Department of Chemistry, Manipal Institute of Technolgy, Manipal University, Manipal-576014, Karnataka, India.
Email: gaonkarslg@rediffmail.com
Received: 02 Jun 2014 Revised and Accepted: 22 Jul 2014
ABSTRACT
Multicomponent, solid-phase, microwave and grinding methods are the constructive modes in the sustainable synthesis of 1, 2, 4-triazoles and such reactions have attracted enormous interest in recent years. The alternative reaction conditions getting popularity in the recent ecofriendly-economical time have been thoroughly investigated. Literature studies on 1, 2, 4-triazoles have shown that these derivatives possess broad spectrum of biological activities. This review focuses on synthetic strategies and pharmacological properties of 1, 2, 4-triazoles.
Keywords: 1, 2, 4-triazole, Analgesic, Anticancer, Anticonvulsant, Anti-inflammatory, Antimicrobial, Antioxidant, Microwave, Solid-phase.
INTRODUCTION
The feat of imidazole as a prominent medicinal moiety (eg.Clotrimazole, Miconazole, and Losartan potassium) has led to the emergence of triazoles. Triazoles are the isosters of imidazoles in which the carbon atom of imidazole is isosterically replaced by nitrogen. Triazole derivatives are the promising heterocycles in the field of medicine.
Their pharmacological activities are texted for antibacterial [1], antifungal [2], antiviral [3], anticonvulsant [4], antiinflammatory [5] activities. Thus, they are the most explored clinical entities both in single and fused forms with other bioactive heterocycles. The notable isomers of triazole are 1H-1, 2, 4-triazoles (Fig. 1) as they form a part of a number of biologically active pharmaceutical products (Fig. 2).
For instance, Rizatriptan benzoate (Maxalt, 1998) an antimigraine medication, Voriconazole (Vfend) an antifungal, Aprepitant (Emend) for chemotherapy induced nausea and vomiting. Besides, they appear in analytical and industrial chemistry. The worth of this motif has swifted the development of many practical synthetic strategies (solution-phase, sold-phase, microwave, multicomponent, one-pot, and grinding method) which are rarely being reviewed. Therefore, herein different synthetic procedures of 1, 2, 4-triazoles and a detailed assessment of their medicinal handling is being appropriately inspected.

Fig. 1: Isomers of triazole

Fig. 2: Active pharmaceutical products containing 1,2,4-triazole ring
METHODS OF SYNTHESIS
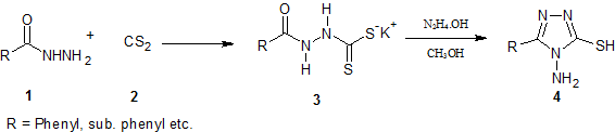
The methods used for the synthesis of 1, 2, 4-triazole derivatives have been reviewed a couple of years back. Cansiz et al., [6] reacted carbohydrazides1with CS22in ethanolic potassium hydroxide to give dithiocarbazate3, which was later reacted with hydrazine hydrate to form 4-amino-5-aryl-4 H-1, 2, 4-triazole-3-thiol4 (Scheme 1). Cyclodehydration of the thiosemicarbazides 5 in basic medium [7] leads to the formation of 1, 2, 4-triazoles 6 (Scheme 2).
The microwave-assisted synthesis of thiadiazolyl substituted triazoles 9 is pioneered by Kidwai and coworkers [8]. It happens with the insertion reaction of 5-substituted-2-amino-1,3,4-thiadiazoIes 7 with 5- alkyl-2-mercapto-1,3,4-oxadiazoles 8, on an alumina solid support. Any toxic or corrosive mineral acids or organic solvents are not demanded by the reaction (Scheme 3). The process takes around 40-80 seconds, offering 77-93 % of pretty good yield.
A convenient and efficient one-step base-catalyzed synthesis of 3, 5-disubstituted 1, 2, 4-triazoles 10 has been reported by Yeung et al., under microwave conditions [9]. The method is claimed to be a general one and a wide range of functional groups is tolerated under the prescribed conditions (Scheme 4).
Microwave irradiation and grinding techniques form a major part of green chemistry. Green chemistry is coined to meet the requirements of environmentally benign and economically sound chemical processes. Reddy et al., have followed microwave-accelerated and grinding-accelerated heating process [10] to obtain 3-mercapto-1,2,4-triazoles 12 derived from substituted coumarins11(Scheme 5). In this case, microwave irradiation method has given products in less time and better yield. Grinding technique has stood up as an efficient alternative heating source for organic transformations. The key benefits of microwave-assisted and grinding-assisted organic synthesis are as follows: brief reaction time, effortless experimental procedure, high yields, clean reaction, no demand for special apparatus, non-damaging, operational simplicity, and convenience. Rostamizadeh et al., in their sold-phase synthesis of 1,2,4-triazoles [11] have ventured three-component condensation of acyl hydrazines 13 inthe presence of S-methyl iso thio amide hydroiodide14, silica gel, and ammoniumacetate under a microwave irradiation of 900 W power affording 66-91 % of 1,2,4-triazole derivatives 15 (Scheme 6).Silica gel is a solid acidic catalyst being considered in these reactions for its low cost, high selectivity, and environmental safety.

Scheme 1: Synthesis of 3-mercapto-1, 2, 4-triazoles

Scheme 2: Cyclodehydration of thiosemicarbazides

Scheme 3: Synthesis of thiadiazolyl substituted triazoles

Scheme 4: An efficient base-catalyzed synthesis of 3, 5-disubstituted-1, 2, 4-triazoles

Scheme 5: Synthesis of 3-mercapto-1, 2, 4-triazoles

Scheme 6: Synthesis of 1, 2, 4-triazoles using silica gel
Castanedoet al., have reported a highly regioselective one-pot process providing rapid access to highly diverse 1,3,5-trisubstituted 1,2,4-triazoles 18 from reaction of carboxylic acids16, primary amidines17, and monosubstitutedhydrazines. HATU (2-(7-Aza-1H-benzotriazole-1-yl)-1,1,3,3-tetramethyluronium hexafluorophosphate) as the peptide coupling reagent, diisopropylethylamine (DIPEA) as a base and DMF as the reaction solvent are being used for acylamidine formation (Scheme 7). This synthesis allows greater miscellany at the 5-position. Yields range from 63-94% for this one pot reaction [12].

Scheme 7: Synthesis of 1,3,5-trisubstituted 1,2,4-triazoles
A copper-catalyzed reaction under an atmosphere of air providing 1,2,4-triazole derivatives 21 from amidines19and nitriles 20by sequential N-C and N-N bond forming oxidative coupling reactions has been reported by Ueda et al. Starting materials and the copper catalyst are readily available and inexpensive [13].
A wide range of functional groups are tolerated (Scheme 8).This is based on the well-known ability of transition metals to activate nitriles. Product is not observed in the absence of the copper catalyst.

Scheme 8: Synthesis of 1,2,4-triazole derivatives using copper catalyst
Xuet al., have formed a series of new oxamide-derived amidine reagents 22 that can be accessed in excellent yield with minimal purification [14]. A subsequent reaction of these reagents with various hydrazine hydrochloride salts 23efficiently generates 1,5-disubstituted-1,2,4-triazole compounds 24 in good yields. Both aromatic and aliphatic hydrazines react readily with the amidine reagents under very mild reaction conditions (Scheme 9).
Cyanoimidates are attractive chemicals to build heterocycles in the fields of medicinal chemistry. But, there is a dearth of acceptable synthetic methods for producing them, the yield being utterly unsatisfactory. In order to overcome these troubles, Yin et al.,havereported a mild, one-pot cyanoimidation of aldehydes using cyanamide as a nitrogen source and NBS as an oxidant in 85-95 % yield without any catalyst add-on [15]. Subsequently, the substituted N-cyanobenimidate products 25may also undergo a cyclization reaction to give 1,2,4-triazole derivatives 26 in high yields (Scheme 10).

Scheme 9: Synthesis of 1,5-disubstituted-1,2,4-triazole compounds

Scheme 10: Synthesis of 1,2,4-triazole derivatives via one-pot synthesis
Liu et al., have developed a novel versatile reagent called Diethoxyphosphinyl acetic acid hydrazide29for the preparation of 1,2,4-triazoles [16]. Acylhydrazines are used in association with substituted imidates to givethis reagent, which is involved in the efficient synthesis of fused[5,5]-, [5,6]-, and [5,7]-3-[(E)-2-(arylvinyl)]-1,2,4-triazoles 28 from aldehyde and alkoxyimines 27 (Scheme 11).

Scheme 11: Synthesis of 1,2,4-triazoles with diethoxyphosphinyl acetic acid hydrazide
Su et al., have made use of substituted hydrazones to synthesize 1,2,4-triazoles [17]. Intermolecular cyclization of hydrazonyl chlorides 30 with nitriles catalyzed by ytterbium(III) triflate presents a series of 1,3,5-trisubstituted-1,2,4-triazoles 31 in 70-85 % yield (Scheme 12).
Boegline et al., have synthesized 3,4,5-Trisubstituted 1,2,4-triazoles 33from various thioamides 32 and hydrazides based on the principles of combinatorial solid-phase reactions (Scheme 13). Good yield of about 31-80 % is procured [18].
Makara et al., have followed a reaction between Polymer-supported N-acyl-1H-benzotriazole-1-carboximidamides 34 and hydrazines[19] to afford3-alkylamino-1,2,4-triazoles 35(Scheme 14). The overall yield being 45-65 %.
Xiaofeng et al., have introduced protic ionic liquids as greener alternatives to traditional volatile molecular organic solvents for the reactions of organoamines37with oxadiazoles36to afford sterically hindered 1,2,4-triazoles38 (Scheme 15). Amongst the investigated protic ionic liquids, pyridinium trifluoroacetate and acetate showed the highest efficiency for the reactions of arylamines and alkylamines, respectively [20].

Scheme 12: Ytterbium (III) triflatecatalyzed synthesis of 1,2,4-triazoles
Bioactive 1,2,4-Triazoles
The wide magnitude of biological activity exhibited by 1,2,4-triazoles has been looked over in this segment. Recent works (2010-2014) have been emphasized (Fig. 3).

Scheme 13: Solid-phase synthesis of 3,4,5-Trisubstituted 1,2,4-triazoles

Scheme 14: Solid-phase synthesis of 3-alkylamino-1,2,4-triazoles

Scheme 15: Synthesis of 1,2,4-triazoles using protic ionic liquids

Fig. 3: Significant biological activities of 1,2,4-triazole derivatives
Antimicrobial agents
Shu-jun Chao et al.,have screened their novel S-glycosides possessing 1,2,4-triazoles(Fig. 4)derived from 3-aryl-5-mercapto-1,2,4-triazole and tetra-O-acetyl- α-D-glucopyanosyl bromide for the antibacterial activity [21]. The investigation on the sructure-activity relationship shows that hydroxy group boosts the antibacterial action of the title compounds.

Hakan Bektaset al., have tested some novel 4,5-disubstituted-2,4-dihydro-3H-1,2,4-triazol-3 ones (Fig. 5) against Escherichia coli, Klebsiellapneumoniae, Yersinia pseudotuberculosis, Entero bacteraero genes, Pseudomonasaeruginosa, Staphylococcus aureus, Enterococcus faecalis,Bacillus cereus, Candida tropicalis, Candida glabrata, and Candidaalbicans. The compounds showed moderate to good activity against all the tested strains [22].

Nitin Muthal et al., have screened 5-substituted-3-pyridine-1, 2, 4 triazoles(Fig. 6).The screening results of all the compounds have exhibited good antibacterial and anti fungal activities[23]. They have concluded that those triazoles with free NH2 in 4th position ‘C’are responsible for the worthy results.

Kumudha et al., have reported a number of 4,5-diphenyl 4H-1,2,4-triazole-3-thiols (Fig. 7) which are found to display potent antibacterial activity [24] against S. Aureus and antifungal activity against Candida albicans.

Sangamesh et al., have carried out the antimicrobial studies of Schiff bases derived from isatin and 3-substituted-4-amino-5-mercapto-1,2,4-triazole (Fig. 8)and their metal complexes against various bacterial (Escherichia coli, Staphylococcus aureus, Pseudomonas aeruginosa and Bacillus subtilis) and fungal (Aspergillusniger, and Penicilliumchrysogenum) species by the minimum inhibitory concentration method. They have deduced that the metal complexes hold better antibacterial activities than the corresponding Schiff bases [25].

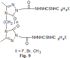
1,2,4-triazole-possessing thiosemicarbazides(Fig. 9),synthesized by Esra Dugdu et al., have shown very good antibacterial and antifungal activities [26]. They regarded that thiosemicarbazide groups in the triazole compounds should be considered for the synthesis of lead compounds.

Sumangala et al., have synthesized and evaluated 6-substituted-3-[4-(methylsulfonyl)benzyl]-7H-[1,2,4]triazolo[3,4-b][1,3,4]thiadiazines (Fig. 10)for the antimicrobial action. Some of the derivatives have exhibited assuring biological activity [27].

Anti cancer agents
Ya-Ping Hou et al., have screened a series of 1,2,4-triazole derivatives containing 1,4 benzodioxan (Fig. 11)for their ability to anti proliferative activity against HEPG2, HELA, SW1116 and BGC823 [28]. The tested compounds show potent activities against HEPG2 than other three cancer cell lines. Analysis of structure-activity relationship (SAR) indicates that compounds with electron-withdrawing group show stronger activity than that with electron-donating group, with all the IC50 values below 50 lM against HEPG2. Compounds with different electron-withdrawing groups, are able to portray different antitumor activities, and the potency order follows F (fluorine) >Cl (chlorine) > Br (bromine)> NO2 (nitro-group). With regard to the F-substituted compounds, monosubstitution is preferred over di-substitution. The placement of substituents based on their effects is ortho- > meta- >para-. The work is continued with MetAP2 inhibitory assay, apoptosis assay, and Western-blot assay.

Xiang Li et al., have reported potent anticancer activities exhibited by new chiral 1,2,4-triazole compounds (Fig. 12) towards Hela [29].

Antioxidants
Chidananda et al., have synthesized a series of 3-(2-bromo-5-methoxyphenyl)-6-(substituted)[1,2,4]- triazolo [3,4-b][1,3,4] thiadiazoles (Fig. 13)and screened them for their antioxidant activities. The significant activity of these compounds may be attributed to the presence of strong electron withdrawing group or para substituted phenyl groups [30].

Anti inflammatory agents
5-substituted-3- pyridine-1, 2, 4 triazoles(Fig. 6)synthesized by Nitin Muthalet al., are screened for the anti inflammatory activity too [23]. Compounds are observed to display good results.
Kumudha et al., have followed Carrageenan induced rat paw edema method to evaluate the anti inflammatory activity of 4,5-diphenyl 4H-1,2,4-triazole-3-thiols (Fig. 7) at the dose of 50mg in albino rats using diclofenac sodium as a standard drug [24]. Values are articulated as ANOVA followed by New mann’sKeul’s multiple range tests.
Ayse et al., have attempted to ascertain new candidates with improved analgesic and antiinflammatory activities in the form of a series of thiazolo [3,2-b]-1,2,4-triazole-5(6H)-one derivatives of ibuprofen(Fig. 14). All compounds were evaluated for their in vivo antiinflammatory and analgesic activities in mice. Furthermore, the ulcerogenic risks of the compounds were determined. They stated that condensation of (-)-3-[1-(4-(2-methylpropyl)phenyl)ethyl]-1,2,4-triazole-5-thione with a thiazole ring provides a superior result in both analgesic and anti-inflammatory activity [31].

Chidananda et al., have synthesized a library of 3-(2-bromo-5-methoxyphenyl)-6-(substituted)[1,2,4]- triazolo [3,4-b][1,3,4] thia diazoles (Fig. 15a)and 3-(2-bromo-5- methoxyphenyl)-6-(sustituted phenyl)-5,6-dihydro[1,2,4] triazolo[3,4-b] [1,3,4] thia diazole derivatives(Fig. 15b)[30] which have emerged out to be potent antiinflammatory agents.
Mohamed et al., have screened a library of new 1-(4-methoxyphenyl)-5-(3,4,5-trimethoxyphenyl)-1H-1,2,4-triazole-3-carboxamides (Fig. 16)for their antiinflammatory activity [32] using carrageenan induced rat paw edema method and the tested compounds exhibited safer UI comparative to indomethacin.
Anticonvulsant
Kumudha et al., have screened Some of the selected compounds in the series of 4,5-diphenyl 4H-1,2,4-triazole-3-thiols (Fig. 7)for anticonvulsant activity. 1,2,4-triazoles with p-methyl and p-methoxy groups are observed to have exhibiting good anticonvulsant activities [23].
Siavash et al., have synthesized a novel series of 5-(2-phenoxybenzyl)-4H-1,2,4-triazoles(Fig. 17), possessing C-3 thio, alkylthio and ethoxy substituents as novel benzodiazepine analogues. The majority disclosed similar to superior binding affinity to the GABAA/benzodiazepine receptor complex, relative to diazepam as the reference drug [33].



CONCLUSION
Greener and breakneck pathways for the synthesis of bioactive heterocyclic compounds are the need of the hour. This review illustrates several attractive alternatives over classical solution phase synthesis of potentially bioactive 1,2,4-triazoles.Recent papers point toward the application of 1,2,4-triazoles as potent antimicrobial and anti inflammatory agents. 1,2,4-triazoles are also observed to have bright prospect as anticancer agents, antioxidants, and anti convulsants.
CONFLICT OF INTERESTS
Declared None
REFERENCES