1H. E. J. Research Institute of Chemistry, International Center for Chemical and Biological Sciences, University of Karachi, Karachi 75270, Pakistan, 2Faculty of Pharmacy, Universiti Teknologi MARA, Puncak Alam Campus, 42300 Bandar Puncak Alam, Selangor Darul Ehsan, Malaysia, 3Atta-ur-Rahman Institute for Natural Products Discovery (AuRIns), Universiti Teknologi MARA, Puncak Alam Campus, 42300 Bandar Puncak Alam, Selangor Darul Ehsan, Malaysia.
Email: drsadia@puncakalam.uitm.edu.my
Received: 27 Aug 2014 Revised and Accepted: 25 Sep 2014
ABSTRACT
Objective: Andrographolide (1), the main crystalline bitter principle of Andrographis paniculata nees. (also known as rice bitter in the West Indies) was first isolated by Gorter, and characterized as trihydroxy lactone. It was also isolated from Holmskilodia sanguinea in very good yield. It possesses a wide range of biological activities, which is also important in the therapeutic fields including anti-inflammatory, anti-malarial, anti-viral, immuno-stimulant, anti-HIV, and cardiovascular properties. In the present study, we first time studied the microbial metabolism of andrographolide (1) with Cunninghamella elegans (TSY 0865) and Cephalosporium aphidicola (IMI-68689).
Methods: Microbial cultures of the C. elegans and C. aphidicola were grown on Potato dextrose agar (PDA) at 25°C and stored at 4°C. Medium for C. aphidicola was prepared by mixing Glucose (50.0 g), KH2PO4 (1.0 g), MgSO4.7H2O (2.0 g), Glycin (2.0 g), KCl (1.0 g) and Gibberella trace element solution (2.0 mL) into distilled water (1 L) and maintained pH at 5.6. While C. elegans medium was prepared by adding Glucose (10.0 g), peptone (5.0 g), KH2PO4 (5.0 g), yeast extract (5.0 g), NaCl (5.0 g) and glycerol (10 mL) into distilled water (1 L) and maintained pH at 5.6.
Results: Two compounds were obtained as transformed products. Based on physical and spectroscopic data, these have been identified as andropanolide (2) and 14-deoxy-11,12-didehydro andrographolide (3). Both compounds were previously obtained by the phytochemical investigation of A. paniculata and biotransformed product as well.
Conclusion: It could be concluded that C. elegans and C. aphidicola were able to produce oxidative derivatives of 1 in a regio- and stereoselective manner. Present investigation has been conducted for the first time with C. elegans and C. aphidicola. Incubation of 1 for 9 days with fungal strains yielded isomerized and oxidative products 2 and 3. Structures of all metabolites were elucidated by using spectroscopic techniques.
Keywords: Microbial transformation, Andrographolide, Anti-HIV, Andrographis paniculata.
INTRODUCTION
Andrographolide (1) is an ideal substrate for biotransformation as it is readily isolated from plant extracts, having potential bioactivities. It is a key for the treatment value of plant Andrographis paniculata. The plant is commonly known as “Hempedu Bumi” (bile of the earth) and “pokok cerita” in Malaysia and it is also an established medicinal herb in China, India and Southeast Asia. Andrographolide (1) exhibits various pharmacological properties, such as anti-viral [1-2] anti-bacterial [3-5], cytotoxicity [6,7], hepatoprotective [8], immunostimulatory [9] and anti-inflammatory activities [10, 11].
According to a recent research study, microbial biotransformation is a unique and inexpensive resource of bioactive natural products [12-20]. The diversity of the possible reactions types in microbial transformation includes the process of oxidation, hydroxylation, esterification, isomerization, reduction, acetylation and hydrogenation [15-24]. Studies on the subject of microbial transformation of diverse compounds provide the foundation for roles of fungi in modifying the chemical structure [25-31]. Libraries of analogue compounds with unique structural modifications can be generated by microbial biotransformation stated [32-35]. Numerous microbial biotransformations of steroids and terpenes have been reported [13,14,25 ]. To the best of our knowledge, so far, only Rhizopus stolonifer and Aspergillus ochraceus have been confirmed to possess the ability to transform andrographolide [36, 37].
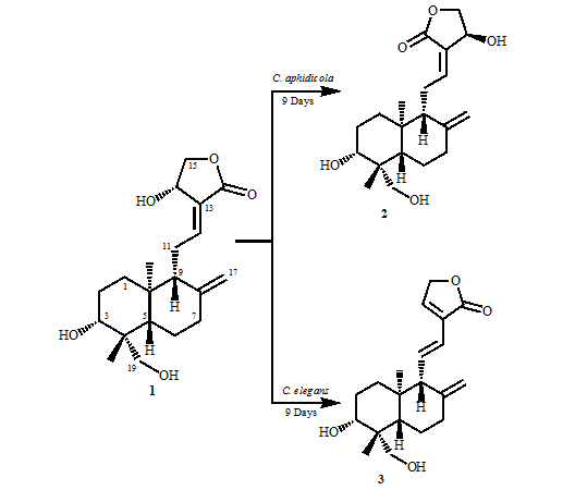
In the present study, we first time studied the microbial metabolism of 1 with C. elegans (TSY 0865) and C. aphidicola (IMI-68689). Two compounds (2 and 3) were obtained as transformed products. Based on physical and spectroscopic data, these have been identified as andropanolide (2) and 14-deoxy-11,12-didehydro andrographolide (3). Both compounds were previously obtained from the phytochemical investigation of A. paniculata [38,39] and from the biotransformation of andrographolide with Rhizopus stolonifer [37]. They also stated that the compound 2 was a result of hydration of the double bond at C-12(13), followed by dehydration which converts the configuration of the double bond to Z-form. Dehydration at C-14 in 1 resulted conjugated double bond producing compound 3.
MATERIALS AND METHODS
General
Andrograholide (1) was purchased from sigma-aldrich (USA). Melting points were determined on a Yanaco MP-S3 apparatus. UV spectra were measured on a Shimadzu UV 240 spectrophotometer. JASCO DIP–360 Digital polarimeter was used to measure the optical rotations in chloroform by using 10 cm cell tube. FTIR-8900 Spectrophotometer was used to record IR spectra in CHCl3.
The 1H-NMR and 2D NMR spectra were recorded on a Bruker Avance III 400 spectrometer, while 13C-NMR spectra were recorded on Bruker Avance III 400 spectrometer operating at 100 MHz using CDCl3 as solvent. Chemical shifts were reported in δ (ppm), relative to SiMe4 as internal standard, and coupling constants (J) were measured in Hz. The HREI MS were measured on Jeol HX 110 mass spectrometer. TLC was performed on Si gel precoated plates (PF254, 20 × 20, 0.25 mm, Merck, Germany). Ceric sulphate in 10% H2SO4 spraying reagent was used for the staining of compounds on TLC. All reagents used were of analytical grades.
Fungi and culture conditions
Microbial cultures of the C. elegans (TSY 0865) was grown on Potato dextrose agar (PDA) at 25°C and stored at 4°C. elegans TSY 0865 medium was prepared by adding Glucose (10.0 g), peptone (5.0 g), KH2PO4 (5.0 g), yeast extract (5.0 g), NaCl (5.0 g) and glycerol (10 mL) into distilled water (1 L) and maintained pH at 5.6 [26].
Microbial cultures of the C. aphidicola (IMI-68689) were grown on Potato dextrose agar (PDA) at 25°C and stored at 4°C. Medium for C. aphidicola was prepared by mixing Glucose (50.0 g), KH2PO4 (1.0 g), MgSO4.7H2O (2.0 g), Glycin (2.0 g), KCl (1.0 g) and Gibberella trace element solution (2.0 mL) into distilled water (1 L) and maintained pH at 5.6 [26].
General stage II fermentation and extraction procedure
Fermentation was carried out according to a standard stage II protocol [29]. Andrographolide (1) (600 mg) in acetone (15 mL) was evenly distributed among the 30 flasks (20 mg/0.5 mL in each flask), containing 24-h-old stage-II cultures. Fermentation was carried out for the further 9 days on a rotatory shaker (200 rpm) at 20° C. The culture media and mycelium were separated by filtration. The mycelium was washed with CH2Cl2 (2 L), and the filtrate was extracted with CH2Cl2 (12 L). The combined organic extracts were dried over anhydrous Na2SO4, evaporated under reduced pressure, and analyzed by TLC. The resulting brown gummy extracts (1.02, and 1.28 g for C. elegans and C. .aphidicola, respectively were purified by repeated column chromatorgaphy (petroleum ether/EtOAc gradients). From the C. elegans extracts, compound 2 (9.8 mg) was isolated. Similarly, from the R. C. aphidicola extracts, compound 3 (10.5 mg) was isolated.
Andropanolide (2): Amorphous solid (9.8 mg); [α][25]D: -64° (c = 0.2, MeOH); Rf: 0.5 (Pet. Ether/EtOAc 80:20); EI-MS m/z (rel. int., %): m/z 350 [M+] (6), 322 (17), 298 (56), 137 (100), 109 (78); HREI-MS (mol. formula, calcd value): m/z 350.1574 (C20H30O5, 350.1583); 1H-NMR (CDCl3, 400 MHz) δ: 6.51 (1H, t, J (12,13)= 7.0 Hz, H-12), 4.82 (1H, brs, Ha-17), 4.72 (1H, d, J (14,15)= 9.8 Hz, H-14), 4.52 (1H, brs, Hb-17), 4.41 (1H, dd J (15(a,b))= 6.1 Hz, J (15,14)= 9.9 Hz, Ha-15), 4.10 (1H, d, J (19(a,b))= 10.5 Hz, Ha-19), 4.05 (1H, dd, J (15(b,a))= 2.9 Hz, J (15,14)= 9.9 Hz, Hb-15), 3.45 (1H, m, H-3), 3.42 (1H, d, J (19(b,a))= 10.5 Hz, Hb-19), 1.20 (3H, s, Me-18), 0.73 (3H, s, Me-20);13C-NMR (CDCl3, 100 MHz) δ: see Table 1.
14-Deoxy-11, 12-didehydro andrographolide (3): Colorless crystalline solid (10.5 mg); [α][25]D: +26° (c = 0.25, MeOH); Rf: 0.5 (Pet. Ether/EtOAc 85:15); M. .p.:- 203-204° C; EI-MS m/z (rel. int., %): m/z 332 [M+] (8), 324 (10), 218 (5), 170 (49), 154 (80), 86 (73), 70 (100); HREI-MS (mol. formula, calcd value): m/z 332.1530 (C15H28O4, 332.1553); 1H-NMR (CDCl3, 400 MHz) δ: 7.02 (1H, d, J (14,15)= 9.0 Hz, H-14), 6.85 (1H, dd, J (11,12)= 16.2 Hz, J (11,9)= 9.9 Hz, H-11), 6.15 (1H, d, J (12,11)= 16.1 Hz, H-12), 4.80 (1H, d, J (15,14)= 9.0 Hz, H-15a), 4.66 (1H, brs, H-17a), 4.49 (1H, brs, H-17b), 4.12 (1H, d J (19(a-b))= 11.0 Hz, H-19a), 3.53 (1H, m, H-3), 3.37 (1H, d, J (19(b-a))= 11.0 Hz, H-19b), 1.22 (3H, s, Me-18), 0.85 (3H, s, Me-20); 13C-NMR (CDCl3, 100 MHz) δ: see Table 1.
RESULTS AND DISCUSSION
Fermentation of andrographolide (1) (C20H30O5) by C. elegans afforded metabolite 2, which was identified as andropanolide. It was obtained as colorless needles, with an M+ in HREI-MS at m/z 350.1574, corresponding to the formula C20H30O5 (calcd350.1583). The 1H- and 13C-NMR spectra of 2 were very similar to the substrate 1. Comparison between the two compounds revealed the downfield shifts of C-12 (δ 151.2) and C-14 (δ 69.9) in the 13C-NMR spectrum, which can be rationalized on the basis of the absence of a γ-effect from H-11. The geometry of the double bond may be reversed in metabolite 2, as compared to 1. The β-configuration of C-14 was assigned on the basis of NOESY correlations between H-14 (δ 4.72) and H-12 (δ 6.51), and by comparison with the reported data [36,37].
Incubation of compound 1 with C. aphidicola for nine days afforded 14-deoxy-11,12-didehydroandrographolide (3) as a colorless solid. The HREI-MS of metabolite 3 exhibited an M+ at m/z 332.1530 (C20H28O4, calcd 332.1553). The 1H-NMR spectrum of 3 was found to be substantially different from the substrate 1, especially in two aspects. First the appearance of three downfield olefinic proton signals at δ 7.02 (brd), 6.85 (dd, J = 16.2 Hz, J = 9.9 Hz), and 6.15 (d, J = 16.1 Hz), and secondly the disappearance of C-14 hydroxy-bearing methine signal.
Table 1: The 13C-NMR (100 MHz) chemical shift assignments of 2 and 3 in CDCl3
Carbon No. |
2 |
3 |
||
dC |
Multiplicity |
dC |
Multiplicity |
|
1 |
38.1 |
CH2 |
39.5 |
CH2 |
2 |
29.0 |
CH2 |
33.1 |
CH2 |
3 |
81.0 |
CH |
81.2 |
CH |
4 |
43.7 |
C |
43.8 |
C |
5 |
56.5 |
CH |
55.8 |
CH |
6 |
25.3 |
CH2 |
23.8 |
CH2 |
7 |
39.1 |
CH2 |
37.8 |
CH2 |
8 |
149.1 |
C |
150.1 |
C |
9 |
57.9 |
CH |
62.9 |
CH |
10 |
40.1 |
C |
39.4 |
C |
11 |
24.8 |
CH2 |
136.5 |
CH |
12 |
151.2 |
CH |
122.5 |
CH |
13 |
129.5 |
C |
130.9 |
C |
14 |
69.9 |
CH |
146.8 |
CH |
15 |
75.0 |
CH2 |
71.7 |
CH2 |
16 |
171.6 |
CH2 |
174.8 |
C |
17 |
108.6 |
CH2 |
109.1 |
CH2 |
18 |
65.0 |
CH2 |
65.0 |
CH2 |
19 |
23.4 |
CH3 |
16.3 |
CH3 |
20 |
15.7 |
CH3 |
14.5 |
CH3 |
The 13C-NMR spectrum (Broad-band Decoupled and DEPT) (Table-1) of 3 showed downfield olefinic carbon signals resonated at δ 136.5, 146.8 and 122.5, were assigned to C-11, C-14 and C-12, respectively, while downfield methine signals at δ 71.7 and 109.1 were assigned OH at C-15 and C-17.
The migration of double bond from C-12/C-13 to C-11/C-12 was inferred from an additional olefinic proton signal at δ 6.85 and by comparison with the reported data [36,37].
The metabolite 3 was identified as 14-deoxy-11,12-didehydro andrographolide.

Scheme 1: Fermentation of andrographolide (1) by C. elegans and C. aphidicola.
CONCLUSION
In summary, present research on the biotransformation of 1 by C. elegans and C. aphidicola have been conducted for the first time. Fermenation of 1 for 9 days with fungal strains yielded isomerized and dehydrated products, 2 and 3. Structures of all metabolites were elucidated by using spectroscopic techniques.
ACKNOWLEDGMENT
Sadia Sultan would like to acknowledge Universiti Teknologi MARA for the financial support under the Principal Investigator Support Initiative (PSI) Grant Scheme with reference number 600-RMI/ERGS 5/3 (4/2012) UiTM (Ministry of Higher Education, Malaysia) and UiTM 600-RMI/DANA 5/3/PSI (236/2013).
CONFLICT OF INTERESTS
Declared None
REFERENCES