1Department of Biotechnology, Sri Venkateswara University, Tirupati, A. P. India, 2Nuclear Agriculture and Biotechnology Division, BARC, Mumbai, M. H. India, 3Department of Botany, Sri Venkateswara University, Tirupati, Andhra Pradesh. India.
Email: tvijayasvu@yahoo.com
Received: 27 Aug 2014 Revised and Accepted: 25 Sep 2014
ABSTRACT
Saponins are the potential bioactive compounds secreted by plants, endophytic fungi and marine organisms. Saponins are the glycosides containing non sugar portion, aglycone (sapogenin) attached to sugar moiety by glycosidic linkage. Depending on the chemical nature of aglycone, saponins are of triterpenoid and steroid saponins. The present review gives an overview of the biosynthesis pathway of triterpenoid saponins and mechanism of the biosynthesis. The review discusses the biomedical and pharmaceutical importance of triterpenoid saponins as they possess different activities including antimicrobial, haemolytic, hypolipidemic, immunomodulating and cytotoxic activities. The review also focuses on the mechanism of their action towards various activities.
Keywords: Triterpenoid saponins, Biomedical importance, Cell cytotoxicity, Immunomodulating activity.
INTRODUCTION
Saponins are a diverse group of natural active compounds widely occur in the plant kingdom and they are active constituents of more than 100 families including endophytic fungi of terrestrial and marine origin [1]. Structurally saponins containing a triterpene or steroid aglycone called sapogenin and one or more sugar chains attached to it. Steroidal saponins are mainly found in monocotyledons while triterpenoid saponins are found in dicotyledons. Due to the presence of hydrophobic aglycone and hydrophilic sugar chain(s) in their structure (amphiphilic nature), saponins possess emulsifying, foaming and detergenic properties [2]. Based on the number of sugar chains attached to aglycone, saponins are categorized into mono, di and tridesmosidic. In monodesmosidic saponins sugar chain is usually attached to C-3, and in bidesmosidic saponins along with C-3 sugar, the other sugar chain is attached through an ester linkage at C-28 (Triterpenoid saponins) or through an ether linkage at C-26 (Frustanol saponins). D- glucose (GIc), D-glucuronic acid (GIcA), D-galactose (Gal), D- galacturonic acid (GaIA), D- xylose (XyI), D-fucose (Fuc) L-rhamnose (Rha) and L-arabinose (Ara), are the most common monosaccharides attached to aglycone. The nature and the functional groups on the aglycone backbone vary greatly as well as nature and number of sugars can vary greatly and resulting in diverse group of saponins [2,3]. The structural complexity in the saponins reflected in their diversity of physicochemical, pharmacological and biological properties and led to the saponins as commercially important and potential compounds with wide variety of applications in food, cosmetics and pharmaceutical/health sectors.
Mechanism of biosynthesis of triterpenoid saponins
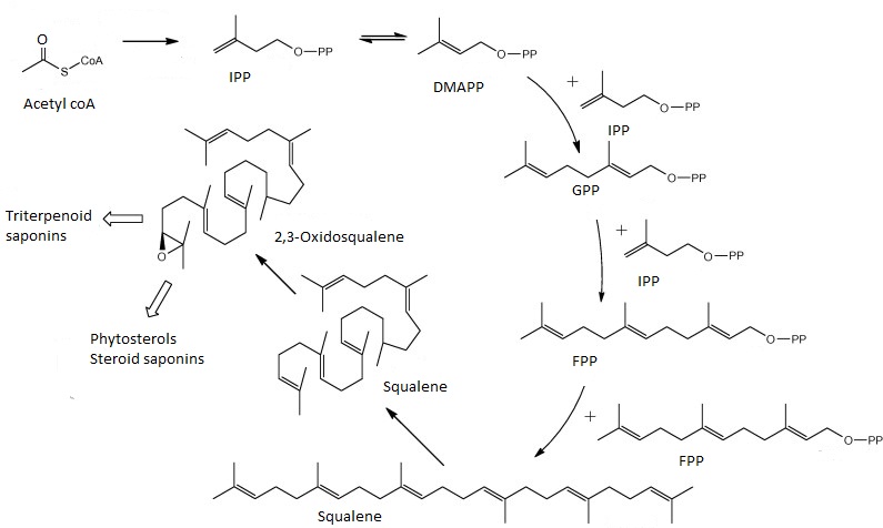
Triterpenoid saponins refers to the attachment of various sugar molecules to the aglycone triterpene unit(C30H48). These sugar molecules will be cleaved off in the gut by gut microbes and allowing the aglycone (triterpene) to be absorbed. This allows them insert in cell membrane and changes the composition, impact the fluidity or plasticity of membrane and affecting signaling by many ligands. Structurally triterpene consists six isoprene (2-methyl 1,3-butadiene) units(C5H8). IPP (3-isopentenyl pyrophosphate) and its isomer DMAP (Dimethylallyl pyrophosphate) are the bioactive forms of isoprene unit. The pathway of the triterpenoid saponin synthesis shared some common part with the synthesis of steroid saponins and phytosterols.
The synthesis of triterpenoids exclusively occurs in the cytosol utilizing IPP and its isomer DMAPP derived from acetyl coA via cytosolic mevalonic acid pathway. One molecule of IPP (5C) condensed with its isomer DMAPP (5C) to form a monoterpene called Geranyl pyrophosphate (GPP, 10C) by the enzyme prenyl transferase. GPP condensed with one more IPP to form a sesquiterpene called Farnesyl pyrophosphate (FPP, 15C) by the enzyme prenyl transferase. In the both of the above reactions prenyl transferases catalyses the head to tail condensations. Each condensation reaction involves a carbocation formed as ppi and it is eliminated. Then two molecules of FPP condensed to form a triterpene Squalene (30C) by the enzyme squalene synthase. This condensation is a dimerisation reaction in which one molecule of NADPH is involved and it is eliminated as NADP+ along with two pyrophosphate molecules. Squalene is then converted to 2,3-oxidosqualene by squalene epoxygenase, involves one molecule of NADPH and O2 molecule. It was reported that from acetyl coA to 2,3-oxidosqualene all the steps are same for the biosynthesis of steroid saponins and phytosterols. 2,3-oxidosqualene was the last common precursor and the major branch point as well as its cyclization is the first committed step in the biosynthesis of triterpenoid saponins, steroid saponins and phytosterols.

Fig. 1: Biosynthesis of 2,3 oxidosqualene, a common precursor and major branch point in the synthesis of phytosterols, steroid and triterpenoid saponins
Cyclization of 2,3-oxidosqualene leads to sapogenins heterogenecity. Cyclizations of 2,3-oxidosqualene into different 4C, 5C, 6C carbon skeletons of triterpenoid saponins by different oxidosqualene cyclases (OSCs; EC 5.4.99. x) were very complex and the most fascinating reactions and engrossed much attention from the view of chemical reaction mechanisms. It was reported that cyclizations of 2,3-oxidosqualene by different OSCs into more than 100 different triterpene skeletons [4] was found in nature. Based on the conformational isomers 2,3-oxidosqualene formed into different final products. In one pathway the regulator enzyme folds the 2,3-oxidosqualene into the chair-boat-chair confirmation which leads to the formation many 6-membered rings viz phytosterols, aglycones of steroidal saponins, steroidal glycoalkaloids, where as in another pathway the regulator enzyme folds the 2,3-oxidosqualene into the chair-chair-chair confirmation which leads to the formation of many 5-membered rings viz aglycones of triterpenoid saponins,

Fig. 2: Cyclization cascades of 2,3 oxidosqualene into three important pentacyclic skeletons of triterpenoid saponins
Cyclization mechanism of 2,3-Oxidosqualene into different triterpenoid aglycone skeletons follows the electrophilic rearrangement mechanism called Wagner- Meerwein rearrangement which involves the formation of many carbocation/carbonium ion intermediates in which intramolecular rearrangement of a 1,2-shift occurs by a hydride shift or an alkyl shift or an aryl shift. Increasing the stability of carbonium ion (30>20>10) intermediate is not only the factor that leads to molecular rearrangement but the strains like angle strain, torsional strain and steric strains also leads to the molecular rearrangement. One unique and distinct feature of Wagner- Meerwein rearrangement is that it provides a ring expansion as well as ring closure, this property is very unique and having very valuable synthetic interest. But the above two factors might be diverted in the synthesis of many aglycones of triterpenoid saponins. It is the paradox that 2,3-oxidosqualene converted to Dammarenyl cation (30 Carbonium ion), a stable carbocation and leads to the formation of Dammarenes. But in the synthesis of lupanes and oleananes, the stable dammarenyl cation converted into 20 carbonium ion baccharenyl cation by Wagner- Meerwein 1,2-alkyl shift, baccharenyl cation is then converted into lupanyl cation (30 Carbonium ion) and leads to the formation of lupanes. This lupanyl cation converted into oleanyl cation(20carbocation), which is then converted into oleananes by Wagner- Meerwein 1,2-hydride shift.
Applications
Nutraceutical importance
Saponins generally considered as “antinutritional factors” [5] but they have their limited usage due to bitter taste [6]. Hence most of the earlier investigation on saponins processing targeted their removal to facilitate human consumption. But both food and non-food sources of saponins come into major focus in recent years due to mounting evidence of their health benefits such as inhibition of glucose absorption, cholesterol reducing and anticancer properties [7, 8]. Escins are the triterpenoid saponins from the seeds of Japanese horse chest nut (Aesculus turbinata) having inhibitory activity on glucose and ethanol absorption [9]. Medicagenic acid and Zanhic acid are the triterpenoid saponins from Medicago sativa and Medicago truncatula respectively, these saponins found to reduce cholesterolemea. The sugar molecules of triterpenoid saponins will be digested in the gut by gut microbes and allowing the aglycone (triterpene) to be absorbed. This property allows them insert in cell membrane and it modifies the membrane composition and influence the fluidity of membranes.
Natural surfactants
Because of their surface active properties, saponins are used as natural surfactants in cleansing products in the personal care sector such as foam baths, bath/shower detergents, shower gels, liquid soaps, shampoos, hair conditioners, lotions, baby care products, mouth washes, and toothpastes [10-12]. Juazarine, from the Zizyphus joazeiro tree bark extract [13] and horse chestnut saponins [10] have been applied in many cosmetic preparations. Saponins and sapogenins are also formulated in bioactive ingredients in cosmetic markets with claims to delay the aging process of the skin [14]. Quillaja triterpenoid saponins prevent acne and sebum manifestation [15].
Antimicrobial and haemolytic activity
The insecticidal, antihelminthic, molluscicidal, anti bacterial, anti fungal and anti viral activities of saponins are very well documented [16-18]. The invitro hemolytic activity of the saponins is also reported. However, this property is dependent on the type of aglycone and nature and number of sugar chains attached to it [19]. It is also been reported that toxicity of saponins dependant on concentration, composition and source of the saponins [20]. Many researchers have been reported about the effect of saponins on human erythrocytes [21]. This hemolytic property of saponins is due to the interaction between saponins and sterols in the erythrocyte membrane. As a result, the membrane is perturbed which leads to increase in its permeability and the consequent loss of hemoglobin.
Hypolipidemic activity
The cholesterol reducing activity of dietary saponins was supported by Chapman and his colleagues [22] in their studies on Batemi and Maasai populations of East Africa. Despite a saturated fat/cholesterol diet. The low prevalence of heart diseases in these populations is due to use of plant additives containing dietary saponins. It has been reported that saponins have cholesterol-lowering activity either by inhibiting the absorption of cholesterol from the small intestine or by the reabsorption of bile acids [23].
Animal feeds containing purified saponins or concentrated saponin extracts greatly helpful in lowering the liver and plasma cholesterol concentrations [24, 25]. The saponin rich fraction from the leaf extract of Gymnema sylvestre reduced high fat diet induced obesity [26]. Saponin extracts of Achyranthes aspera prevents high fat diet induced obesity and oxidative stress [27].
Immunomodulating activity
Saponins can greatly impact the immune system due to their ability to act as adjuvant by stimulating immunological response against antigen and their oral administration facilitates the absorption of large complex molecules [28]. Saponin based adjuvants and immunomodulatory potential via cytokine interplay were reported by many researchers [29]. Saponins as vaccine adjuvants were also reported [30]. Due to their structural complexity and toxicity, saponins have been limited their use in human vaccines, but the evolution of new processing and purification techniques yields different fractions with optimal immunological adjuvant activity and with minimal toxicity and hemolytic activity [31] consequently, there is a significant progress in the development of saponins as new generation vaccines.
Cytotoxic activity
Cytotoxic activity has been reported for numerous saponins against various cell lines which including HeLa, Hep-G2, HT1080, HL-60. Saponins isolated from sea cucumber were first reported to possess antitumor activity [32,33]. It is also evaluated that synthestic derivatives of β-hederin showed anticytotoxic properties against major human cell lines [34]. The saponins isolated from Acacia victoriae were reported to inhibit growth of several tumor cell lines [35]. Saponins induced cell cycle arrest of human breast cancer cell line (MDA-MB-453) and apoptosis of MDA-MB-435 and Jurkat (T cell leukemia). These saponins also causes mitochondrial perturbation, chemoprevention [36-38]. Terpenoid saponins from Quillaja saponaria were reported as anticancer agents [32]. The triterpenoid saponins saxifragifolin B and saxifragifolin D from Androsace umbellate reported to inhibit the growth of cancer cells and induced apoptosis [39]. There were reports on the correlation between saponins structure and their cytotoxic activity. The amide substitution at C-28 results in high cytotoxic activity. Anti tumor selectivity of β-hederin is due to amide substitution at C-28. There were many reports on the structure-activity relationships of lupane type and oleanane type deriviatives [40]. It is reported by many researchers that monodesmosidic saponins are more haemolytic and more cytotoxic than bidesmosidic saponins [41,42].
Most of the saponins containing pharmaceutical preparations have been patented for the treatment of various conditions such as cardiovascular and cerebrovascular diseases [43,44], inflammation [45] gastric ulcers [46] prophylaxis and dementia [47] ultraviolet damage including cataract, carcinoma[48], pre- and post- menopausal symptoms [49].
Asiaticoside, a triterpenoid saponin from Centella asiatica reported to have wound healing activity due to enhancing the collagen formation and angiogenesis [50, 51].
Oleanolic acid, one of the most common aglycone of triterpenoid saponins, has been reported to possess hypoglycemic, hepatoprotective, anti- inflammatory, antibacterial, anti-HIV, anti-ulcer and anticarcinogenic activities [52].
Betulinic acid is also reported to possess hypoglycemic, hepatoprotective, anti- inflammatory, antibacterial, anti-HIV, anti-ulcer, and anticarcinogenic activities [53].
Mechanism of action of saponins
The main function of secondary metabolites of the plants was providing defense against many pathogens and herbivores. In other words, plants secrete secondary metabolites as their defensive system. As saponins are one of the categories of secondary metabolites, their main function is to provide protection to the plants against many pathogens and herbivores. The various activities of saponins such as antimicrobial, antifungal, antiviral, antihelminthic, insecticidal, larvicidal and molluscicidal activities were very well documented. But the molecular and biochemical mechanisms of various activities of different saponins were not well elucidated. Dourmashkin et al. [54] first reported based on their experiments, saponins cause membrane perturbation by the formation of pores on the membrane. Based on their observation on formation of pores or pits on the membrane, Bangham and Horne [55] and Glauert et al. [56] concurrently reported that the presence of cholesterol on the target membrane is essential for the saponins to induce pore formation. According to their reports, saponins and cholesterol associated spontaneously into a micelle-like complex and the hydrophilic sugar moieties are thought to be located in the central of the complex and leads to the development of aqueous pores. Such pores can increase the permeability of membrane and enabling the macromolecules and ions to pass through the membrane bilayer. There after many scientists elucidated the molecular basis of the membrane penetration activity by saponins and confirmed the impact of membrane composition on the ability of saponins to cause membrane perturbation. These results supported directly or indirectly by many reports on the membrane composition as several researchers found that cholesterol is a major lipid of membranes and cholesterol is known as membrane moderator/membrane plasticizer. Kruijff [57, 58] studies on cholesterol as a target for toxins reported that the specific orientation of cholesterol within the membrane facilitates channel formation by polyene antibiotics, bacterial protein toxins and various sterols, inspired the many researchers to further elucidate the molecular mechanism of saponins action. Kenji and augustin [59,60] reported the molecular basis of the saponins activity which supported and expand the initial hypothesis and reported that saponins incorporation into the membranes occurs spontaneously and it is due to the lipophilic/hydrophobic character of aglycone portion and interactions between the sugar chains of the incorporated saponins responsible for the phase-separation phenomena. These accumulations finally leads to the membrane curvature, which may be due to either formation of pores (fig. 3a) within these plaqus/matrices or due to hemitubular alterations as protuberances leads to vesiculation (fig. 3b) or they caused membrane domain disruption (fig. 3c). The pores provide the explanation for the changes in ion conductivity and the movement of macromolecules upto proteins through the membrane [61]. Keukens et al. [57, 58] and Dourmashkin et al. [54] were also reported the absence of pore-like structures when some steroidal saponins targeted the membranes. Dourmashkin et al. [54] also revealed that these steroid saponins even prevent the formation of pores on the subsequent exposure by pore-forming saponins. Finally computational studies by Lin and Wang [62] revealed that both pore formation and hemitubular vesiculation may exist parallel and the chemical properties(type of aglycone portion and sugar chains) of the saponins determines the predominate perturbation type. Krawczyk et al [61] demonstrated the diversity of the different saponins on their ability to cause membrane perturbation. Lin and Wang [62] developed an alternative model based on molecular dynamic simulations, according to this model saponins migrate into lipid rafts (membrane domains enriched with cholesterol and sphingomyelin) and forms complexes with cholesterols and leads to lipid raft disruption [63] and leads to membrane alterations in terms of their structural and permeable properties.

Fig. 3: Represents molecular mechanism of saponin action [60]. Aglycone (hydrophobic part) integrate with membrane sterols and causes sterical hindrances leads to formation of pores on the membrane (fig. 3a), hemitubular protuberances resulting vesiculation (fig. 3b), sterical hinderances leads to membrane domain disruption (fig. 3c).
There are only few reports on the subcellular storage and intracellular transport of saponins as well as how plants can maintain the integrity of endogenous membranes. Kesselmeier and Urban [64] reported based on their cell fractionation studies that the vacuole is the subcellular storage for saponins. There is a little is known about that how the plants can prevent disruption of their own cell membranes as most of the saponins are stored in their active forms. Morant et al [65] reported that plants might have developed different strategies to protect themselves from their own saponins activity which are yet to be elucidated. Based on their studies on the steroid saponins producing plants, Steel and Drysdale [66] reported that reduced levels of sterols in the cell membranes with low affinity to steroid saponins protects them from their own steroid saponins action.
CONCLUSION
Triterpenoid saponins are a diverse group of bioactive compounds possessing lot of biomedical and pharmaceutical importance. The various activities including antimicrobial, cell membrane perturbing, hemolytic and cell cytotoxicity are mainly due to hydrophobic aglycone moiety, nature of sugar portion, substitutions at C-28 position. Saponins hold a lot of neutraceutical importance as the glycosidic linkage is easily cleaved and the derivatives are easily absorbed by gut secretions. Based on the above all studies, it can be concluded that the wide variety of applications of triterpenoid saponins could be attributed to the biological and structural diversity with high clinical values.
CONFLICT OF INTERESTS
Declared None
ACKNOWLEDGEMENT
We are very much thankful to NABTD, DAE-BRNS, Mumbai for providing financial support.
REFERENCES