observed compared to those who received the CTL. No side effects were observed in any of the groups. The urea plasmatic levels were significantly higher in the HCD mice when compared to the CTL. Nevertheless, this increase in urea levels was reversed by the γ-ORZ and SIMV treatments. No significant changes were observed in the levels of AST, ALT or creatinine in the studied groups (data not shown).
DISCUSSION
The study presented here sought to evaluate the efficacy of γ-ORZ as a lipid-lowering drug, and compared it to existing drugs commonly used to treat dyslipidemia. Results presented here clearly show that γ-ORZ efficiently reduced blood triglycerides level and total cholesterol in dyslipidemia models.
To evaluate the acute effects of γ-ORZ on cholesterolemia and triacylglycerolemia, dyslipidemia was induced with Triton WR1339. This nonionic detergent acts to prevent the catabolism of triacylglycerol-rich lipoproteins by lipoprotein lipase (LPL)[23, 24] and is frequently used for the in vivo determination of triacylglycerol production, and VLDL secretion or clearance rate[20]. Using this established model[20, 23, 24], gamma-oryzanol was compared with Gjpgibrozil, which is the recommended lipid-lowering agent for treatment of severe hypertriglyceridemia [25, 26]. Results showed that both treatments reduced total cholesterol and triacylglycerols levels in a similar manner.
To evaluate the efficacy of regular supplementation of γ-ORZ, dyslipidemia was also induced through a hypercholesterolemic diet and its effects were compared with Simvastatin, which is the recommended drug in the treatment of isolated hypercholesterolemia [25, 26]. Results showed that both treatments reduced glucose and total cholesterol levels in a similar manner. Interestingly, all groups that received the hypercholesterolemic diet showed a significant reduction in the triacylglycerol levels compared to the normal diet group. A similar effect has been previously observed in coconut oil fed animals, that showed a significant reduction in the serum and tissue triacylglycerol levels and a decrease in the activity of glucose-6-phosphatase dehydrogenase [27]. However, no mechanism has been suggested and more research is needed to explain this finding. Regardless of this accidental finding, results presented here clearly showed that total cholesterol was significantly reduced by both γ-ORZ and simvastatin to a similar extent.
These findings are in line with numerous previous studies reporting several physiological effects associated with γ-ORZ. These include the reduction of plasma cholesterol, the reduction of hepatic cholesterol biosynthesis, the reduction of high-fat diet induced cardiovascular disease, and the increase offecal excretion of biliary acids [28-30]. Several mechanisms have been proposed to explain these effects. For exampleMakynen, Chitchumroonchokchai [31] have suggested that the hypocholesterolemic activity of γ-ORZ is due in part to impaired apical uptake of cholesterol into enterocytes and perhaps a decrease in HMG-CoA reductase activity. Indeed, elucidating the exact mechanisms involved in the lipid-lowering activity of γ-ORZ may be valuable for designing future pharmacologically active agents to tackle dyslipidemia.
The results presented here also showed γ-ORZ to be safe. Its administration did not cause any adverse events or significantly altered hepatic enzymes levels (ALT and AST), plasmatic urea or creatinine concentrations. However, the potential side effects of gamma oryzanol are not yet known and more research is necessary to establish toxicological and side effects of this natural compound.
This study is somewhat limited by the reduced number of doses of gamma-oryzanol employed. Nevertheless, to our knowledge, this is the first attempt to compare the efficacy ofγ-ORZ with the current standard treatments for the management of dyslipidemia.
CONCLUSION
The results of this study suggest that50 mg. kg-1gamma-oryzanol acts as a potential lipid-lowering agent in a manner equivalent to Simvastatin and Gjpgibrozil, reducing triglycerides and total cholesterol at dyslipidemia-induced models. Whilst additional studies are needed to prove its safety, γ-oryzanol has potential tobe used as a complementary or alternative treatment for those patients who cannot achieve desired targets or who are intolerant to existing drugs.
ACKNOWLEDGMENT
The authors would like to thank OsnatHakimi for valuable comments and English language review. Andthisworkwassupportedby Coordenação de Aperfeiçoamento de Pessoal de Nível Superior (CAPES), Banco do Nordeste (BNB) andCoordenação Nacional de Desenvolvimento Tecnológico e Científico (CNPq).
CONFLICT OF INTERESTS
There is no conflict of interest in this paper.
REFERENCES