1. V. G. Vaze College of Arts, Science and Commerce, Mithagar Road, Mulund (E), Mumbai- 81. India. 2. Kelkar Education Trust’s Scientific Research Centre, Mulund (E), Mumbai – 81.
Email: raginidange@gmail.com
Received: 12 Jun 2014 Revised and Accepted: 19 Jul 2014
ABSTRACT
Objective: The present study aims at standardization of Thin Layer Chromatography (TLC) parameters and Validation of High Performance Thin Layer Chromatography (HPTLC) method for detection and quantification of Betulinic Acid (BA) in Ancistrocladus heyneanus Wall ex. J. Graham.
Methods: HPTLC was performed on 20x10 cm HPTLC Plates coated with Silica gel 60 F254 using mobile phase Toluene: Ethyl Acetate: Methanol (16:2:2 v/v) and Anisaldehyde Sulphuric acid as derivatizing agent. The double developed plate was scanned at 540 nm for determination of Rf values and absorbance spectra corresponding to each band. The Method Validation was carried out according to ICH (International Conference on Harmonization) guidelines. The standard of Betulinic acid assayed along with sample for determination of concentration of Betulinic acid in stem extract.
Results and Discussion: The TLC parameters were standardized and the Rf of BA was determined to be 0.67. The validation data was scrutinized. The values of Linearity (r2> 0.99), Method precision (% RSD=1.41), Intermediate precision (% RSD- 2.55-3.29), Accuracy (% recovery 93.6) were determined. The concentration of Betulinic Acid in the Stem extract of Ancistrocladus heyneanus was found to be 0.05 %.
Conclusion: The results of Method Validation obtained found satisfactory and indicate the successful validation of HPTLC method for Quantitative determination of Betulinic Acid (BA) from stem extract of Ancistrocladus heyneanus Wall ex. J. Graham.
Keywords: HPTLC, Betulinic Acid, Ancistrocladus heyneanus, Rf value, Method Validation, International Conference on Harmonization (ICH).
INTRODUCTION
Ancistrocladus heyneanus Wall. Ex. J. Graham, belonging to the monogeneric family Ancistrocladaceae, is the only species found in India, along the Western Ghats [1]. The family is particularly important due to the presence of Napthylisoquinoline Alkaloids which are unique to the family Ancistrocladaceae and Dioncophyllaceae [2, 3]. However, it is also known to contain Betulinic Acid [4, 5], a Triterpenoid with anti-HIV activity, along with anti-cancer, anti-malarial, anti-inflammatory etc. [6, 7].

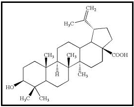
Fig. 1: Structure of Betulinic acid
Betulinic acid (Figure 1), 3b-hydroxy-lup-20(29)-en-28-oic acid, is a pentacyclic lupane-type triterpene with molecular formula C30H48O3 (Mol. Wt. 456.7). Its derivatives, showing promising biological activity include- Betulin, Dihydrobetulinic acid, Amide derivatives of Betulinic acid etc. [6, 8]. BA previously has been isolated from the ethanolic extracts of roots of Ancistrocladus heyneanus [4]. The present paper illustrates the Method Validation Protocol for HPTLC analysis of Betulinic acid in Stem extract of this plant.
MATERIALS AND METHODS
Plant Material and Crude Extract Preparation
Plant material collected from Matheran, Dist. Raigad was identified as Ancistrocladus heyneanus Wall ex. J. Graham by experts at Blatter Herbarium, Mumbai. Stem was air dried and ground to fine powder. The powder was defatted with Pet Ether and then Sequential extraction was carried out in Soxhlet apparatus with Dichloromethane gave the crude extract, which was filtered through Whattman filter paper no.1. The 30 g of stem powder yielded 1.37g of extract.
Standard and Sample Preparation
Standard of Betulinic Acid procured from Sigma Aldrich, USA. All the chemicals and solvents used are of analytical grade. A stock solution of standard Betulinic Acid prepared in methanol at concentration of 0.1 mg/mL. Working Standard of 0.01 mg/mL prepared by diluting stock ten times. Concentration of stem extract Sample prepared was 25 mg/mL.
Application Pattern
20x10 cm HPTLC Plates coated with silica gel 60 F254 (Merk, Germany) were used. Sample and Standard solutions applied on a plate at position 8 mm from bottom and 15 mm from sides. Band length was 8 mm. Application was done using instrument ATS 4, a fully automated device (Camag, Muttenz, Switzerland) provided with 100 µL syringe.
Chromatography
Ascending chromatography was performed in a twin trough chamber with Toluene: Ethyl Acetate: Methanol (16:2:2 v/v) as mobile phase and saturation with filter paper no. 1 for 20 min. Run the solvent system up to distance 80 mm and then dried it. Again developed in another fresh mobile phase up to 80 mm. (Double development) development time was 10 min. Dried to remove traces of mobile phase and dipped in Anisaldehyde Sulphuric Acid Reagent for 5 sec, followed by heating at 110 oC for 5-10 min.
Spectral Scanning
The derivatized plate was scanned in TLC scanner 4 at wavelength 540 nm. The source of radiation was tungsten (W). A TLC scanner 4 with computer system and WinCATS Software (V 1.4.6 2002) were obtained from Camag (Muttenz, Switzerland).
Method validation
Method validation performed according to guidelines of International Conference on Harmonization (ICH) [9].
Specificity
Specificity of method was confirmed by analyzing standard Betulinic acid and sample of stem extract. Spots of sample, standard, mobile phase and diluent methanol were applied in duplicate and plate was developed. Plate derivatized and analyzed. Rf values and spectra of the spots in sample were compared with that of the standard.
Linearity and Calibration Curve
Calibration curve was prepared using concentrations 0.07, 0.09, 0.11, 0.13, 0.15, 0.17 µg/spot from standard solution of 0.01 mg/mL of Betulinic Acid. Each concentration was loaded in triplicate. The plate was developed and scanned at 540 nm. The data collected was used for plotting the curve of concentration (µg/spot) vs. peak area corresponding to each spot.
Precision
Repeatability of sample application was evaluated by applying 11 µL of standard Betulinic acid solution (0.11 µg/spot) 5 times on plate, without changing the parameters. The results were reported in terms of relative standard deviation (% RSD) of average area.
The Intra-day precision in determination of BA was carried out by applying different concentrations of standard 0.07, 0.09, 0.11, 0.13, 0.15 µg/spot. The result was reported as % RSD for each spot scanned at time intervals of 0, 20 and 40 min.
Accuracy (%Recovery)
Accuracy of the method was determined by calculating the percentage recovery at 80, 100 and 120 %. 0.04, 0.05 and 0.06 µg/spot of standard BA was loaded on sample spots of 25 µg along with spots of only sample and only standard.
Robustness
Robustness of method was determined by varying the time between spot development and scanning (0 min, 20 min, and 40 min) for concentration range of standard from 7 to 15 µL at five different concentrations.
Quantitative Assay
Stem extract of A. heyneanus and standard BA applied 1 and 7 µL respectively. Plates were developed and scanned. The amount of BA in stem extract was calculated by comparing peak area values of standard and sample.
RESULTS AND DISCUSSION
The HPTLC method for detection and quantification of Betulinic acid was standardized for Mobile phase, Saturation time, Run time and Rf value. A mobile phase Toluene: Ethyl Acetate: Methanol (16:2:2 v/v) gave good separation, sharp and symmetrical peaks. Double development was carried out for stem extract of A. heyneanus with fresh mobile phase each time and 20 min. saturation. The Rf value was found to be 0.67. A densitogram and 3-D chromatogram of Betulinic acid peaks at 540 nm is shown in Figure 2a and 2b.
The HPTLC method was validated in terms of Specificity, Linearity, Precision and Accuracy.

Fig. 2a: Chromatogram of Betulinic Acid with corresponding Rf value at 540 nm. Stationary Phase: HPTLC Plates coated with silica gel 60 F254 Mobile Phase: Toluene:Ethyl Acetate: Methanol (16:2:2 v/v) Detection: Anisaldehyde Sulphuric Acid

Fig. 2b: 3-D Chromatogram showing peaks of different concentrations of Betulinic Acid at 540 nm.
Calibration Curve, Linearity and Range
The calibration plot generated over the concentration range of 0.07, 0.09, 0.11, 0.13, 0.15, 0.17 µg/spot (Figure 3) found to be linear with correlation coefficient (R2) of 0.9963.
Concentration (µg/spot)

Fig. 3: Calibration Curve for Betulinic Acid plotted as Peak Area (AU) Vs
Precision
Method precision and Intermediate precision were studied in terms of %RSD values of repeatability and reproducibility (1.41 for Repeatability and 2.55 to 3.29 for Reproducibility), which revealed that the proposed method is precise. The RSD value for Repeatability is less than 2 %, indicates that the method is repeatable. (Table 1 and Table 2).
Table 1: Precision (Repeatability): The area obtained with same concentration loaded 5 times, the standard deviation and % RSD value to indicate repeatability.
| S. No. | Concentration of Standard applied (µg) | Peak Area (AU) | Average Area | Standard Deviation | %RSD |
| 1 | 0.11 | 2240.5 | 2263.92 | 31.9234 | 1.41 |
| 2 | 0.11 | 2260.4 | |||
| 3 | 0.11 | 2306.0 | |||
| 4 | 0.11 | 2227.8 | |||
| 5 | 0.11 | 2284.9 |
Table 2: Precision (Reproducibility): The area obtained by scanning the plate at different time intervals, the standard deviation and % RSD value to indicate repeatability for each concentration.
| S. No. | Concentration of Standard BA (µg) |
Peak Area (AU) | Average Area | Standard Deviation | %RSD | ||
| Scan 1 | Scan 2 | Scan 3 | |||||
| 1 | 0.07 | 793.6 | 793.6 | 749.2 | 778.8 | 25.63435 | 3.291519 |
| 2 | 0.09 | 958.9 | 958.9 | 915.1 | 944.3 | 25.28794 | 2.677956 |
| 3 | 0.11 | 1054.7 | 1045.3 | 1002 | 1034 | 28.10854 | 2.718427 |
| 4 | 0.13 | 1211.7 | 1211.7 | 1158.9 | 1194.1 | 30.48409 | 2.552893 |
| 5 | 0.15 | 1390.1 | 1390.1 | 1328.9 | 1369.7 | 35.33384 | 2.579677 |
Table 3: Accuracy in terms of % Recovery by comparing the expected and recovered area of Sample spiked with different concentrations of Standard.
Sample applied (µg) |
Standard loaded (µg) |
Corresponding area | Expected Area (Sample+ Standard) |
Recovered Area (Sample+ Standard) | % Recovery |
Avg. % Recovery | |
| Sample | Standard | ||||||
| 25 | 0.04 | 5428 | 1553 | 6981 | 5511 | 93.2 | 93.6 |
| 25 | 0.05 | 5428 | 1667 | 7095 | 6614 | 93.2 | |
| 25 | 0.06 | 5428 | 1801 | 7229 | 6845 | 94.6 |
Table 4: Comparative data of standard Betulinic acid and stem extract of A. heyneanus
| S. No. | Spot applied(µg) | Rf value | Peak Area(AU) |
| 1 | 0.07 µg of BA | 0.68 | 1817.2 |
| 2 | 0.09 µg of BA | 0.68 | 2196.1 |
| 3 | 0.11 µg of BA | 0.68 | 2479 |
| 4 | 0.13 µg of BA | 0.67 | 2885.8 |
| 5 | 0.15 µg of BA | 0.67 | 3301.1 |
| 6 | 0.17 µg of BA | 0.67 | 3454.9 |
| 7 | 25 µg of extract | 0.67 | 5590 |
Accuracy
Percentage recovery obtained at 80, 100 and 120 % was 93.2, 93.2 and 94.6 respectively, which indicates that the method is accurate. (Figure 4) (Table 3)

Fig. 4: HPTLC plate used for calculation of percentage recovery. Lane 1-3: Only Sample, Lane 4-12: Samples spiked with standard, Lane 13-18: Only Standard
Specificity
The optimized method gave good separation and estimation of BA in extract. There was no interference of diluents and any other components on BA peak and Rf values, indicating the method is specific. (Table 4)
Robustness
Percentage RSD values for each time interval of scanning is calculated and it is below 4 %.
Quantification
The HPTLC method was successful in estimating the amount of Betulinic acid in stem extract of A. heyneanus. And it was found that, it contained 0.05% w/w of BA. Other components in the extract did not interfere in the analysis. The Regression analysis data and Validation parameters are presented in Table 5.
Table 5: Regression Analysis Data and Summary of Validation Parameters for HPTLC Method
| Parameters | Values |
| Linearity Range (µg/ spot) | 0.07-0.17 |
| Regression Equation (y=a+bc) | Y=697.39+16397c |
| Slope(b) | 16397 |
| Intercept | 697.39 |
| Coefficient of Correlation (r2) | 0.9963 |
| Mean % Recovery (n=3) | 93.6 |
| Repeatability (%RSD) (n=5) | 1.41 |
| Intraday %RSD (n=3) | 2.55 to 3.29 |
CONCLUSION
The simple, new, precise, specific and accurate HPTLC method was successfully developed for detection and quantification of a medicinally important Terpenoid, Betulinic Acid from extract of Ancistrocladus heyneanus. The other components of the extract did not interfere in the BA analysis. The amount of Betulinic Acid present in the stem extract was then determined by this method. This is the first research paper on HPTLC Method Validation and Quantification of Betulinic Acid from Ancistrocladus heyneanus. The Betulinic Acid is an important bioactive compound, available in various natural sources. Thus the proposed method can help in routine estimation of this compound from wide range of plants.
CONFLICT OF INTERESTS
Declared None
ACKNOWLEDGEMENT
The authors are thankful to Anchrome Research Laboratory, Mulund. Mumbai, for providing all the facilities, support, guidance as well as constant encouragement for the research work.
REFERENCES