1Department of Chemistry, PSGVPM’s ASC College, Shahada 425409, Maharashtra, India,2Department of Chemistry, SVS’s Dadasaheb Rawal College Dondaicha 425408 Maharashtra, India.
Email: rajputss65@gmail.com
Received: 22 Aug 2014 Revised and Accepted: 25 Sep 2014
ABSTRACT
This review summarizes the synthetic methods, reactions and biological application of important pharmacological succinimides and summarizes recent developments in their derivatives such as dichlorodiformyl, Schiff base, chalcone, Barbier type allylation etc. Over the last years. The biological activity of the cyclic imides is also briefly discussed. Formation of succinimidyl radicals and Single crystal studies on this type of compounds are beyond the scope of this review and will not be discussed. Nor referenced.
Keywords: Succinimides, Biological activity, Dichlorodiformyl, Cyclic imides.
INTRODUCTION
Substituted succinimides are important compounds of many drugs and drug candidates. One of the most fundamental objectives of organic and medicinal chemistry is the design and synthesis of molecules having value as human therapeutic agents. Cyclic imides and their derivatives contain an imide ring and the general structure –CO–N(R)–CO–, so they are cross biological membranes in vivo [1].
A diversity of biological activities and pharmaceutical uses have been attributed to them, such as succinimide is a part of many active molecules possessing activities such as CNS depressant [2], analgesic [3], antitumor [4], cytostatic [5], anorectic [6], nerve conduction blocking [7], antispasmodic [8], bacteriostatic [9], muscle relaxant [10], hypotensive [11], antibacterial [l2], antifungal [13], anti-convulsant [14] and anti-tubercular [15].
Substituted succinimide moiety 1 appears as an interesting precursor of many biologically active of the above class compounds.
This review provides an overview of the synthesis and reactivity of succinimides and derivatives. In the first part we intend to outline the general methods by which substituted succinimides are prepared. The second and third parts are devoted to the chemical reactivity of substituted succinimides.
Synthetic methods
There have been a number of practically important routes to synthesize succinimides.
From succinic acid using SOCl2
A well-established route for the synthesis of 1-substituted phenyl pyrrolidine-2,5-dione 4 was reported by condensation of succinic acid 2 and primary aromatic amine 3 using SOCl2 under reflux condition (Scheme 1) [16].
From cyclic anhydride using Lewis Acid
The convenient method was reported for the direct synthesis of substituted succinimides in which succinic anhydride 5 treated with amine 6 using Lewis acid catalyst in the presence of Hexamethyl disilazane (HMDS) in benzene afforded the substituted succinimides 7 (Scheme 2) [17].

Scheme 2
In dry acetone with acetic anhydride in anhydrous CH3COONa
Reactions were studied and reported the synthesis in mild condition in which succinic anhydride 8 condensed with substituted aromatic amines 9 gives imic acid intermediate 10, which on cyclization with the help of acetic anhydride in anhydrous sodium acetate at 1000C gives N-phenyl succinimides 11 (Scheme 3) [18].
Scheme 3
From cyclic anhydride and amine in the presence of acetyl chloride
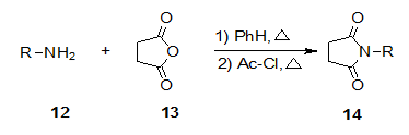
Treatment of amines 12 with succinic anhydride in the presence of benzene using acetyl chloride as dehydrating agent furnished succinimides 14 (Scheme 4) [19].
Scheme 4
Cyclic anhydride and SOCl2
When imic acid 17 undergoes cyclization in the presence of SOCl2, it gives product dithiin diisoimides 18 and diimides 19 instead of formation of N-substituted cyclic imides 20 (Scheme 5) [20].
Scheme 5
Solvent free synthesis in TaCl5-Silica gel
The new protocol developed for the synthesis of succinimide 22 from succinic anhydride 21 in solvent free condition using silica gel. The reaction is catalyzed by Lewis acid- TaCl5. (Scheme 6) [21].
Scheme 6
Solid phase synthesis using SBBC
A new method upon adopting a solid-phase strategy for the synthesis of N-aryl succinimides 30 was described using the silica-bound benzoyl chloride (SBBC) 27 (Scheme 7) as dehydrating agent in reaction with N-arylsuccinamic acids 28 (Scheme 8) [22]. The main advantage of this method is the recyclability of SBBC.
Scheme 7
Scheme 8
High Yield synthesis using a modification of Mitsunobu reaction
Modified Mitsunobu reaction used for the synthesis of N-substituted succinimide 33 using reaction between succinimide 31 and alcohol 32 in the presence of triphenyl phosphine and diisopropyl azodicarboxylate (DIAD) as a reagent. (Scheme 9) [23].
Scheme 9
Microwave assisted preparation of cyclic imides
Microwave-assisted preparation of substituted succinimide 36 was performed by reacting succinic anhydrides 34 and amine 35. The reaction was carried out in solvent DMF, acetic anhydride or water. The yield reported by microwave assisted reaction was excellent as compared to conventional method. (Scheme 10) [24].
Scheme 10
Clean and efficient synthesis in sub critical water
An alternative, fast and clean method was reported using sub-critical water for the synthesis of substituted succinimide 41 by reaction of succinic acid 37 with aniline 40 in water at 280ºC in 30 min with high yield (Scheme 11 and 12) [25].
Scheme 11
Scheme 12
Synthesis using Ionic liquid
N-alkyl and N-arylimides 44 were synthesized from cyclic imides 42 and alkyl or aryl amine 43 efficiently under mild reaction conditions in the presence of ionic liquids. The use of ionic liquids offer improvements for the synthesis of cyclic imides with regard to the yield of products, simplicity in operation, short reaction times and green aspects by avoiding toxic catalyst and organic solvents (Scheme 13) [26].
Scheme 13
Synthesis using Lewis acid Choline Chloride.2ZnCl2
The reaction of succinic anhydride 45 with aniline 46 using Lewis acidic ionic liquid Choline Cloride.2ZnCl2 gave N-phenylsuccinimide 47 in good yield under mild condition (Scheme 14) [27].
Scheme 14
Facile synthesis using Trifluroacetic acid
A mixture of anhydride 48 and aromatic amine 49 in trifluoroacetic acid as reaction medium and promoter was refluxed at 700C for appropriate time to obtain succinimides 50 (Scheme 15) [28].
Scheme 15
One Pot Synthesis of N-alkyl and N-arylimides using Sulphamic Acid
One pot method was reported for the synthesis of succinimides 53 by reacting succinic anhydride 51 in situ with aromatic or aliphatic amines 52 using 10 % sulphamic acid as a catalyst (Scheme 16) [29].
Scheme 16
Synthesis using substituted succinamic acid and acetyl chloride
The synthesis of N(4-hydroxyphenyl)-succinimide 58 was prepared from N(4-hydroxyphenyl)- succinamic acid 56 using acetyl chloride 57 as dehydrating agent (Scheme 17) [30].
Scheme 17
Synthesis using aromatic halide and succinimide
Marulashiddaiah et. al. reported the direct synthesis of N-substituted succinimides 62 from succinimide 60 and halide of coumarins and azocoumarins 61 under K2CO3 in acetone (Scheme 18) [31].
From succinic acid using EDC
A novel approach of asymmetric deprotonation strategy to the synthesis of chiral succinimides results atroposomeric imides 65 and 66 was reported, starting from (R)-2-methyl succinic acid 63 and orthoisobutylaniline using 1-Ethyl-3-(3-dimethylaminopropyl) carbodiimide (EDC) (Scheme 19) [32].
Scheme 18
Scheme 19
Using aromatic dicarboxylic acid
The synthesis of C7 side chain began with the formation of anhydride 68 from pyridine-2,3-dicarboxylic acid 67 and acetic anhydride (Scheme 20) [33].
Scheme 20
Using pyrazine anhydride and 2-amino-5-chloropyridine
The treatment of pyrazine anhydride 70 with 2-amino-5-chloropyridine 71 gave amide 73 in good yield (Scheme 21) [34].
Scheme 21
Chemical reactions
Chloroformylation
N-substituted succinimide on dichloro diformylation give halovinyl derivatives. in the presence of dimethylformamide and phosphorus oxycloride.
Chloroformylation of N-substituted succinimide
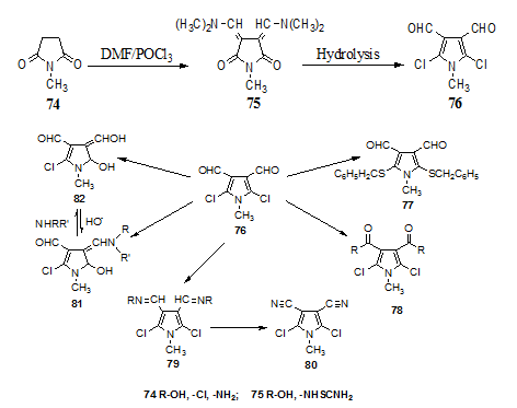
N-alkyl substituted succinimide 74 underwent dichloro diformylation in the presence of dimethylformamide and phosphorus oxycloride leads to aromatization of ring and formation of N-substituted dichlorodiformylpyrroles 76 via intermediate 75, which was used as synthone for the preparation of derivatives 77-82 (Scheme 22) [35].
Scheme 22
Chloroformylation of N-phenyl succinimide
Halovinyl aldehyde derivative, N-phenyl-2,5-dichloro-3,4-diformyl succinimide 84 was obtained by successive reaction of 83 with Vilsmeier-Haack reagent (DMF/POCl3) at 0-50C (Scheme 23) [36].
Scheme 23
Ring opening reactions
The nucleophilic ring opening reaction of succinimides shows inter and intra molecular reaction. Each reaction is classified according to nucleophile: Nitrogen, Oxygen, Carbon linked and hybrid.
Intermolecular reactions
Nitrogen linked nucleophile
The activating effects of the carbonyl groups enable a succinimide to react easily with amine. The reactions have been recently reported using simple amines, diamines and hydrazine as nucleophiles. Benzylamine 86 react easily with N-hydroxy succinimides 85 to gives diamide 87 in high yield (Scheme 24) [37].
Scheme 24
When both amino and hydroxyl groups are present in the same nucleophile, the amino group reacts selectively with succinimide. Thus N-vinyl succinimide 88 and ethanolamine 89 produce diamide 90 in almost quantitative yield at room temperature (Scheme 25) [38].
Scheme 25
Oxygen linked nucleophile
In contrast to ordinary amides, succinimides 91 and 93 were hydrolyzed to carboxylic acids 92 and 94 under weakly basic condition (Scheme 26) [39].
Scheme 26
Succinimide 95 underwent ring opening reaction by methanolysis under mild condition into methyl ester 96 and 97 (Scheme 27) [40].
Scheme 27
Carbon linked nucleophile
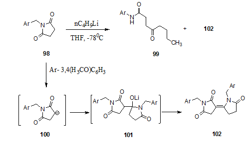
Reaction between succinimide and lithium reagent produce low yield of ketones (e. g. 98→99, Scheme 28). Since lithium reagents act as strong base, abstract one proton from the succinimide to formimic enolate 100, which then undergoes intermolecular nucleophilic addition to another molecule of succinimide to produce dimeric product (Scheme 28) [41].
Scheme 28
Reaction of N-(aminomethylene) succinimide 103 with two equivalents of Grignard reagents afforded ring opening product γ-keto amines 105 and tertiary amines 106. The reaction involves a salt like succinimidomagnesium halide intermediate 104, which reacts further with various Grignard reagents to give γ-keto amines 105 (Scheme 29) [42].
Reduction
Generally, succinimide can be reduce to give hydroxyl lactums (e. g. 107→108, Scheme 30), which are precursors to α-acyliminium salt 109 and other functional groups.
Under certain conditions hydroxyl lactams 108 can be reduced further to give ω-hydroxy amide 110 as a product (Scheme 30) [43].
Scheme 29
Scheme 30
Intermolecular reactions
Nucleophilic substitution
When succinimide 111 is reacting with the amino group, it forms preferentially a six member ring product 112 (Scheme 31) [44].
Photochemical ring opening
Succinimide can undergo ring opening and intramolecular cyclization under photochemical conditions. When compound 113 was irradiated in the presence of methyl Nitrile, a product 114 was obtained (Scheme 32) [45].
Scheme 31
Scheme 32
Bis-heterocyclic derivatives
Bis-chalcones
Bis chalcone 117 was obtained by reaction of N-(3-chlorophenyl) succinimide 115 and 4-hydroxy benzaldehyde 116 using glacial acetic acid. The bis chalcone separate as colored crystals (Scheme 33) [46].
Scheme 33
Azo flurorene
A mixture of N-(3-chlorophenyl) succinimide 118 refluxed with aldehyde in the presence of malononitrile in piperidine/ethanol for 4-5 hrs give azo flurorene 119 (Scheme 34) [47].
Scheme 34
Conclusion
Succinimides are easily available and have high chemical reactivity due to the presence of both carbonyl and methylene groups. Substituted succinimides are important compounds of many drugs and drug candidates. This survey was attempted to summarize the synthetic methods and reactions of succinimides.
CONFLICT OF INTERESTS
Declared None.
REFERENCES