1Ramanbhai Patel College of Pharmacy, Charotar University of Science and Technology, Charusat Campus, Changa 388421, Ta. Petlad, Dist. Anand, Gujarat, India.
Email: umangshah.ph@charusat.ac.in
Received: 18 Aug 2014 Revised and Accepted: 21 Sep 2014
ABSTRACT
Objective: Simple, reliable, sensitive and accurate spectrophotometric and RP-HPLC methods for the estimation of INH, RIFA and PIPE in pure and pharmaceutical dosage form.
Methods: In the first Absorption correction method, methanol and distilled water were used as diluent. The wavelengths selected for the analysis were 262 nm, 338 nm and 477 nm for INH, PIPE and RIFA respectively. The Second RP – HPLC method has been developed using Acetonitrile as diluent. Successful separation of drugs was achieved on LC18 100 A⁰ column (250 x 4.6 mm, 5 μ) using 0.01M Sodium Dihydrogen Orthophosphate, pH 6.5 and acetonitrile (40:60, % v/v) as mobile phase with flow rate of 0.9 mL/min. The wavelength of detection was 282 nm. Validation of developed methods was done according to ICH Q2 (R1) guideline.
Results: Calibration curve was linear over the concentration range of 12-34.5 μg/mL (INH), 8-23 μg/mL (RIFA) and 0.4-1.15 μg/mL (PIPE) respectively for absorption correction method and 30- 330 μg/mL (INH), 20-220 μg/mL (RIFA) and 1-11 μg/mL (PIPE) for RP – HPLC method with r2 value greater than 0.995. Accuracy of methods was determined by recovery studies and it was found to be 98 to 102 %. The % RSD values for all the validation parameters were less than 2.0 % for both the methods.
Conclusion: The developed RP-HPLC and UV spectrophotometric method were successfully applied for the quantitative determination of cited drugs in pharmaceutical dosage form.
Keywords: Isoniazid, Rifampicin, Piperine, UV- Spectrophotometry, RP-HPLC, Validation.
INTRODUCTION
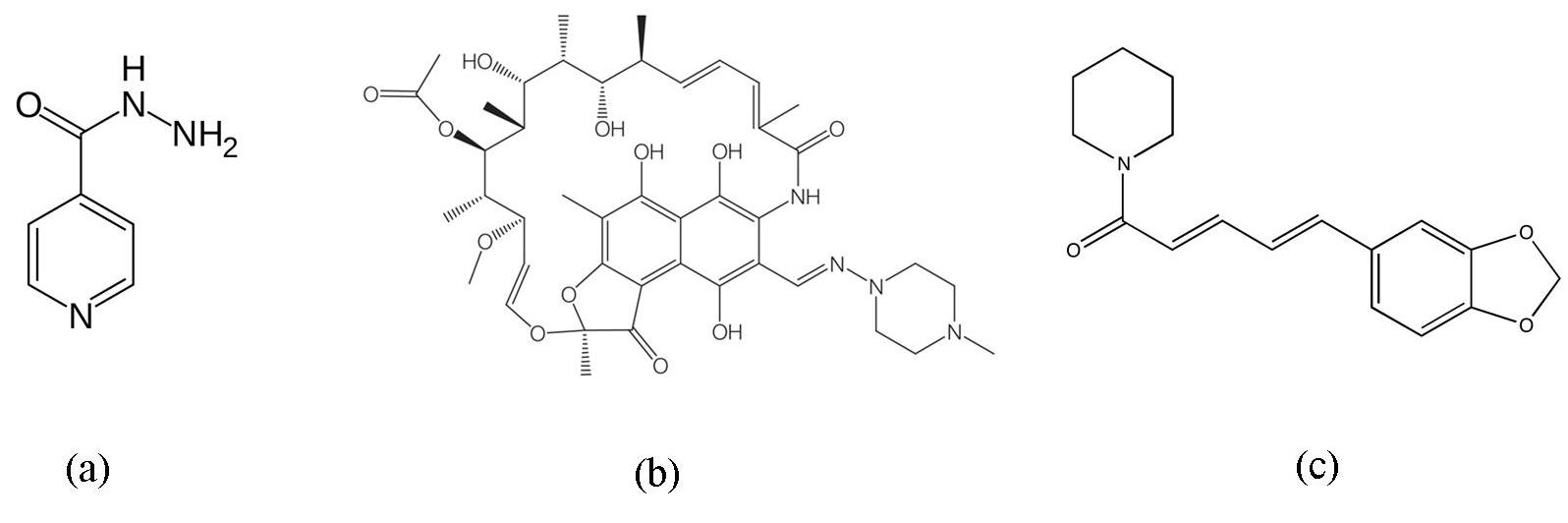
Chemically, Isoniazid (INH) is pyridine-4-carbohydrazide. It is a hydrazide of isonicotinic acid and structure of INH are shown in Fig. 1 [1-2]. INH is official in Indian Pharmacopoeia, British Pharmacopoeia, United States Pharmacopoeia, Japanese Pharmacopoeia and European Pharmacopoeia [1-5]. INH is still considered the primary drug for the chemotherapy of tuberculosis. INH is bacteriostatic for "resting" bacilli, but is bactericidal for rapidly dividing microorganisms. INH is a prodrug; mycobacterial catalase-peroxidase converts INH into an active metabolite. A primary action of INH is to inhibit the biosynthesis of mycolic acids [6].
Chemically, Rifampicin (RIFA) is (12Z, 14E, 24E)- (2S, 16S, 17S, 18R, 19R, 20R, 21S, 22R, 23S) - 1,2 -dihydro- 5, 6, 9, 17, 19 -pentahydroxy, 23 -methoxy- 2, 4, 12, 16, 18, 20, 22 heptamethyl -8- (4-methylpiperazin -1 yliminomethyl) -1, 11 - dioxo 2, 7 (epoxypentadeca -1, 11, 13 trienimino) naphtha [2,1-b] furan -21-yl acetate and structure of RIFA is shown in Fig. 1 [7]. RIFA is official in Indian Pharmacopoeia, British Pharmacopoeia, United States Pharmacopoeia, Japanese Pharmacopoeia and European Pharmacopoeia [7-11]. Rifampicin acts by binding to and inhibiting DNA-dependent RNA polymerase in prokaryotic but not in eukaryotic cells. It is one of the most active anti-tuberculosis agents known, and is also effective against most gram-positive bacteria as well as many gram-negative species. It enters phagocytic cells and can therefore kill intracellular micro-organisms including the tubercle bacillus [12].
Chemically Piperine (PIPE) is 1-[5-(1, 3-benzodioxol-5-yl)-1-oxo-2, 4-pentadienyl] piperidine is a natural alkaloid use as bio enhancer and structure of PIPE is shown in Fig. 1. Piperine is official in IP 2010 [13].
Literature survey revealed that several methods were reported for the estimation of INH, RIFA and PIPE individually as well as in combination with some other drugs. Analytical methods reported consisting of spectrophotometric [14-17], RP-HPLC [18-21], HPTLC [22-24], stability indicating HPLC [25], stability indicating HPTLC [26], LC-MS [27], LC-MS/MS [28], spectrofluorimetry [29]. As no method is reported for INH, RIFA and PIPE in combination. So, the aim of the present study was to develop accurate, precise and sensitive UV Spectrophotometric and RP – HPLC methods for the simultaneous estimation of INH, RIFA and PIPE in pure and in pharmaceutical dosage form and validate as per ICH Q2 (R1) guideline. Comparison of UV - spectrophotometric and RP - HPLC methods carried out by applying t-test to the assay results of all three drugs obtained by developed methods. So this study describes simple and sensitive spectrophotometric and chromatographic methods for determination of these drugs in pharmaceutical dosage form.

Fig. 1: Chemical structure of (a) INH (b) RIFA and (c) PIPE
MATERIALS AND METODS
INH reference standard was gifted from Calyx Pharmaceutical Ltd., Mumbai and RIFA reference standard was gifted from Cadila Pharmaceutical Ltd., Gujarat. PIPE was purchased from Sigma Aldrich. Risorine capsule (300 mg INH, 200 mg RIFA and 10 mg PIPE) was procured from the local market. Analytical grade reagents and solvents like methanol (AR), acetonitrile (HPLC grade), tri ethyl amine (TEA) and sodium dihydrogen orthophosphate were procured from Loba chemicals, Mumbai, India. Type I (HPLC grade) water was prepared by using the Millipore Milli-Q (DQ5) purification system.
Equipments instrumentation and software
UV-Visible double beam spectrophotometer with a matching pair of 1 cm quartz cuvettes (Shimadzu UV-1800,Shimadzu Corporation, Kyoto, Japan), connected to a computer loaded with Shimadzu UVPC version 3.42 software was used to record the absorption spectra of solutions. The spectral band width was 0.5 nm. An integrated HPLC system, LC 20AT from Shimadzu Corporation, Japan was used for the chromatographic separation of INH, RIFA and PIPE. The HPLC system was comprised of a binary gradient pump and manual sampler, column oven and a photodiode array detector. PC-installed LC solution software was used to record and integrate the chromatograms. Electronic weighing balance (Shimadzu AUX 220) was used for weighing the samples. Millipore Water purification system (DQ5) was used to get type I - HPLC grade water.
Spectrophotometric conditions for absorption correction method
Experimental condition
According to the solubility characteristics, the common solvent for the three drugs was found to be methanol. Hence the stock solution was prepared in methanol and further dilutions were made up with distilled water. The wavelengths selected for the analysis were 262 nm, 338 nm and 477 nm for INH, PIPE and RIFA, respectively.
Preparation of stock solutions
Accurately weighed and transferred 100 mg of INH, 100 mg of RIFA and 10 mg of PIPE working standard into a 100 mL amber color volumetric flasks respectively and 70 mL methanol was added. The mixture was sonicated for 10 min and diluted up to the mark with methanol. Final concentration of INH, RIFA and PIPE were 1000 µg/mL, 1000 µg/mL and 100 µg/mL respectively.
Construction of calibration curve
Aliquots (30, 20 and 10 mL) of INH. RIFA and PIPE from their stock solution respectively were transferred into 100 mL amber color volumetric flask and volume was made up to 100 mL with distilled water. From above solution aliquots of 0.4, 0.55, 0.7, 0.85, 1, 1.15 mL was taken and transferred into a 10 mL amber color volumetric flask and volume was made up to mark with distilled water to get a series of final concentration of INH (12-34.6 µg/mL), RIFA (8-23 µg/mL) and PIPE (0.4-1.15 µg/mL).
Analysis of marked formulation
Twenty capsules were accurately weighed and finely powdered. Capsule powder weight equivalent to 300 mg of INH, 200 mg of RIFA and 10 mg of PIPE accurately weighed and transferred to a into 100 mL amber colored volumetric flask and 70 mL of methanol was added. The mixture was sonicated for 20 min and diluted up to the mark with methanol and filtered through a whatman filter paper no.41. From this solution 1 mL aliquot was withdrawn into a 10 mL amber colored volumetric flask and diluted up to the mark with distilled water. Solution contains 300 µg/mL of INH, 200 µg/mL of RIFA and 10 µg/mL of PIPE. From this solution 0.85 mL aliquot was withdrawn into 10 mL amber colored volumetric flask and diluted up to mark with water. So the solution contains INH (25.5 μg/mL), RIFA (17 μg/mL) and PIPE (0.85 μg/mL). The analysis procedure was repeated six times for the capsule formulation.
Chromatographic conditions
Experimental condition
The mobile phase consisted of buffer (0.01 M sodium dihydrogen orthophosphate) and acetonitrile in the ratio of 40:60 % v/v and pH adjusted to 6.5 with TEA. A membrane filter of 0.45 µm porosity was used to filter and degas the mobile phase was done by sonication. Separation was carried out on Phenomenex Luna HPLC analytical C18 100 A⁰ column (250 x 4.6 mm, 5 μ) with isocratic elution. The flow rate was 0.9 mL/min and the detector was set at 282 nm. The volume of the sample solution injected was 20 µl. The analysis was carried out at 25 °C temperature.
Construction of calibration curve
Accurately weighed and transferred 300 mg, 200 mg and10 mg of INH, RIFA and PIPE into 100 mL amber colored volumetric flask respectively and 70 mL acetonitrile was added. The mixture was sonicated for 20 min and diluted up to the mark with acetonitrile. Final concentration of INH, RIFA and PIPE were 1000 µg/mL, 1000 µg/mL and 100 µg/mL respectively. From above solution aliquots of 0.1, 0.3, 0.5, 0.7, 0.9 and 1.1 mL was taken and transfer in 10 mL amber color volumetric flask and volume was made up to mark with acetonitrile. So solution contains INH (30 - 330 μg/mL), RIFA (20-220 μg/mL) and PIPE (1-11μg/mL).
Analysis of marked formulation
Twenty capsules were accurately weighed and finely powdered. Capsule powder weight equivalent to 300 mg of INH, 200 mg of RIFA and 10 mg of PIPE accurately weighed and transferred to a into 100 mL amber colored volumetric flask and 70 mL of acetonitrile was added. The mixture was sonicated for 20 min and diluted up to the mark with methanol and filtered through a whatman filter paper no.41. From this solution 1 mL aliquot was withdrawn into 10 mL amber colored volumetric flask. Dilute it up to mark with acetonitrile. So the solution contains INH (150 μg/mL), RIFA (100 μg/mL) and PIPE (5 μg/mL). The analysis procedure was repeated six times for capsule formulation.
RESULTS AND DISCUSSION
Optimization of spectrophotometric conditions
The proposed method is based on spectrophotometric absorption correction method for the simultaneous estimation of INH, RIFA and PIPE in UV and Visible region using methanol and distilled water as solvents. The overlain spectra of INH, RIFA, PIPE and mixture are shown in Fig. 2.

Fig. 2: Overlain spectra of INH, RIFA, PIPE and mixture
The method is based upon direct estimation of RIFA at 477 nm, as at this wavelength INH and PIPE have zero absorbance and shows no interference. For estimation of PIPE, corrected absorbance was calculated at 338 nm due to the interference of RIFA and INH has zero absorbance at this wavelength. At 262 nm, these three drugs were shown absorbance. To estimate the amount of INH, the absorbance of RIFA and PIPE were corrected for interference at 262 nm by using their absorptivity values.
A set of three equations was framed using absorptivity coefficients at selected wavelengths.



Where,
Optimization of chromatographic conditions
The main criterion for developing an RP-HPLC method was the determination of selected drugs in pharmaceutical dosage form in a single run, with emphasis on the method being accurate, reproducible, robust, linear, free of interference from other excipients and convenient enough for routine use in quality control laboratories.
The standard solution of INH, RIFA and PIPE were scanned over the range of 200 nm to 600 nm wavelengths. As shown in Fig. 2. the wavelength maxima of INH (261 nm), RIFA (477 nm) and PIPE (338 nm) are quite apart from each other and there was no isosbastic point was observed. Moreover, the combination has PIPE in lowest amount. So wavelength selected should be such that PIPE gives good response. Based on this, 282 nm was selected as detection wavelength. At 282 nm INH, RIFA and PIPE were showing quantifiable height and area.

Fig. 3: HPLC chromatogram of mixture (INH + RIFA + PIPE) in finally optimized conditions at 282 nm
Initially, the separation of all the peaks was studied by using a reversed-phase phenomenex L1 HPLC analytical C18 100 A⁰, 250 x 4.6 mm, 5 μ particle size columns with isocratic elution.
The mobile phase was selected on the basis of best resolution, peak purity index, peak symmetry and number of theoretical plates. Optimization of the mobile phase was performed based on trial and error method. In this method different mobile phase trials were tried in different buffer with differ in ratio and pH of the mobile phase. After that trial with buffer (0.01 M sodium dihydrogen orthophosphate): acetonitrile (40:60 % v/v) (pH 6.5), in this all three drugs are full fill all the criteria of system suitability test. So, finally buffer (0.01 M sodium dihydrogen orthophosphate): acetonitrile (40:60 % v/v) (pH 6.5) was selected as mobile phase.(Fig.3)
RIFA decomposes rapidly in acidic or alkaline conditions at 25 °C but slowly in neutral conditions so it is best to prepare aqueous solutions with oxygen-free solvent and at nearer to neutral pH.
Solution stability study
Solution stability was performed to check that the drugs were stable in solvent or not. The stability was performed by measuring the absorbance (for UV) and peak area (for HPLC) of the solution at different time intervals. It was observed that INH, RIFA and PIPE were stable in solution form upto 48 hours at refrigerated temperature.
Method validation
The developed and optimized method was validated for system suitability, specificity, sensitivity [limit of detection (LOD) & limit of quantitation (LOQ)], linearity, precision [repeatability & intermediate precision], accuracy and robustness as per ICH Q2 (R1) guideline [30-31].
System Suitability (for RP-HPLC)
System suitability is established to prove that suitability and reproducibility of the chromatographic system are adequate to perform an analysis. Single set of mixed standard solution was prepared as mentioned in the test method and six replicate injections of mixed standard preparation were injected and chromatogram was taken. Results were shown in Table 1.
Table 1: System suitability test parameters for INH, RIFA and PIPE by RP -HPLC method
| Parameters | Drugs | ||
| INH | RIFA | PIPE | |
| Retention timea | 2.702 | 3.883 | 8.701 |
| Tailing factora | 1.47 | 1.477 | 1.283 |
| Theoretical platesa | 4403.137 | 3350.974 | 12227.24 |
| Resolution factora | - | 5.504 | 16.638 |
| Peak area (% RSD)a | 1.144 | 0.672 | 1.391 |
| a mean of 6 determinations | |||
Specificity
The specificity of the method was determined by comparing the spectra (for UV) and chromatogram (for RP-HPLC) of the standard and sample solutions of INH, RIFA and PIPE. For HPLC peak purity index of each drug in the sample solution was found to be nearer to 1. Result obtained under optimized conditions has shown no interference from common capsule excipients and impurities. Result demonstrates the specificity of the method (Fig. 4a-4d).

Fig. 4a: Overlay spectra of blank, standard and sample solutions
Sensitivity
The sensitivity of the analytical method was evaluated by determining the limit of detection (LOD) and limit of quantification (LOQ) using following equations and result of sensitivity was shown in Table 2.
LOD = 3.3 σ / S and LOQ = 10 σ / S
Where, σ = standard deviation of y intercept of calibration curve (n = 6)
S = slope of a regression equation.

Fig. 4b: Overlay chromatogram of standard and sample Solutions

Fig. 4c: Blank chromatogram of mobile phase

Fig. 4d: Peak purity of (a) INH (b) RIFA (c) PIPE
Table 2: LOD and LOQ for INH, RIFA and PIPE by proposed methods
| Parameters | UV | HPLC | ||||
| INH | PIPE | RIFA | INH | PIPE | RIFA | |
| LOD (μg/mL) | 0.318 | 0.054 | 0.971 | 3.015 | 2.289 | 0.11 |
| LOQ (μg/mL) | 0.965 | 0.164 | 2.942 | 9.135 | 6.936 | 0.332 |
Linearity
Linearity was checked by diluting standard stock solution at six different concentrations. The linear regression analysis obtained by plotting the absorbance (for UV) and peak area (for HPLC) of analyte vs. concentration shown correlation coefficients(r2) greater than 0.995. The statistical results such as correlation coefficient(r2), slope and intercept are reported in Table 3.
Table 3: Linear regression data for calibration curve
| Parameters | UV | HPLC | ||||
| INH | RIFA | PIPE | INH | RIFA | PIPE | |
| Concentration range (µg/mL) |
12 – 34.6 | 8 – 23 | 0.4 – 1.15 | 30 – 330 | 20 – 220 | 1 – 11 |
| Correlation coefficient (r2)a | 0.9979 | 0.9982 | 0.9981 | 0.9985 | 0.9987 | 0.9988 |
| Intercepta | 0.051 | 0.016 | 0.032 | 65379.16 | 80587.50 | 10560.33 |
| Slopea | 0.082 | 0.032 | 1.302 | 18616.83 | 22505.16 | 53693.33 |
| a mean of 6 determinations | ||||||
Precision
The precision of the method was confirmed by repeatability and intermediate precision. Repeatability expresses the precision under the same operating conditions over a short interval of time.
The repeatability was performed by the analysis of the formulation was repeated for six times with the same concentration.
The amount of each drug present in the formulation was calculated as reported in % RSD. Result of repeatability was shown in Table 4.
Table 4: Result of repeatability study of INH, RIFA and PIPE
| Parameters | UV | HPLC | ||||
| INH | RIFA | PIPE | INH | RIFA | PIPE | |
| Concentration (µg/mL) | 25.5 | 17 | 0.85 | 150 | 100 | 5 |
| SDa | 0.272 | 0.09 | 0.001 | 1.586 | 1.295 | 0.027 |
| % RSDa | 1.024 | 0.511 | 0.505 | 1.015 | 1.208 | 0.5 |
| a mean of 6 determinations | ||||||
The intermediate precision of the method was confirmed by intraday (variation of results within the same day) and interday (variation of results between days) analysis. The intraday and interday precision of the proposed methods were performed by analyzing the corresponding responses three times on the same day for intraday precision and over a period of three days for inter day with three different concentrations of standard tertiary mixture solutions. The results were reported in terms of percentage of relative standard deviation (% RSD). Each concentration was applied in triplicates and % RSD was calculated. The precision studies data are represented in Table 5, 6 and 7 for INH, RIFA and PIPE, respectively.
Table 5: Results of intraday precision and interday precision studies of INH
| Parameters | INH | ||||||
| UV | HPLC | ||||||
| Concentration (µg/mL) | 12 | 25.5 | 34.5 | 30 | 150 | 330 | |
| Intra-day precision | S. Da | 0.16 | 0.21 | 0.54 | 0.477 | 1.606 | 2.41 |
| % RSDa | 1.404 | 0.795 | 1.564 | 1.307 | 1.051 | 0.738 | |
| Inter-day precision | S. Da | 0.181 | 0.917 | 0.576 | 0.575 | 1.69 | 2.922 |
| % RSDa | 1.468 | 0.917 | 1.601 | 1.656 | 1.082 | 0.898 | |
| a mean of 3 determinations | |||||||
Table 6: Results of intraday precision and interday precision studies of RIFA
| Parameters | RIFA | ||||||
| UV | HPLC | ||||||
| Concentration (µg/mL) | 8 | 17 | 23 | 20 | 100 | 220 | |
| Intra-day precision | S. Da | 0.081 | 0.106 | 0.048 | 0.181 | 0.997 | 2.776 |
| % RSDa | 1.015 | 0.106 | 0.205 | 0.822 | 0.943 | 1.186 | |
| Inter-day precision | S. Da | 0.106 | 0.15 | 0.155 | 0.241 | 1.215 | 3.117 |
| % RSDa | 1.329 | 0.865 | 0.651 | 1.076 | 1.159 | 1.356 | |
a mean of 3 determinations
Table 7: Results of intraday precision and interday precision studies of PIPE
| Parameters | PIPE | ||||||
| UV | HPLC | ||||||
| Concentration (µg/mL) | 0.4 | 0.85 | 1.15 | 1 | 5 | 11 | |
| Intra-day precision | SDa | 0.007 | 0.01 | 0.016 | 0.014 | 0.07 | 0.046 |
| % RSDa | 1.645 | 1.129 | 1.388 | 1.187 | 1.387 | 0.395 | |
| Inter-day precision | SDa | 0.007 | 0.012 | 0.017 | 0.017 | 0.079 | 0.124 |
| % RSDa | 1.872 | 1.428 | 1.534 | 1.341 | 1.511 | 1.058 | |
| a mean of 3 determinations | |||||||
Table 8: Results of recovery studies of INH
| Parameters | INH | |||||
| UV | HPLC | |||||
| Level (%) | 80 | 100 | 120 | 80 | 100 | 120 |
| Sample Concentration (µg/mL) | 12 | 12 | 12 | 150 | 150 | 150 |
| Amount of Standard added (µg/mL) | 9.6 | 12 | 14.4 | 120 | 150 | 180 |
| Total Concentration (µg/mL) | 21.6 | 24 | 26.4 | 270 | 300 | 330 |
| Found Concentration (µg/mL) ± SDa | 21.273 ± 0.091 |
23.553 ± 0.070 |
26.014 ± 0.071 |
272.148 ± 2.270 |
294.503 ± 2.844 |
325.316 ± 3.827 |
| % RSDa | 0.426 | 0.296 | 0.273 | 0.834 | 0.966 | 1.177 |
| % Recoverya | 98.5 | 98.14 | 98.54 | 100.81 | 98.17 | 98.59 |
| a mean of 3 determinations | ||||||
Table 9: Results of recovery studies of RIFA
| Parameters | RIFA | |||||
| UV | HPLC | |||||
| Level (%) | 80 | 100 | 120 | 80 | 100 | 120 |
| Sample Concentration (µg/mL) | 8 | 8 | 8 | 100 | 100 | 100 |
| Amount of Standard added (µg/mL) | 6.4 | 8 | 9.6 | 80 | 100 | 120 |
| Total Concentration (µg/mL) | 14.4 | 16 | 17.6 | 180 | 200 | 220 |
| Found Concentration (µg/mL) ± SDa | 14.504 ± 0.034 |
16.054 ± 0.039 |
17.684 ± 0.035 |
180.288 ± 1.893 | 200.146 ± 0.748 |
221.598 ± 2.773 |
| % RSDa | 0.236 | 0.242 | 0.197 | 1.05 | 0.374 | 1.251 |
| % Recoverya | 100.73 | 100.35 | 100.49 | 100.16 | 100.08 | 100.74 |
| a mean of 3 determinations | ||||||
Table 10: Results of recovery studies of PIPE
| Parameters | PIPE | |||||
| UV | HPLC | |||||
| Level (%) | 80 | 100 | 120 | 80 | 100 | 120 |
| Sample Concentration (µg/mL) | 0.4 | 0.4 | 0.4 | 5 | 5 | 5 |
| Amount of Standard added (µg/mL) | 0.32 | 0.4 | 0.48 | 4 | 5 | 6 |
| Total Concentration (µg/mL) | 0.72 | 0.8 | 0.88 | 9 | 10 | 11 |
| Found Concentration (µg/mL) ± SDa | 0.728 ± 0.009 |
0.786 ± 0.007 |
0.876 ± 0.015 |
8.828 ± 0.093 |
9.825 ± 0.082 |
11.068 ± 0.088 |
| % RSDa | 1.271 | 0.885 | 1.711 | 1.05 | 0.838 | 0.794 |
| % Recoverya | 101.18 | 98.21 | 99.48 | 98.08 | 98.25 | 100.62 |
| a mean of 3 determinations | ||||||
Accuracy
Accuracy of an analytical method is determined by the systemic error involved. It is the closeness of test results obtained by that method to the true value. The accuracy of the method was carried out at three levels 80, 100 and 120 % of the working concentration of sample. Calculated amount of standard solution of Rifampicin, Isoniazid and Piperine was spiked with added sample solution to prepare level 80, 100 and 120 % of the working concentration. From the total amount of drug found, the % recovery was calculated. This procedure was repeated for three times for each concentration. The % RSD was calculated. The results were shown in Table 8, 9 and 10.
Robustness (for RP-HPLC)
The robustness of an analytic procedure is a measure of its capacity to remain unaffected by small, but deliberate variation in method parameters and provides an indication of its reliability during normal usage. Robustness of the method was determined by small changes in flow rate, changes in pH, mobile phase ratio and wavelength of detection. Flow rate was changed to 0.9 ± 1.0 mL/min. The mobile phase ratio was changed to ± 2 % for all three components. Wavelength of detection was changed to 282 ± 2 nm. pH was changed ± 0.2. The method was found to be robust with respect to variability in applied conditions. Result of robustness was shown in Table 11.
Table 11: Results of robustness study of INH, RIFA and PIPE
| Chromatographic Parameter | Actual condition | Change condition | % RSDa | ||
| INH | RIFA | PIPE | |||
| pH ± 0.2 | 6.5 | 6.3 | 0.808 | 0.491 | 1.131 |
| 6.7 | 0.333 | 0.584 | 1.006 | ||
| Flow rate ± 10 % | 0.9 | 0.8 | 0.535 | 0.539 | 1.035 |
| 1 | 0.326 | 0.538 | 0.99 | ||
| Wavelength ± 2 nm | 282 | 280 | 1.002 | 0.976 | 1.077 |
| 284 | 0.969 | 0.959 | 0.965 | ||
| Change in mobile phase ratio ± 2 % | 100% | 98% | 0.201 | 0.043 | 1.572 |
| 102% | 1.039 | 0.618 | 1.394 | ||
| amean of 3 determinations | |||||
Table 12: Results of assay in commercial sample
| Parameters | UV | HPLC | ||||
| INH | RIFA | PIPE | INH | RIFA | PIPE | |
| Labeled Claim (mg) | 300 | 200 | 10 | 300 | 200 | 10 |
| % Assay ± SDa | 101.38 ± 0.517 |
101.10 ± 0.624 | 100.35 ± 0.930 |
101.36 ± 0.530 |
101.00 ± 0.892 |
101.33 ± 0.621 |
| % RSDa | 0.51 | 0.617 | 0.927 | 0.523 | 0.883 | 0.613 |
| amean of 6 determinations | ||||||
Table 13: Results of t-test for INH, RIFA and PIPE
| Parameter | INH | RIFA | PIPE | |||
| UV Method | RP -HPLC Method | UV Method | RP -HPLC Method | UV Method | RP -HPLC Method | |
| Meana | 101.37 | 101.35 | 101.09 | 101.00 | 100.34 | 101.32 |
| Variancea | 0.267 | 0.281 | 0.389 | 0.795 | 0.864 | 0.385 |
| Observations | 6 | 6 | 6 | 6 | 6 | 6 |
| Hypothesized Mean Difference | 0 | 0 | 0 | |||
| df | 5 | 5 | 5 | |||
| tstat | 0.183 | 0.158 | -1.932 | |||
| P(T<=t) two-tail | 0.862 | 0.881 | 0.111 | |||
| tcritical two-tail | 2.571 | 2.571 | 2.571 | |||
| amean of 6 assay determinations | ||||||
Analysis of market formulation
The validated UV spectrophotometric and RP-HPLC methods were used in the analysis of the marketed formulation RISORINE with a label claim of 300 mg for INH, 200 mg for RIFA and 10 mg for PIPE per capsule. The results for the assay show good agreement with the label claims. Result of the assay was shown in Table 12.
Comparison of the UV Spectrophotometric and RP-HPLC Methods
The comparison of the developed UV spectrophotometric and RP-HPLC methods was carried out by applying t- test to the assay results of all three drugs obtained by developed methods. It was found that tstat value was less than tcritical value for all the three drugs. Hence there was no significant difference between the developed methods. So both the developed methods can be successfully applied for quality control analysis of all three drugs in the combined pharmaceutical formulation. Result of statistical analytical comparison was shown in Table 13.
CONCLUSION
UV Spectrophotometric (Absorption correction method) and RP-HPLC methods were successfully developed and validated for the simultaneous determination of INH, RIFA and PIPE. The developed methods were found to be sensitive, accurate, precise, and robust. The results of the assay of the commercial formulation obtained from the UV and HPLC methods were not significantly different as per statistical analysis. This implies that the proposed UV and HPLC methods can be used for quality control analysis of INH, RIFA and PIPE in the combined pharmaceutical formulation.
CONFLICT OF INTERESTS
Declared None
ACKNOWLEDGEMENT
The authors thank to Calyx Pharmaceutical Ltd., and Cadila Pharmaceutical Ltd., for providing gift samples of INH and RIFA and Ramanbhai Patel College of Pharmacy (Charotar University of Science and Technology, Changa) for providing the necessary infrastructure to carry out the research.
REFERENCES