aDepartment of Medicinal Chemistry, DCRM Pharmacy College, Jawaharlal Nehru Technological University, Hyderabad, Andhra Pradesh, India, bDepartment of Pharmaceutical Chemistry, GITAM Institute of Pharmacy, GITAM University, Visakhapatnam, Andhra Pradesh, India, cMedicinal Chemistry Research Laboratory, Bapatla College of Pharmacy, Bapatla 522101, Andhra Pradesh, India.
Email: crp2020@gmail.com
Received: 17 Aug 2014 Revised and Accepted: 20 Sep 2014
ABSTRACT
Objective: Synthesis and analgesic, anti-inflammatory and antimicrobial evaluation of some novel Schiff and Mannich bases of isatin derivatives.
Methods: A series of novel 3-(4-(2-(substituted benzylideneamino)thiazol-4-yl)phenylimino)-1-((dimethylamino)methyl)-5-fluoroindolin-2-one Schiff and Mannich base derivatives were synthesized by using various aromatic aldehydes with isatin derivatives. The chemical structures of all synthesized compounds were confirmed by IR, 1H-NMR, Mass spectra and elemental analysis. All the synthesized compounds were screened for its analgesic, anti-inflammatory and antimicrobial activity.
Results: The results of analgesic, anti-inflammatory and antimicrobial activity showed that some of the synthesized compounds were exhibited promising results.
Conclusion: This investigation identified the potent analgesic, anti-inflammatory and anti-microbial agents and these molecules will be subjected to further studies in our laboratory.
Keywords: Schiff bases, Mannich bases, Isatin, Anti-microbial activity.
INTRODUCTION
The treatment of infectious diseases remains an important issue because of a combination of factors including emerging newer infectious diseases and growing number of multi-drug resistant microbial pathogens. The therapeutic crisis is an important part of hospitalized patients, immune suppressed patients with AIDS and those undergoing anticancer therapy or organ transplants. Despite a large number of antibiotics and chemotherapeutics available for medical use, the emerging resistance to old and new antibiotics has created a substantial need for new classes of antimicrobial agents. A potential solution to the antibiotic resistance is to design and explore innovative heterocyclic agents with novel mode of actions. The potentiality of non-steroidal anti-inflammatory drugs (NSAID) to alleviate pain, inflammation and fever coupled with a number of pathological conditions made them the most useful therapeutic agents in the world. However, the routine use of these agents was reported to be limited because of their associated side effects mainly on gastrointestinal (GI) tracts. Pain is an unpleasant sensory and emotional experience associated with actual or potential organ and tissue damage. Body inflammation is a unique pain inducer which the human kind faces more often as an outcome of tissue damage developed by a series of microbial infections such as anorexia, pain and fever which in turn shoots up the body temperature. In order to combat these diseases caused by pathogens, it is usual that chemotherapeutics, analgesic and antipyretic agents are prescribed separately in clinical practices. However, multidrug treatments for microbial diseases create a significant problem among the patients with impaired organ functions. This laid the foundation for the search and design of new chemical agents which are devoid of all the limitations and side effects of the drugs available in the market. Hence, there is an urgent need for mono therapy with a biologically potent candidate endowed with anti-microbial, analgesic and anti-inflammatory activities together by keeping in view the pharmaco-economic and frequent patient compliance. Among the important heterocyclic pharmacophores responsible for biological activity, the isatin scaffold is viable lead structure for the synthesis of efficient chemotherapeutic agent [1]. Schiff and mannich bases derived from isatin exhibit many neuro physiological and neuro pharmacological effects like antimicrobial, antiviral, anticonvulsant, anticancer, anti-mycobacterial, antimalarial, cysticidal, herbicidal and anti-inflammatory activities [2-7]. In addition, they also have anti-HIV, anti-protozoal and anti-helminthic activities [8-11]. Recently they have found application as enzyme inhibitors in the inhibition of cysteine and serine proteases [12]. Azoles constitute immensely important members of the aromatic heterocycle family due to their presence in a myriad of bioactive natural products as privileged pharmacophores. Thiazoles are a familiar group of heterocyclic compounds possessing a wide variety of biological activities, and their usefulness as medicines are well established. Thiazole nucleus is also an integral part of all the available penicillins, which have revolutionized the therapy of bacterial diseases [13]. Further, thiazoles have emerged as new class of potent antimicrobial agents, which are reported to inhibit bacteria by blocking the biosynthesis of certain bacterial lipids and/or by additional mechanisms [14, 15].
Encouraged by aforementioned observations, we aimed to synthesize novel, potent, selective, and less toxic antimicrobial, analgesic and anti-inflammatory agents. We report herein the synthesis of some novel Schiff and Mannich bases of structural hybrids by combining isatin and thiazole pharmacophores in single molecular framework in order to investigate there in vitro antimicrobial, analgesic and anti-inflammatory activity.
MATERIALS AND METHODS
All solvents used were of laboratory grade and were obtained from SD fine chemicals (Mumbai, India), and Merck (Mumbai, India). Ciprofloxacin and Ketoconazole are received as gift samples from Dr. Reddys laboratories, Hyderabad, India. Diclofenac and aspirin are received as gift samples from Kemwell Biopharma, Bangalore, India. Melting points were determined in open glass capillary tubes and are uncorrected. Compounds were routinely checked for their purity on Silica gel G (Merck) Thin layer chromatography (TLC) plates. Iodine chamber and UV lamp were used for visualization of TLC spots. The IR spectra were recorded in KBr pellets on (BIO-RAD FTS) FT-IR spectrophotometer. 1H-NMR spectra were recorded on Bruker DPX-400 NMR spectrometer in DMSO-d6 using tetramethylsilane (TMS) as an internal standard. The chemical shifts are reported in ppm scale. Elemental data for C, H, and N were within ±0.4% of the theoretical values.
General Procedure for the synthesis of title compounds (5a-5l)
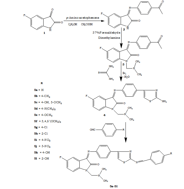
Preparation of 3-(4-acetylphenylimino)-5-fluoroindolin-2-one (2)
Equimolar quantities (0.1 mol) of 5-fluoro isatin and para amino acetophenone were dissolved in warm ethanol containing few ml of glacial acetic acid. The reaction mixture was refluxed for 3 h and set aside. The resultant product was collected and washed with dilute ethanol.
Yield: 71%; Mp: 196-198; FT-IR (KBr): cm-1 3368 (NH); 2939 (Ar C–H); 1732 (C=O); 1692 (C=O, isatin); 1636 (C=N); 1H NMR (400 MHz, δ ppm): 2.22 (s, 3H, -CH3); 6.64–7.66 (m, 7H, Ar-CH); 8.30 (s, 1H, -NH); MS (EI) m/z: 282 [M+]; Anal. Calcd for C16H11FN2O2: C, 68.08; H, 3.93; N, 9.92; Found: C, 68.12; H, 3.91 N, 9.86.
Preparation of 3-(4-acetylphenylimino)-1-((dimethylamino) methyl)-5-fluoroindolin-2-one (3)
To the solution of 3-(4-acetylphenylimino)-5-fluoroindolin-2-one (2) (0.05 mol) in 95% absolute ethanol (100 mL), aqueous formaldehyde 37% (1.0 mL) was added. Then dimethylamine (0.05 mol) added slowly to the above solution under stirring. After the addition was over, the entire reaction mixture was stirred at room temperature for 3 h, and then kept aside for 48 h in refrigerator to form crystals. Finally the products in the form of crystals were separated by filtration, and vacuum dried. Desired compounds were finally recrystallized with ethanol to obtain pure product.
Yield: 68%; Mp: 212-214; FT-IR (KBr): cm-1 2957 (Ar C–H); 1710 (C=O); 1682 (C=O, isatin); 1662 (C=N); 1H NMR (400 MHz, δ ppm): 2.32 (s, 3H, -CH3); 2.62 (s, 6H, N-(CH3)2); 4.54 (s, 2H, -CH2); 6.42–7.56 (m, 7H, Ar-CH); MS (EI) m/z: 339 [M+]; Anal. Calcd for C19H18FN3O2: C, 67.24; H, 5.35; N, 12.38; Found: C, 67.36; H, 5.36; N, 12.40.
Preparation of 3-(4-(2-aminothiazol-4-yl) phenylimino)-1-((dimethylamino) methyl)-5-fluoroindolin-2-one (4)
The thiazole ring was formed by the reaction of 3-(4-acetyl phenylimino)-1-((dimethylamino)methyl)-5-fluoroindolin-2-one (0.2 mol) (3) with thiourea (0.4 mol) and bromine (0.4 mol). The entire reaction mixture was boiled overnight in a water bath, and water was added to it and again heated until most of the solid has gone into solution. The solution was filtered when it was hot and the filtrate was cooled. Finally the filtrate was made alkaline with concentrated ammonium hydroxide to separate 3-(4-(2-aminothiazol-4-yl)phenylimino)-1-((dimethylamino)methyl)-5-fluoroindolin-2-one (4). The formed product was recrystallized with ethanol.
Yield: 68%; Mp: 192-194; FT-IR (KBr): cm-1 2920 (Ar C–H); 1736 (C=O); 1686 (C=O, isatin); 1669 (C=N); 1H NMR (400 MHz, δ ppm): 2.58 (s, 6H, N-(CH3)2); 4.33 (s, 2H, -CH2); 4.74 (s, 2H, -NH2); 6.68–7.64 (m, 8H, Ar-CH); MS (EI) m/z: 395 [M+]; Anal. Calcd for C20H18FN5OS: C, 60.74; H, 4.59; N, 17.71; Found: C, 60.60; H, 4.60; N, 17.72.
Synthesis of 3-(4-(2-(substituted benzylideneamino)thiazol-4-yl)phenylimino)-1-((dimethylamino)methyl)-5-fluoroindolin-2-one (5a-51)
Title compounds (5a-5l) were synthesized by adding 3-(4-(2-aminothiazol-4-yl)phenylimino)-1-((dimethylamino)methyl)-5-fluoroindolin-2-one (4) (0.01 mol) in fraction with the well stirred mixture of different aromatic aldehydes (0.01 mol) in ethanol (50 mL) and glacial acetic acid (few mL). Then this mixture was refluxed for 6 h and kept aside. The product that separated out was filtered, dried and recrystallized from ethanol. The method used for the preparation and isolation of the compounds gave materials of good purity, as evidenced by their spectral analyses.
3-(4-(2-(Benzylideneamino)thiazol-4-yl)phenylimino)-1-((dimethylamino)methyl)-5-fluoroindolin-2-one (5a)
FT-IR (KBr): cm-1 3025 (Ar C–H); 1741 (C=O); 1675 (C=N); 1H NMR (400 MHz, δ ppm): 2.45 (s, 6H, N-(CH3)2); 4.36 (s, 2H, -CH2); 6.78–7.68 (m, 13H, Ar-CH); 8.36 (s, 1H, -CH=N); MS (EI) m/z: 483 [M+]; Anal. Calcd for C27H22FN5OS: C, 67.06; H, 4.59; N, 14.48; Found: C, 67.15; H, 4.60; N, 14.50.
3-(4-(2-(4-Methylbenzylideneamino)thiazol-4-yl)phenylimino) -1-((dimethylamino)methyl)-5-fluoroindolin-2-one (5b)
FT-IR (KBr): cm-1 3024 (Ar C–H); 1741 (C=O); 1591 (C=N); 1H NMR (400 MHz, δ ppm): 2.22 (s, 3H, -CH3); 2.58 (s, 6H, N-(CH3)2); 4.23 (s, 2H, -CH2); 6.65–7.80 (m, 12H, Ar-CH); 8.24 (s, 1H, -CH=N); MS (EI) m/z: 497 [M+]; Anal. Calcd for C28H24FN5OS: C, 67.59; H, 4.86; N, 14.07; Found: C, 67.42; H, 4.85; N, 14.05.
3-(4-(2-(4-Hydroxy-3-methoxybenzylideneamino)thiazol-4-yl)phenylimino)-1-((dimethylamino)methyl)-5-fluoroindolin-2-one (5c)
FT-IR (KBr): cm-1 3390 (Ar-OH); 2917 (Ar C–H); 1736 (C=O); 1574 (C=N); 1H NMR (400 MHz, δ ppm): 2.64 (s, 6H, N-(CH3)2); 3.82 (s, 3H, Ar-OCH3); 4.26 (s, 2H, -CH2); 5.10 (s, 1H, Ar-OH); 6.77–7.66 (m, 11H, Ar-CH); 8.38 (s, 1H, -CH=N); MS (EI) m/z: 529 [M+]; Anal. Calcd for C28H24FN5O3S: C, 63.50; H, 4.57; N, 13.22; Found: C, 63.38; H, 4.55; N, 13.24.
3-(4-(2-(4-(Dimethylamino)benzylideneamino)thiazol-4-yl) phenylimino)-1-((dimethylamino)methyl)-5-fluoroindolin-2-one (5d)
FT-IR (KBr): cm-1 3024 (Ar C–H); 1741 (C=O); 1593 (C=N); 1H NMR (400 MHz, δ ppm): 2.54 (s, 6H, N-(CH3)2); 3.12 (s, 6H, N-(CH3)2); 4.26 (s, 2H, -CH2); 6.74–7.65 (m, 12H, Ar-CH); 8.22 (s, 1H, -CH=N); MS (EI) m/z: 526 [M+]; Anal. Calcd for C29H27FN6OS: C, 66.14; H, 5.17; N, 15.96; Found: C, 66.20; H, 5.18; N, 15.98.
3-(4-(2-(4-Methoxybenzylideneamino)thiazol-4-yl) phenylimino)-1-((dimethylamino)methyl)-5-fluoroindolin-2-one (5e)
FT-IR (KBr): cm-1 2970 (Ar C–H); 1740 (C=O); 1593 (C=N); 1H NMR (400 MHz, δ ppm): 2.60 (s, 6H, N-(CH3)2); 3.26 (s, 3H, -OCH3); 4.18 (s, 2H, -CH2); 6.58–7.64 (m, 12H, Ar-CH); 8.26 (s, 1H, -CH=N); MS (EI) m/z: 513 [M+]; Anal. Calcd for C28H24FN5O2S: C, 65.48; H, 4.71; N, 13.64; Found: C, 65.58; H, 4.72; N, 13.64.
3-(4-(2-(3,4,5-Trimethoxybenzylideneamino)thiazol-4-yl)phenylimino)-1-((dimethylamino)methyl)-5-fluoroindolin-2-one (5f)
FT-IR (KBr): cm-1 2970 (Ar C–H); 1741 (C=O); 1593 (C=N); 1H NMR (400 MHz, δ ppm): 2.44 (s, 6H, N-(CH3)2); 3.54 (s, 9H, (OCH3)3); 4.24 (s, 2H, -CH2); 6.84–7.82 (m, 10H, Ar-CH); 8.18 (s, 1H, -CH=N); MS (EI) m/z: 573 [M+]; Anal. Calcd for C30H28FN5O4S: C, 62.81; H, 4.92; N, 12.21; Found: C, 62.70; H, 4.91; N, 12.20.
3-(4-(2-(4-Chlorobenzylideneamino)thiazol-4-yl)phenylimino)-1-((dimethylamino)methyl)-5-fluoroindolin-2-one (5g)
FT-IR (KBr): cm-1 2938 (Ar C–H); 1753 (C=O); 1612 (C=N); 746 (C-Cl); 1H NMR (400 MHz, δ ppm): 2.48 (s, 6H, N-(CH3)2); 4.32 (s, 2H, -CH2); 6.48–7.54 (m, 12H, Ar-CH); 8.34 (s, 1H, -CH=N); MS (EI) m/z: 520 (M+2); Anal. Calcd for C27H21ClFN5O3S: C, 62.60; H, 4.09; N, 13.52; Found: C, 62.72; H, 4.10; N, 13.50.
3-(4-(2-(2-Chlorobenzylideneamino)thiazol-4-yl)phenylimino)-1-((dimethylamino)methyl)-5-fluoroindolin-2-one (5h)
FT-IR (KBr): cm-1 2980 (Ar C–H); 1753 (C=O); 1633 (C=N); 747 (C-Cl); 1H NMR (400 MHz, δ ppm): 2.54 (s, 6H, N-(CH3)2); 4.16 (s, 2H, -CH2); 6.55–7.64 (m, 12H, Ar-CH); 8.18 (s, 1H, -CH=N); MS (EI) m/z: 518 [M+]; Anal. Calcd for C27H21ClFN5O3S: C, 62.60; H, 4.09; N, 13.52; Found: C, 62.50; H, 4.08; N, 13.51.
3-(4-(2-(4-Nitrobenzylideneamino)thiazol-4-yl)phenylimino)-1-((dimethylamino)methyl)-5-fluoroindolin-2-one (5i)
FT-IR (KBr): cm-1 2970 (Ar C–H); 1741 (C=O); 1589 (C=N); 1555, 1369 (NO2); 1H NMR (400 MHz, δ ppm): 2.54 (s, 6H, N-(CH3)2); 4.36 (s, 2H, -CH2); 6.62–7.74 (m, 12H, Ar-CH); 8.26 (s, 1H, -CH=N); MS (EI) m/z: 528 [M+]; Anal. Calcd for C27H21FN6O3S: C, 61.35; H, 4.00; N, 15.90; Found: C, 61.48; H, 3.99; N, 15.92.
3-(4-(2-(3-Nitrobenzylideneamino)thiazol-4-yl)phenylimino)-1-((dimethylamino)methyl)-5-fluoroindolin-2-one (5j)
FT-IR (KBr): cm-1 2940 (Ar C–H); 1752 (C=O); 1612 (C=N); 1547, 1350 (NO2); 1H NMR (400 MHz, δ ppm): 2.62 (s, 6H, N-(CH3)2); 4.36 (s, 2H, -CH2); 6.84–7.92 (m, 12H, Ar-CH); 8.2 (s, 1H, -CH=N); MS (EI) m/z: 528 [M+]; Anal. Calcd for C27H21FN6O3S: C, 61.35; H, 4.00; N, 15.90; Found: C, 61.40; H, 4.01; N, 15.89.
3-(4-(2-(4-Hydroxybenzylideneamino)thiazol-4-yl) phenylimino)-1-((dimethylamino) methyl)-5-fluoroindolin-2-one (5k)
FT-IR (KBr): cm-1 3415 (OH); 2914 (Ar C–H); 1731 (C=O); 1642 (C=N); 1H NMR (400 MHz, δ ppm): 2.48 (s, 6H, N-(CH3)2); 4.14 (s, 2H, -CH2); 5.25 (s, 1H, -OH); 6.66–7.74 (m, 12H, Ar-CH); 8.18 (s, 1H, -CH=N); MS (EI) m/z: 499 [M+]; Anal. Calcd for C27H22FN5O2S: C, 64.91; H, 4.44; N, 14.02; Found: C, 65.04; H, 4.43; N, 14.01.
3-(4-(2-(2-Hydroxybenzylideneamino)thiazol-4-yl) phenylimino)-1-((dimethylamino) methyl)-5-fluoroindolin-2-one (5l)
FT-IR (KBr): cm-1 3424 (OH); 2914 (Ar C–H); 1723 (C=O); 1643 (C=N); 1H NMR (400 MHz, δ ppm): 2.54 (s, 6H, N-(CH3)2); 4.26 (s, 2H, -CH2); 5.24 (s, 1H, -OH); 6.54–7.68 (m, 12H, Ar-CH); 8.26 (s, 1H, -CH=N); MS (EI) m/z: 499 [M+]; Anal. Calcd for C27H22FN5O2S: C, 64.91; H, 4.44; N, 14.02; Found: C, 64.84; H, 4.42; N, 14.04.
Biological activities
Pharmacology
The synthesized compounds were evaluated for analgesic, anti-inflammatory, and ulcerogenic activities. One-way analysis of variance (ANOVA) was performed to certain the significance of all the exhibited activities. The test compounds and the standard drugs were administered in the form of a suspension (1% carboxy methyl cellulose as a vehicle) by oral route of administration for analgesic and anti-inflammatory but for ulcerogenicity studies by intraperitoneally as suspension in 10% v/v Tween-80. Each group consisted of six animals. The animals were maintained in colony cages at 25 ± 2°C, relative humidity of 45–55%, under a 12 h light and dark cycle; were fed standard animal feed [16]. All the animals were acclimatized for a week before use.
Analgesic activity
The analgesic activity was performed by tail-flick technique using Wistar albino mice (25–35 g) of either sex selected by random sampling technique [17,18]. Diclofenac sodium at a dose level of 10 and 20 mg/kg was administered orally as reference drug for comparison. The test compounds at two dose levels i. e., 10 and 20 mg/kg were administered orally. The reaction times were recorded immediately before and 30 min, 1, 2, and 3 h after the treatment and cut-off time was 10 s. The percent analgesic activity (PAA) was calculated by the following formula. PAA = [T2-T1/10-T1] X 100; where T1 is the reaction time (s) before treatment, and T2 is the reaction time (s) after treatment.
Anti-inflammatory activity
Anti-inflammatory activity was evaluated by carrageenan induced paw edema test in rats [19]. Diclofenac sodium 10 and 20 mg/kg was administered as standard drug for comparison. The test compounds were administered at two dose levels of 10 and 20 mg/kg. The paw volumes were measured using the mercury displacement technique with the help of plethysmograph immediately before and 30 min, 1, 2, and 3 h after carrageenan injection.
The percent inhibition of paw edema was calculated according to the following formula, percent inhibition I = 100[1 - (a - x)/(b - y)], where x is the mean paw volume of rats before the administration of carrageenan and test compounds or reference compound (test group), a is the mean paw volume of rats after the administration of carrageenan in the test group (drug treated), b is the mean paw volume of rats after the administration of carrageenan in the control group, y is the mean paw volume of rats before the administration of carrageenan in the control group. All the percent inhibition results are shown in Table 3.
Ulcerogenicity
Ulceration in rats was induced as reported method [20]. Albino rats of Wistar strain weighing 150–200 g of either sex were divided into various groups each of six animals. Control group of animals were administered only with 10% v/v Tween-80 suspension intraperitoneally. One group was administered with aspirin intraperitoneally in a dose of 200 mg/kg once daily for 3 days. Diclofenac was also administered as standard drug at 20 mg/kg once daily for 3 days to another group of animals in the same route.
The remaining group of animals was administered with test compounds intraperitoneally in a dose of 20 mg/kg. On fourth day, pylorus was ligated as per previous reported method [21]. Animals were fasted for 36 h before the pylorus ligation procedure. Four hours after the ligation, animals were sacrificed. The stomach was removed and opened along with the greater curvature. Ulcer index was determined by earlier reported method [22].

Anti microbial activity
In this study, all the synthesized compounds were screened for antimicrobial activity by agar streak dilution method. The antibacterial activity of the compounds were evaluated against four Gram-positive bacteria Staphylococcus aureus ATCC 9144, Staphylococcus epidermidis ATCC 155, Micrococcus luteus ATCC 4698 and Bacillus cereus ATCC 11778 and three Gram-negative bacteria Escherichia coli ATCC 25922, Pseudomonas aeruginosa ATCC 2853, and Klebsiella pneumoniae ATCC 11298. The antifungal activities of the synthesized compounds were evaluated against two fungi Aspergillus niger ATCC 9029 and Aspergillus fumigatus ATCC 46645. Bacterial strains were cultured over night at 37°C in Mueller–Hinton broth and the yeast was cultured overnight at 30°C in YEPDE agar for antibacterial and antifungal activity tests. Test strains were suspended in nutrient agar to give a final density of 5 x 10-5 cfu/ml.
Minimum inhibitory concentration (MIC)
MIC of the compound was determined by agar streak dilution method [23]. A stock solution of the synthesized compound (100 µg/ml) in dimethyl formamide was prepared and graded quantities of the test compounds were incorporated in a specified quantity of molten sterile agar (nutrient agar for anti-bacterial activity and Sabouraud’s dextrose agar medium for anti-fungal activity). A specified quantity of the medium (40-50°C) containing the compound was poured into a petridish to give a depth of 3-4 mm and allowed to solidify. Suspension of the micro-organism were prepared to contain approximately 5 x 10-5 cfu/ml and applied to plates with serially diluted compounds in dimethyl formamide to be tested and incubated at 37°C for 24 h and 48 h for bacteria and fungi, respectively. The MIC was considered to be the lowest concentration of the test substance exhibiting no visible growth of bacteria or fungi on the plate.
RESULTS AND DISCUSSION
Chemistry
In this study, we synthesized a series of novel Schiff and mannich bases of isatin derivative by substituting different aromatic aldehydes at the 3rd position through thiazole ring. And dimethylamino group at the N-1 position with formalin. Initially, 5-fluoro isatin and p-amino acetophenone were used as starting materials to produce 3-(4-acetylphenylimino)-5-fluoroindolin-2-one by a condensation reaction, which proceeds selectively on the carbonyl group in position 3 of the isatin ring. Furthermore, this compound was treated with dimethylamine and formalin gave 3-(4-acetylphenylimino)-1-((dimethylamino)methyl)-5-fluoroindolin-2-one. In this way the formed mannich base is reacted with thiourea in presence of bromine to offered a cyclic thiazole compound namely 3-(4-(2-aminothiazol-4-yl) phenylimino)-1- ((dimethyl amino) methyl)-5-fluoroindolin-2-one. Finally this compound was treated with different aromatic aldehydes in the presence of glacial acetic acid, and a variety of Schiff base derivatives have been isolated according to the synthetic Scheme 1. IR, 1H-NMR, mass spectra, and elemental analyses of the synthesized compounds are in accordance with the assigned structures. The IR spectra of all synthesized compounds showed some characteristic peaks indicating the presence of particular groups. The absorption bands at, around 1725 cm-1, and weak band around 1650 cm-1, which can be assignable to C=O, and C=N (azomethine linkage) vibrations respectively.
IR spectrum of 3-(4-(2-(4-hydroxybenzylideneamino)thiazol-4-yl)phenylimino)-1-((dimethylamino)methyl)-5-fluoroindolin-2-one (5k) was shown in the absorption band in the region of 3415 cm-1 which may be assigned to O–H stretching. The proton magnetic resonance spectrums of synthesized compounds were recorded in DMSO-d6. The following conclusions can be derived by comparing the spectra of synthesized compounds:
Biological activity
Analgesic activity
All the test compounds 5a-5l was evaluated for their analgesic activity by tail-flick technique using Wistar albino mice. The results of analgesic study are summarized in Table 1. The reports indicate that all the test compounds exhibited significant activity and graded dose response. Moreover, this study revealed that test compounds showed moderate analgesic activity at 30 min of reaction time; the activity increased at 1 h, further it reached to peak level at 2 h and past its best in activity was observed at 3 h. Compound 5a with unsubstituted phenyl derivative showed moderate analgesic activity compared to standard drug Diclofenac sodium. With the increased lipophilicity dimethyl amino and o-chloro substituted derivatives (5d and 5h) showed an increase in activity. When methyl (5b) and chlorine (5g) group substituted at para position further increases the lipophilicity results in enhanced activity which was found to be more potent than standard drug tested. Insertion of nitro and/or hydroxyl group (5i-5l) leads to decreases in activity which may be accounted for its low lipophilic value.
Anti-inflammatory activity
Carrageenan-induced paw edema test was performed to assess the anti-inflammatory activity of test compounds using Wistar rats. The anti-inflammatory activity results (Table 2) showed that all the test compounds protected rats from carrageenan-induced inflammation reasonably at 30 min of reaction time; the activity increased at 1 h and it reached to maximum level at 2 h. Declining in activity was observed at 3 h. The compounds possessing unsubstituted phenyl ring 5a exhibited moderate anti-inflammatory activity when compared to the reference standard Diclofenac sodium. With increased lipophilicity the compound 5d and 5h showed equipotent activity with reference standard Diclofenac sodium. Among all tested compounds methyl (5b) and chlorine (5g) placed at para position analogues exhibited better activity which is more potent than diclofenac. A deep fall in activity was observed when insertion of methoxy or nitro or hydroxyl group.
Ulcerogenicity: Further all the test compounds were examined for its ulcerogenicity and the results are summarized in Table 3. Entire test compounds exhibited less ulcer index compared to standard Diclofenac and Aspirin. The test compounds exhibited ulcer index ranging from 0.53±0.12 to 0.96±0.18 compared to the reference drug Diclofenac (1.60±0.52) and Aspirin (1.72±0.33).
The most potent compound of these series 5d and 5g found to possess only one third of the ulcer index of reference standards (Diclofenac and Aspirin).
Table 1: Analgesic activity of the test compounds (5a-5l) by Tail flick method
Compound |
Dose (mg/kg) |
Percent analgesic activity |
|||
30 min |
1 h |
2 h |
3 h |
||
5a |
10 |
25±1.81* |
41±0.58** |
45±0.26* |
24±1.62** |
20 |
37±1.28* |
42±0.03* |
49±1.13** |
30±0.84* |
|
5b |
10 |
36±0.52** |
45±0.56* |
50±1.21* |
32±1.56* |
20 |
53±0.54* |
58±1.65* |
68±1.96* |
47±0.52* |
|
5c |
10 |
27±1.31* |
39±0.08* |
42±0.95** |
25±1.35** |
20 |
43±1.06* |
47±0.61** |
56±1.03* |
36±0.77* |
|
5d |
10 |
33±1.36* |
42±0.87* |
47±0.87** |
29±1.64** |
20 |
49±1.75** |
52±0.67* |
64±0.41* |
44±1.32* |
|
5e |
10 |
29±1.51* |
41±0.38* |
44±0.16* |
27±1.45** |
20 |
46±1.18* |
50±0.95* |
60±1.54* |
39±0.79* |
|
5f |
10 |
22±0.81** |
34±1.43* |
39±0.38* |
24±1.14* |
20 |
36±0.89* |
41±2.53* |
47±0.64** |
30±1.14* |
|
5g |
10 |
38±0.66** |
47±0.42* |
53±1.52* |
34±1.84* |
20 |
55±0.54* |
61±1.22** |
72±1.89* |
49±0.85** |
|
5h |
10 |
31±0.47* |
42±0.35* |
46±1.30* |
27±1.66* |
20 |
47±0.48* |
52±1.43* |
64±1.06* |
44±0.69* |
|
5i |
10 |
18±2.01*** |
24±1.45* |
28±0.35* |
16±1.47** |
20 |
29±2.70** |
33±1.36** |
38±0.77** |
22±1.84* |
|
5j |
10 |
17±0.79* |
23±1.80* |
26±1.35* |
14±0.55* |
20 |
24±0.66* |
31±1.87** |
35±0.40* |
18±1.54* |
|
5k |
10 |
23±1.99** |
33±0.77* |
38±1.34* |
25±0.35*** |
20 |
35±1.78* |
42±0.52* |
46±1.64** |
29±2.01* |
|
5l |
10 |
21±1.57* |
31±0.22* |
35±1.29* |
20±0.45* |
20 |
32±1.12* |
39±0.44* |
42±1.18** |
27±1.03* |
|
Control |
- |
03±0.35 |
05±0.56 |
06±0.72 |
04±0.55 |
Diclofenac |
10 |
32±1.16* |
43±1.54** |
47±0.44** |
28±1.36* |
20 |
48±1.43** |
53±0.68*** |
64±0.38* |
45±1.56** |
|
Each value represents mean + SEM (n = 6); Significance levels *P < 0.05, **P < 0.01, ***P < 0.001
Table 2: Anti-inflammatory activity of the test compounds (5a-5l) by Carrageenan induced rat paw oedema test
Compound |
Dose (mg/kg) |
Percent protection |
|||
30 min |
1 h |
2 h |
3 h |
||
5a |
10 |
25±0.55* |
33±1.03* |
39±0.54* |
26±0.45** |
20 |
38±0.56** |
46±0.47** |
55±1.14* |
35±2.01* |
|
5b |
10 |
34±0.65* |
39±1.24* |
44±1.11* |
31±0.24* |
20 |
44±0.27* |
54±0.23* |
63±0.45** |
47±0.64* |
|
5c |
10 |
23±0.41* |
31±0.63* |
33±1.52* |
21±0.63** |
20 |
32±2.01* |
40±0.43** |
47±1.12* |
28±1.34* |
|
5d |
10 |
30±1.01* |
37±0.44* |
42±0.09* |
29±1.47* |
20 |
42±0.42* |
51±0.15** |
61±0.47* |
42±0.64* |
|
5e |
10 |
23±1.41** |
31±1.32* |
36±0.47** |
24±1.02* |
20 |
36±1.10* |
44±1.36* |
52±0.36* |
32±2.00*** |
|
5f |
10 |
22±0.52* |
30±1.04* |
34±0.22* |
22±0.55* |
20 |
34±0.77* |
42±1.63** |
50±1.21* |
30±0.64* |
|
5g |
10 |
36±1.41* |
41±0.54* |
46±0.66** |
33±2.02* |
20 |
46±0.21** |
56±1.06* |
68±0.15* |
50±1.02* |
|
5h |
10 |
30±1.45* |
36±1.10** |
42±1.32* |
29±0.42* |
20 |
40±0.96* |
51±1.24* |
61±0.16* |
42±0.63*** |
|
5i |
10 |
19±0.54** |
28±1.14* |
29±1.47** |
18±0.45* |
20 |
26±0.41* |
34±1.14*** |
40±1.41* |
24±1.21*** |
|
5j |
10 |
18±1.51* |
26±2.02** |
26±0.48* |
17±1.19* |
20 |
24±1.04* |
32±0.14* |
38±1.26* |
22±0.24* |
|
5k |
10 |
22±1.32* |
31±0.33** |
32±0.64** |
20±1.03* |
20 |
31±1.41*** |
39±0.61* |
45±0.11* |
27±1.34*** |
|
5l |
10 |
21±0.45* |
30±1.34* |
31±1.01** |
20±0.42* |
20 |
29±1.26* |
37±0.46* |
43±1.31* |
26±1.18* |
|
Control |
- |
4.1±0.94 |
6.7±0.56 |
4.9±0.23 |
3.1±0.51 |
Diclofenac |
10 |
31±0.41** |
37±0.41* |
42±1.74* |
30±1.01** |
|
20 |
42±0.64* |
52±1.45*** |
61±0.44** |
43±1.11* |
Aspirin |
200 |
- |
- |
- |
- |
Each value represents mean + SEM (n = 6); Significance levels *P < 0.05, **P < 0.01, ***P < 0.001
Table 3: Ulcer index of the test compounds (5a-5l) by pylorus ligation method.
| Compound | Dose (mg/kg) | Ulcer index |
| 5a | 20 | 0.71±0.62 |
| 5b | 20 | 0.60±0.34 |
| 5c | 20 | 0.74±0.28 |
| 5d | 20 | 0.55±0.12 |
| 5e | 20 | 0.66±0.18 |
| 5f | 20 | 0.82±0.50 |
| 5g | 20 | 0.54±0.32 |
| 5h | 20 | 0.68±0.42 |
| 5i | 20 | 0.90±0.44 |
| 5j | 20 | 0.96±0.18 |
| 5k | 20 | 0.62±0.46 |
| 5l | 20 | 0.74±0.16 |
| Control | - | 0.14±0.24 |
| Diclofenac | 20 | 1.60±0.52 |
| Aspirin | 200 | 1.72±0.33 |
Table 4: MIC (Minimum inhibitory concentration in µg/ml) of synthesized compounds (5a-5l)
| Compounds | K. pneumoniae | E. coli | P. aeruginosa | M. luteus | B. cereus | S. epidermidis | S. aureus | A. fumigatus | A. niger |
| 5a | 15.62 | 31.25 | 15.62 | 31.25 | 31.25 | 15.62 | 31.25 | 15.62 | 31.25 |
| 5b | 7.81 | 31.25 | 7.81 | 15.62 | 15.62 | 7.81 | 31.25 | 7.81 | 31.25 |
| 5c | 15.62 | 31.25 | 31.25 | 15.62 | 31.25 | 15.62 | 31.25 | 7.81 | 31.25 |
| 5d | 3.9 | 7.81 | 15.62 | 7.81 | 15.62 | 15.62 | 15.62 | 15.62 | 15.62 |
| 5e | 7.81 | 31.25 | 7.81 | 31.25 | 31.25 | 15.62 | 31.25 | 31.25 | 15.62 |
| 5f | 15.62 | 31.25 | 31.25 | 31.25 | 62.5 | 31.25 | 31.25 | 15.62 | 31.25 |
| 5g | 3.9 | 31.25 | 7.81 | 31.25 | 31.25 | 7.81 | 15.62 | 7.81 | 31.25 |
| 5h | 31.25 | 15.62 | 31.25 | 31.25 | 15.62 | 31.25 | 31.25 | 15.62 | 31.25 |
| 5i | 15.62 | 62.5 | 15.62 | 31.25 | 31.25 | 31.25 | 62.5 | 62.5 | 62.5 |
| 5j | 31.25 | 31.25 | 15.62 | 62.5 | 62.5 | 62.5 | 31.25 | 15.62 | 62.5 |
| 5k | 7.81 | 15.62 | 15.62 | 7.81 | 31.25 | 15.62 | 15.62 | 15.62 | 15.62 |
| 5l | 15.62 | 31.25 | 15.62 | 7.81 | 31.25 | 31.25 | 31.25 | 15.62 | 31.25 |
| Ciprofloxacin | 3.9 | 15.62 | 7.81 | 7.81 | 15.62 | 7.81 | 15.62 | - | - |
| Ketoconazole | - | - | - | - | - | - | - | 7.81 | 15.62 |
Antimicrobial activity
All the synthesized compounds were subjected to MIC (minimum inhibitory concentration) studies against all the microorganisms. The MICs of Ciprofloxacin and Ketoconazole were determined in parallel experiments in order to control the sensitivity of the test organisms. MIC values of the compounds and the standards are presented in Table 4. As seen in table 4 all compounds showed lower activities (MIC: 7.81-31.25 µg/ml) than standard against K. pneumoniae except 5d and 5g which showed equal activity. When it comes to E. coli compound 5d demonstrated exceptionally outstanding activity (MIC: 7.81 µg/ml) than Ciprofloxacin (MIC: 15.62 µg/ml), while compounds 5h and 5k showed equipotent activity against. Compounds 5c, 5f and 5h showed least activity (MIC: 31.25 µg/ml) against P. aeruginosa. Compounds 5d, 5k and 5l showed at par activity with standard against M. luteus (MIC: 7.81 µg/ml). Two compounds 5f and 5j showed least activity (MIC: 62.5 µg/ml) against B. cereus. Except compound 5b and 5g remaining compounds offered less activity than standard against S. epidermidis. Compounds 5d, 5g and 5k exhibited same activity (MIC: 15.62 µg/ml) as ciprofloxacin against S. aureus. While remaining compounds exhibited lesser activity (MIC: 31.25-62.5 µg/ml). Equal activity was produced by compounds 5b, 5c and 5g against A. fumigatus as standard, while remaining compounds showed lower activity (MIC: 15.62-62.5 µg/ml). Compounds 5d, 5e and 5k showed equal activity (MIC: 15.62 µg/ml) against A. niger when compared with standard drug ciprofloxacin (MIC: 15.62 µg/ml). Remaining other compounds has lower activity (MIC: 31.25-62.5 µg/ml).
CONCLUSIONS
In conclusion, we report the synthesis of novel isatin Schiff and mannich bases by incorporating thiazole moiety using inexpensive and commercially available materials with potential medicinal properties. This synthesis benefits from a simple method of purification. This ease of purification compliments this synthetic technology practical, easy to perform and facile. The synthesized compounds are characterized by FT-IR, 1H-NMR, mass spectroscopy and elemental analysis. These derivatives were evaluated for their in vitro antimicrobial, analgesic and anti-inflammatory activity. It has been found that the derivatives 5a, 5c, 5d, 5e and 5h showed comparable analgesic and anti-inflammatory activity equal to standard. While compound 5b and 5g exhibited more analgesic and anti-inflammatory activity compared to the reference drugs.
Compounds 5b and 5k showed moderated activity in the antimicrobial studies. While compounds 5d and 5g showed outstanding activity compared to standard drugs in the antimicrobial studies. Among all the test compounds, it is interesting to note that compounds 5d and 5g showed best antimicrobial, anti-inflammatory and analgesic activity with less ulcer index.
CONFLICT OF INTERESTS
Declared None
REFERENCES