Senior Assistant Professor, Vascular Biology Lab, School of Chemical and Biotechnology SASTRA University Thanjavur, India.
Email: ginokurian@hotmail.com
Received: 29 Aug 2014 Revised and Accepted: 30 Sep 2014
ABSTRACT
Objective: Obvious lack of interfibrillar mitochondria (IFM) subpopulation in isolated mitochondria attributed to limitations in the isolation procedure. In this manuscript, we compared the functional activities of mitochondrial sub-populations namely, IFM and sub-sarcolemmal (SSM) mitochondria.
Methods: IFM and SSM were obtained from isolated rat heart subjected to different perfusion time namely (minutes) 0.5,5,10,25,60 and 120 through Langendroff perfusion system.
Results: Prolonged perfusion of isolated rat heart reduced oxidative phosphorylation capacity in both IFM and SSM, but were distinct among the sub-populations. However, mRNA expression level of ND4, CYT B and ATP 6 and resazurin activity was similar in both IFM and SSM.
Conclusion: Even though overall function of myocardium is unchanged, mitochondrial sub- populations were distinct in electron transport chain activities, emphasizes the requirement to assess mitochondrial function as distinct subpopulation rather than whole entity.
Keywords: Myocardial ischemia reperfusion injury, Interfibrillar mitochondria, Sub-sarcolemmal mitochondria, Electron transport chain enzyme, Langendorff apparatus.
INTRODUCTION
It is well known that the isolated perfused heart system allows the examination of cardiac contractile strength (inotropic effects), heart rate (chronotropic effects) and vascular effects without the neuronal and hormonal complications of an intact animal model [1]. Isolated perfused heart system is still used by the cardiovascular researchers to study the heart physiology, biochemistry [2] and behavior to even single gene alterations, despite of some limitations [3] and in cell based therapy of damaged myocardium [4].
The isolated perfused heart preparation is extremely valuable for assessing the direct effects of drugs on contractile function, heart rate, coronary vascular tone, cardiac metabolism [5] and electrical activity of the heart [3]. However, this procedure is not devoid of limitations and much of these are due to the lack of the normal humoral background and neuronal regulation of the heart, vulnerability of the isolated heart to injury during instrumentation, high coronary flow, increased possibility of preconditioning during instrumentation of the excised heart, higher oxidative stress, and deterioration of contractile function [6]. But very little investigations are reported in the direction of cellular biochemical changes during perfusion.
One of the widely used applications of the isolated perfused heart system is to study the patho physiology of myocardial ischemia reperfusion injury (I/R) and it’s therapeutics. Report suggests that mitochondria are likely sites of myocardial ischemia reperfusion damage, where calcium overload and ROS generation occur, the two main culprits of I/R injury [7,8]. Due to limitations in mitochondrial isolation procedures, in the majority of studies concerning mitochondrial dysfunction, there is an obvious lack of the representation of IFM subpopulation [5]. Hence, the present study aims to evaluate the feasibility of using isolated perfused rat heart for mitochondrial dysfunction studies by measuring the functional enzyme activities and respiration efficiency of mitochondrial subpopulation namely inter-fibrillar mitochondria and sub-sarcolemmal mitochondria upon time depended normal perfusion.
MATERIALS AND METHODS
Animals and experimental design
Sprague–Dawley male rats (250–300 g) housed under standard conditions and fed regular ad libitum diet and water were used. All the experimental protocols were approved by the ‘Institutional Animal Care and Use Committee’ of the Hebrew University of Jerusalem, conforming to the Guide for the Care and Use of Laboratory Animals published by the U. S. National Institutes of Health (NIH Publication No. 85–23, revised 1996).
Perfusion protocols
Hearts were removed and mounted on the Langendorff apparatus as previously described [9]. Briefly, rat was anesthetized with 40 mg/kg sodium thiopentenone followed by an intravenous injection of 300U heparin. The heart was rapidly excised following euthanasia with sodium thiopentenone via a mid-sternal thoracotomy and arrested in the ice-cold Krebs-Henseleit buffer (KH) containing (mM/L) NaCl 118, KCl 4.7, MgSO41.2, KH2PO4 1.2, CaCl2 1.8, NaHCO3 25 and C6H12O6 11. The heart was attached to a Lagendorff apparatus via an aorta for retrograde perfusion with KH buffer maintained at (pH 7.4). The heart was then saturated with a gas mixture of 95% O2 and 5% CO2. The coronary perfusion pressure was maintained at 80 mm Hg. The left ventricular pressure developed with ventricle filled with Kreb solution was recorded with a with a pressure transducer, which in turn was connected to a device amplifier and chart recorder. This left ventricular pressure gave an indication of the mechanical performance of the heart.
Experimental groups
Rats were randomly divided into 6 groups, namely P0, P5, P10, P25, P60 and P120 and the isolated heart from these groups subjected to continuous perfusion of KH buffer for 30 seconds, 5 minutes, 10 minutes, 25 minutes, 60 minutes and 120 minutes respectively. The hemodynamic parameters were monitored throughout the entire duration of each experiment. The biochemical parameters were measured in heart tissue samples taken at pre-determined time points along the protocol. At these time points, the heart was quickly frozen in liquid nitrogen and kept at − 80 °C until analyzed.
The following hemodynamic parameters were evaluated: left ventricle peak systolic pressure (PSP), end diastolic pressure (EDP), developed pressure (DP = PSP− EDP), heart rate (HR), work index (WI = DP × HR), + (dp/dt)max (denoted + dp/dt) and − dp/dt)max (denoted − dp/dt).
Isolation of mitochondrial sub population
Rat heart mitochondria were isolated by differential centrifugation, according to the method described by Palmer [10].
Isolation of sub-sarcolemmal mitochondria: Briefly, the cardiac tissues were homogenized in medium containing 100 mM KCl, 40 mM Tris HCl: pH 7.5, 10 mM Tris base,5 mM MgCl2,1 mM EDTA, 1 mM ATP in a proportion of 10 ml/g heart to be centrifuged at low speed (800g for 5 min at 4ºC). The resulting supernatant is transferred to a clean tube to be spun at high speed (9000g for 10 min at 4ºC). Clean the pellet by re-suspended in a solution containing 100 mM KCl, 10 mM Tris HCl: pH 7.4, 10 mM Tris base,1 mM MgSO4,0.1 mM EDTA, 0.02 mM ATP and 1.5% BSA (free fatty acid free). Centrifuge the tubes at 8000g for 10 min. Again re-suspend the pellet obtained in a solution containing 100 mM KCl, 10 mM Tris HCl: pH 7.4, 10 mM Tris base,1 mM MgSO4,0.1 mM EDTA and 0.02 mM ATP. Centrifuge the tubes at 6000g for 10 minutes. Collect the pellet and suspend in incubation buffer containing 220 mM sucrose, 70 mM mannitol, 10 mM Tris HCl, pH 7.4 and 1 mM EDTA.
Isolation of inter-fibrilar mitochondria: Cardiac tissues were homogenized in medium containing 100 mM KCl, 40 mM Tris HCl: pH 7.5, 10 mM Tris base,5 mM MgCl2,1 mM EDTA, 1 mM ATP in a proportion of 10 ml/g heart to be centrifuged at low speed (800g for 5 min at 4ºC). The resulting pellet re-suspended in the same solution (10fold) and homogenized for 5 seconds. Centrifuge at 800g for 10 min and collect the pellet again, re suspend in the same solution as above, add trypsin at a concentration of 5mg/g wet tissue for 10 minutes at 4˚C [11]. Stop the reaction by adding 20 fold of the same buffer. Centrifuge the tubes for 5 minutes at 5000g. Collect the pellet and homogenized in the solution containing 100 mM KCl, 10 mM Tris HCl: pH 7.4, 10 mM Tris bases, 1 mM MgSO4,0.1 mM EDTA, 0.02 mM ATP and 1.5% BSA (free fatty acid free). Centrifuge at 800g for 10 minutes. The resultant supernatant is transferred to a clean tube to be spun at high speed (9000g for 10 min at 4ºC). Clean the pellet by re suspended in the solution containing 100 mM KCl, 10 mM Tris HCl: pH 7.4, 10 mM Tris base,1 mM MgSo4,0.1 mM EDTA and 0.02 mM ATP. Centrifuge the tubes at 6000g for 10 minutes. Collect the pellet and suspend in incubation buffer containing 220 mM sucrose, 70 mM mannitol, 10 mM Tris HCl, pH 7.4 and 1 mM EDTA.
Mitochondrial protein concentration was determined by the Lowry method, using bovine serum albumin as a standard. IFM and SSM were purified using a 60% percoll gradient and western blot analysis of HSP 60. The marker protein (data not included) against actin was used to determine the purity.
Mitochondrial oxidative phosphorylation
Oxygen consumption by mitochondria was measured using a Clarke type oxygen electrode at 37ºC. Mitochondria (300µg mitochondria protein) were incubated in respiration medium containing (in mmol/L) 0.5EGTA, 3 MgCl2 *6H2O, 60 potassium lactobionate, 20 taurine, 10 KH2PO4, 20 HEPES, 110 sucrose and 1g/l fatty acid free BSA at pH 7.4. Glutamate (complex I substrate, 20 mM) and succinate (20 mM) plus rotenone (5µM) (complex II substrate) were used and state 3 (0.2 mM ADP stimulated), state 4 (ADP-limited) respiration, respiratory control ratio, rate of uncoupled respiration (0.2 mM dinitrophenol), maximal rate of state 3 respiration (2 mM ADP), and ADP/O ratio were determined. Mitochondria were used within 4h after isolation from tissue.
Electron transport chain enzyme activities
The activities of electron transport chain enzymes were assayed following the method of Barrientos et al., 2009. Outer mitochondrial membrane integrity was assessed by measuring the rate of oxidation of exogenous reduced cytochrome c in the presence and absence of a detergent [12].
Mitochondrial permeability transition
Mitochondrial transmembrane potential was measured as described [13]. The uptake of the fluorescents dye rhodamine 123 has been used to estimate mitochondrial membrane potential. An aliquot of mitochondrial (0.5mg) was re-suspended from the incubation medium by centrifugation at 9000 x g for 10 minutes. The cell pellets were then re-suspended in fresh incubation buffer devoid of EDTA and add 1.0µM of rhodamine 123 and finally incubated at 37˚C in a thermostatic bath for 15 minutes with gentle shaking. Mitochondria pellets were separated by centrifugation at 9000*g for 10 minutes and measure the amount of rhodamine 123 in the pellet (after washing in incubation buffer trice) and supernatant fluorimetrically at 549 nm excitation and 574 nm emission wavelength. Membrane potentials (negative side) were calculated by the Nernst equation: Δψ = 59 * log [(Rh 123)in / (Rh 123)out]
Resazurin reduction assay
Mitochondria (5µg protein / well) were added into 96well plate. Resazurin (5 µmol/L) was pipetted into the wells and then fluorescence was examined. The plate was incubated for another 60 min and then fluorescence was examined. The changing rate was examined (F60 -F0)/F0 * 100%.
Quantitative RT-PCR analysis
We isolated total RNA from IFM and SSM using the standard TRIZOL method. To mitochondrial sub-populations, 1:5 volume of chloroform was added, and the tube was vortexed and subjected to centrifugation. The aqueous phase was isolated, and one-half of the volume of isopropanol was added to precipitate the RNA. After centrifugation and washing the total RNA was finally eluted in 20 ml of diethyl pyrocarbonate-treated H2O, and the quantity and integrity were characterized using a UV spectrophotometer.
cDNA was prepared by using SYBR-Green chemistry based quantitative RT-PCR [14], we measure mRNA expression of mitochondria encoded genes (NADH sub unit 1, Cyr B and ATP-6) for all preparations.
Oligonucleotide primers used for real time RT-PCR analysis
| Complex I-NADHsubunit1 | Forward Primer CGGGCCCCCTTCGAC |
| Reverse Primer GGCCGGCTGCGTATTCT | |
| Complex III Cyt. B | Forward Primer TTATCGCGGCCCTAGCAA |
| Reverse Primer TAATCCTGTTGGGTTGTTTGATCC | |
| Complex V ATPase-6 | Forward Primer TGTGGAAGGAAGTGGGCAA |
| Reverse Primer CCACTATGAGCTGGAGCCGT |
Quantitative RT-PCR amplification reactions were carried out in an ABI Prism 7900 sequence detection system in a 25 µl volumes of total reaction mixture. The reaction mixture consists of 1x PCR buffer containing SYBR Green, 3 mM MgCl2 100nM of each primer, 200nM each of dATP, dGTP and dCTP, 400nM dUTP. 20ng of cDNA template were added to each reaction mixture. The mRNA transcript level was normalized against β-actin and GAPDH at each dilution.
Superoxide scavenging activity
Superoxide radical was generated from the photo reduction of riboflavin and was detected by NBT reduction method of Mc Cord and Fridovich [15]. The reaction mixture contained EDTA (6µM) containing NaCN (3µg), riboflavin (2µM), NBT (50µM), mitochondrial samples (5-50 µg/ml) and phosphate buffer (67 mM, pH 7.8) in a final volume of 3 ml. The tubes were uniformly illuminated with an incandescent visible light for 15 min. And the optical density was measured at 590 nm before and after the illumination. The percentage inhibition of super oxide generation was evaluated by comparing the absorbance values of the control and experimental tubes.
Superoxide dismutase
Mc Cord and Fridvoich [15] method was used to assay SOD activity. A suitable aliquot of the hemolysate was diluted with water. The reaction mixture consist of 50 mM phosphate buffer pH 7.8, 0.1 mM EDTA, 0.01 mM cytochrome c, 0.5 mM xanthine and 50µg of mitochondria. Initiate the reaction by adding 0.005units xanthine oxidase and measure the increase in absorbance at 550 nm was measured in spectrophotometer.
Statistical data analysis
The comparison between values of the same group, at various time points along the experiment was conducted using ANOVA. Differences in variables between groups for a specific time point were analyzed using one-way ANOVA,
RESULTS
Heart rate, end diastolic pressure, peak systolic pressure, -dp/dt and +dp/dt was measured in all groups and found to be insignificantly changed in rat hearts of different groups (Figure 1).


Fig. 1: Summary of hemodynamic data from the isolated heart perfusion. (A) LVEDP (B) LVSP (C)LVDP (D) RPP (E) Heart rate
In order to address the question whether isolated rat heart subjected to different periods of perfusion selectively decreased oxidative function distinctly in two populations of cardiac mitochondria, the rate of oxidative phosphorylation was studied in isolated SSM and IFM from rat hearts using glutamate and malate as the substrate. The maximum rate of oxidative phosphorylation, obtained by using 2 mM ADP was significantly decreased in IFM isolated from hearts perfused for longer duration (Fig 2a) than in SSM. Respiration was tightly coupled during early periods of perfusion in both IFM and SSM, but deteriorated as perfusion time prolonged (fig 2b). In fact, significant decrease in RCR was observed in SSM than IFM with longer perfusion time. Oxygen consumption rate was high in IFM than SSM till 60 minutes of perfusion (fig 2c).
These observations indicate distinct behavior in mitochondrial subpopulations obtained from hearts subjected to prolonged perfusion.
Mitochondrial membrane potential measured by rhodamine 123, sensitive and specific probe of Δψ in isolated mitochondria [16] did not show any significant difference in Δψ between IFM and SSM (fig 2d), indicate the morphological similarities between the sub populations.


Fig. 2: Mitochondrial respiration and membrane potential. (a) ADP/Oxygen (b) State III/State IV (c) Oxygen consumption rate (d) Membrane potential
Electron transport chain enzyme activities in mitochondrial subpopulations were evaluated and the results are shown in fig 3. Complex I activity (NQR), the enzyme re-oxidizes NADH thus providing certain steady-state NAD+/NADH ratio required for continuous operation of the oxidative metabolic pathways measured in mitochondrial sub populations insignificantly changed with respect to perfusion time except 120 minutes of perfusion where both IFM and SSM showed significant decline in their activity (fig 3a). NQR, serves as the major electron entry point to the respiratory chain for further energy-transduction and the enzyme itself is the reversibly operating energy transducing device and thus significantly contributes to formation of Δψ H+ across the coupling membrane [17] showed different activity between IFM and SSM upon time depended perfusion (fig 3a), where NQR activity significantly increased in IFM as compared to SSM in all groups.
Complex II in ETC oxidize succinate to fumarate and the electrons generated in this reaction are then channeled within complex II to ubiquinone, which is reduced to ubiquinol by the succinate: ubiquinone oxidoreductase (SQR) activity of complex II, were found to have declined activity in both IFM and SSM with increased perfusion time (fig 3b).
Complex III (ubiquinol-cytochrome c oxidoreductase, QCCR) is a multi-subunit integral membrane complex of the mitochondrial transport chain, which catalyzes electron transfer from ubiquinol to cytochrome c and couples this process to electrogenic translocation of protons across the mitochondrial inner membrane [18] showed a significant decreased in the activity SSM and increased activity in IFM as the perfusion time increased beyond 10 minutes (fig 3c).
Cytochrome c oxidase, the terminal enzyme of the mitochondrial respiratory chain serves as an important regulatory site of mitochondrial oxidative phosphorylation, showed similar activity in both SSM and IFM beyond 10 minutes of perfusion(fig 3d),predicted probable coordinate function of subpopulation. Relatively COX activity was more or less constant in IFM throughout the perfusion, but higher variation was observed in SSM, indicate vulnerable state of SSM from isolated rat heart (fig 3d), confirmed by low rate of oxidative phosphorylation in SSM as compared to IFM (Fig 2).
![]() |
![]() |
![]() |
![]() |
![]() |
Fig. 3: Mitochondrial enzyme activity. (a) Complex I activity, (b) Complex II activity, (c) Complex III activity, (d) Complex IV activity, (e) Complex V activity
Mitochondrial Proton F0F1-ATPase/ATP synthase synthesizes ATP during oxidative phosphorylation measured in both IFM and SSM was insignificantly changed in the early phase of prolonged perfusion, but prominent decline was observed in the late phase of perfusion (fig 3e). However, the magnitude of activity between IFM and SSM was significantly different between them.
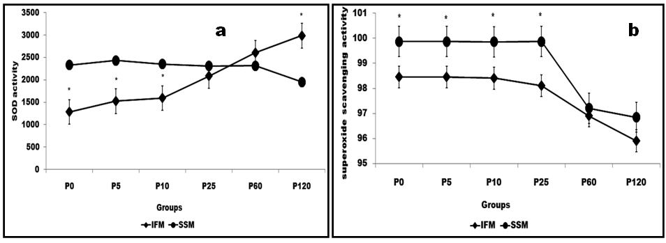
SOD was assayed in a coupled system using xanthine and xanthine oxidase. Activity of the enzyme increased progressively in IFM as perfusion time increased. On the other hand, SSM showed constant SOD activity in all group except in perfusion 120, where the activity declined (fig 4a).
The detection of superoxide scavenging activity was done by the reduction of nitroblue tetrazolium, trolex (1-10µg/ml) was used as standard. Both IFM and SSM showed reduced superoxide anion scavenging activity towards the end of prolonged perfusion; indicate possible accumulation of superoxide anion (fig 4b). Early phase of perfusion showed relatively higher superoxide anion scavenging activity in SSM.
The overall dynamic metabolic activity of isolated IFM and SSM were determined by resazurin method [19] and the results showed no significant change in the fluorescence intensity obtained by resazurin reduction in IFM and SSM with respect to the change in perfusion time, indicating intact activity of mitochondrial sub populations (fig 5).
As shown in figure 5, mRNA expression of mitochondrial encoded genes in IFM and SSM remain same between the sub-population. In fact there was no significant change in the mRNA expression of IFM and SSM was observed during time depended perfusion.

Fig. 4: (a) Activity of Superoxide dismutase (b) In-vitro superoxide scavenging activity


Fig. 5: Mitochondrial metabolic activity by resazurin reduction assay and relative mRNA expression (a) Rezasurin assay (b) MT-ND4, (c) MT-CYT B, (d) MT-ATP 6
DISCUSSION
In order to study the direct effect of the drug on hearts, isolated rat heart perfusion techniques are widely used. In fact, very few literatures are available on the impact of isolated heart perfusion on mitochondrial functional activity, where its dysfunction is considered to the main causative factor for ischemia reperfusion injury.
In this manuscript we made the following observation that i) the functional ETC enzyme activities of mitochondrial subpopulations adversely affected by prolonged perfusion of isolated heart, but the overall hemodynamic of the hearts was unaltered even in 120 min of perfusion. ii) There was significant difference in the functional activity of ETC between the sub populations and were depending on perfusion time. Hemodynamics, one of the important parameter of cardiovascular physiology that assess the validity of the experiment with isolated rat heart and is of important in studying biochemical changes of heart in different experimental conditions. A strong correlation between hemodynamic changes and biochemical status of myocardium is demanded to study the therapeutic effect of any agents [20]. In our present study, the overall hemodyanamics of isolated rat heart with change in perfusion time was insignificantly altered despite of significant changes in biochemical parameters of IFM and SSM like oxidative phosphorylation capacity and enzymatic rate of electron transport chain enzyme and antioxidant enzymes. These results emphasize the progressive changes in biochemical parameter of cell and its organelles in so called normal perfusion.
The effect of increasing periods of perfusion on mitochondrial subpopulation function of isolated rat hearts was assessed by measuring the oxidative phosphorylation capacity and electron transport chain enzyme activities. Previous studies of mitochondrial dysfunction in aging confirm decreased oxidative phosphorylation capacity of IFM as compared to SSM [21], predicted the sensitivity of IFM to age related oxidative stress [22], where as SSM were reported to be more susceptible to calcium mediated cytochrome c release [23] and ischemic mitochondrial damage [24]. Moreover, our lab also showed that IFM and SSM have different sensitivity to myocardial ischemia and reperfusion2. Our study showed a declined oxidative phosphorylation capacity and F0F1 ATPase activity in both IFM and SSM upon 120 minutes of perfusion that may well correlated with declined creatine phosphate not with the total ATP content of the tissue. This is contrary to some early literature suggest that prolonged perfusion of isolated heart for 4 hours did not change the ATP content of the heart despite of declined creatine phosphate concentration [25].
According to Lesnefsky [26], heart IFM oxidizes substrate at higher rate than heart SSM. Agreement to these findings higher complex I and V activity in IFM than SSM (fig 3) were observed in our study. Preston and his co-workers [27] found selective decline induced by ageing in activities of oxidative phosphorylation complexes I and V within a broader transcriptional down regulation of mitochondrial genes, providing a substrate for reduced energetic efficiency associated with senescence. Hence reduced activity of complex I and V in both IFM and SSM in the present study cannot ruled out the possibility of adaptation of mitochondria for reduced energetic upon long period of perfusion. That may probably influence mitochondrial respiration rate. So similar oxygen consumption rate and ADP/O ratio in IFM and SSM (Fig 2) emphasizes that there could be the direct correlation of mitochondrial physiological and functional enzymatic activities between the mitochondrial subpopulations, influencing the overall function of mitochondria.
Evidence from the literature suggest that under pathological conditions, electron transport chain complex activities in IFM and SSM varied where IFM seems to be more vulnerable for the oxidative stress [28]. We also found a similar result in IFM, where complex I activity was significantly declined (Fig 3a) than SSM subjected to prolonged perfusion. Based on our results, we think that rate of electron flow is higher in IFM, account to its higher oxidative rate reported by other [12], in the initial periods of perfusion and get deteriorated as the period of time increased.
In order to check whether superoxide anion, released mainly from complex I and III (prime source of ROS), play any significant role in the distinct ETC enzyme activity of mitochondrial subpopulations, superoxide scavenging capacity and superoxide dismutase activity were analyzed. Both IFM and SSM showed declined superoxide scavenging activity in late period of perfusion, indicate two possibilities: i) low superoxide anion scavenging molecules are available or ii) decreased level superoxide anion. But assay of superoxide dismutase in IFM showed progressively increased activity upon increasing periods of perfusion while SSM showed constant level of activity throughout the perfusion time, ruled out the second possibility of having low superoxide anion. Superoxide activates nucleotide-sensitive mitochondrial proton transport through the uncoupling proteins UCP1, UCP2, and UCP3 [29], thereby can initiate mitochondrial uncoupling. Thus, superoxide anions in the later phase of increasing perfusion time may be responsible for declined ADP/O ratio and FoF1 activity in both IFM and SSM where the drop in the activities were more pronounced in IFM.
Resazurin reduction is a promising new assay In vitro which is simple to conduct and amenable to measure continuously in high-throughput manner. Moreover it can monitor the change of mitochondrial function dynamically. Insignificant change in resazurin reduction activity between IFM and SSM as well as different timed perfusion indicate that overall impact of changes in ETC enzyme activities observed above may not be reflected when we consider intact whole mitochondrial activity, subsequently has little influence to the physiological outcome of myocardium in an isolated rat heart model, [supported by unchanged physiological data, RPP, LVDP among the groups].
mRNA expression of mitochondrial-encoded genes like MT-ND4, MT-CYT B, MT-ATP6 suggested that prolonged perfusion of heart may not hamper cell vitality as mitochondrial gene expressions are good indicators of energy in the cell mitochondrial metabolism.
Based on the above observations we can conclude that mitochondrial subpopulations are affected distinctly upon increasing periods of normal perfusion in isolated rat hearts. Perhaps, superoxide anion are responsible for the declined mitochondrial subpopulation function in prolonged perfusion, more specific studies are needed to substantiate the assumption. However, these findings may not have direct impact on the physiological outcome of isolated myocardium subjected to perfusion, rather significant, when the study is focus on mitochondrial dysfunction especially in the level of mitochondrial subpopulations.
FUNDING
This study was supported by grant from Department of Science and Technology, New Delhi, India (No. SR/S0/HS-0255/2012).
CONFLICT OF INTERESTS
Declared None
REFERENCES