aAnalytical Chemistry Department, Faculty of Pharmacy, Suez Canal University, Ismailia 41522, Egypt, bChemistry Department, Faculty of Science, Suez Canal University, Ismailia 41522, Egypt.
Email: kemiman83@yahoo.com
Received: 30 Aug 2014 Revised and Accepted: 29 Sep 2014
ABSTRACT
Objectives: The objectives of this research were to develop and validate a HPLC method for determination of Pentoxyverine citrate (PNX) and its degradant (DG).
Methods: Forced degradation studies were performed on bulk sample using alkaline (0.1M sodium hydroxide) and acid (1M hydrochloric acid. The proposed method was based on using a 150 x 4.6 mm (i. d.) (Luna, Phenomenex, Torrance, CA, USA) (5 µm particle size) reversed phase C18 column with mobile phase consisting of a mixture of methanol-10 mM sodium dihydrogen phosphate pH 4 in ratio of (60:40, v/v) and UV detection at 230 nm with flow rate of 1 mL min-1.
Results: The linear calibration range was between 10-40 µg ml-1and 10-40 µg ml-1for PNX and DG respectively. The method was found to be accurate with 100.23% and 100.07% recovery for PNX and DG respectively. The limit of detection (LOD) was found to be 3.79 x10-2μg ml-1 and 4.24 x10-2μg ml-1 for PNX and DG respectively, while the limit of quantification (LOQ) was found to be 12.62 x10-2μg ml-1 and 14.12 x10-2μg ml-1 for PNX and DG respectively. PNX was found to be most stable at a pH of 5.7.
Conclusion: The validation study of the proposed method was successfully carried out and the method was found to be suitable and economic for routine determination of PNX in pharmaceutical syrup, without any interference from the excipients, and in the presence of its acidic and alkaline degradation products.
Keywords: RP-HPLC, Pentoxyverine citrate, pH-rate profile, Britton-Robinson buffer.
INTRODUCTION
Pentoxyverine Citrate (PNX) is 2-[2-(diethylamino)ethoxy]ethyl 1-phenylcyclopentanecarboxylate dihydrogen 2-hydroxypropane-1,2,3-tricarboxylate [1]. This drug has atropine-like and local anesthetic actions and effectively suppresses acute cough due to common upper respiratory infections [2]. Several methods in the literature are describing the determination of PNX in dosage forms and biological fluid. These methods includes colorimetry [3], different sensors and electrodes based on ion-pair complexes [4,5], derivative spectrophotometry [6,7] and flow-injection [8]. Moreover, separation techniques such as capillary electrophoresis [9], HPLC [10,11] and LC–MS were used for the determination of PNX in human plasma [12,13]. Syrups containing PNX in combination with other drugs was analyzed using HPLC-DAD [14]. Furthermore, GC-MS was used for determination of PNX and its metabolites in urine [15]. Recently, during the development of this work, a HPLC-DAD method, was used for studying the stability of PNX. However, the published method [16] did not quantify the degradation products or identify them. Therefore, the advantage of our developed method over the published one is identifying and quantitation of the degradation products. On the other hand, the developed HPLC method used isocratic elution while the other method used gradient elution.
The International Conference on Harmonization (ICH) guideline entitled ‘stability testing of new drug substances and products’ requires that stress testing be carried out to elucidate the inherent stability characteristics of the active substance [17]. PNX is an ester drug type, which can be easily degraded. The aim of this work was to develop stability indicating method for determination of PNX and its degradant using LC method. Furthermore, the developed LC method was used to investigate the kinetics of the acidic and basic degradation processes, and to calculate the activation energy needed for PNX degradation. The pH-rate profile of degradation of PNX in Britton–Robinson buffer solutions within the pH range 2– 12 was studied.
MATERIALS AND METHODS
Instrumentation
The HPLC (Bischoff, Germany), instrument was equipped with a model series 2250 LC pump, Rheodyne 7125 injector with a 20 µl loop and a LC lambda 1010 variable wavelength spectrophotometric detector (Bischoff), Separation and quantitation were made on 150 x 4.6 mm (i. d.) (Luna, Phenomenex, Torrance, CA, USA) (5 µm particle size) reversed phase C18 column.
The sample was injected with 25 µl hamilton analytical syringe. Data acquisition were performed on model MCDACq data acquisition system (version 1.3x). The detector was set at λ 230 nm. A double-beam shimadzu (Japan) UV-Visible spectrophotometer, model UV-1601 PC connected to an IBM compatible computer.
The bundled software was UVPC personal spectroscopy software version 3.7 (Shimadzu). The spectral bandwidth was 2 nm and the wavelength scanning speed was 2800 nm min-1.
The IR spectrophotometer used was Shimadzu Spectrophotometer Model IR-408.
PMR spectra were recorded on avarian Gemini 200, 1H-NMR Spectrophotometer (200 mega hertz) USA.
Materials and reagents
Pharmaceutical grade of PNX (Borg Pharmaceutical industries Company, Alexandria, Egypt) was used and certified to contain 99.8%. Methanol used was HPLC grade (BDH, Poole, UK). Sodium hydroxide, phosphoric acid, hydrochloric acid and hydrogen peroxide were analytical grade.
Cabella® syrup (Batch No. 093657)used, was manufactured by Borg Pharmaceutical industries Company, Alexandria, Egypt, labeled to contain 21.3 mg/10 ml PNX.
HPLC conditions
The HPLC separation and quantitation were made on a 150 x 4.6 mm (i. d.) (Luna, Phenomenex, Torrance, CA, USA) (5 µm particle size) reversed phase C18 column.
The mobile phase was prepared by mixing methanol and 10 mM sodium dihydrogen phosphates, pH adjusted to 4 using sodium hydroxide, in the ratio of (60:40 v/v) and UV detection at 230 nm. The flow rate was 1 ml min-1. All determinations were performed at ambient temperature. The injection volume was 20 μl.
Preparation of the degradant
Preparation of the alkali-induced degradant
Three hundred mg of PNX was firstly dissolved in 50 ml methanol and refluxed with 50 ml 0.1M sodium hydroxide at 100 °C for 3 h. Subsequently the pH of the solution was adjusted to 4.5 using 1N hydrochloric acid to precipitate the degradation product. The precipitate was filtered and dried under vacuum. The residue was analyzed by IR and NMR and was found to be 1-phenylcyclopentanecarboxylic acid as a degradant (DG). The filtrate was washed 3 times, each with 10 ml chloroform. The washed aqueous extract was evaporated and dried under vacuum. The residue was analyzed by IR and NMR and found to be 2-(diethylamino) ethoxy)methanol.
Preparation of the acid-induced degradant
Three hundred mg of PNX was firstly dissolved in 50 ml methanol and refluxed with 50 ml 1M hydrochloric acid at 100 ºC for 12 h. Subsequently the solvent was evaporated. The same procedure, for separation of DG previously described under preparation of the alkali-induced degradant was followed. The dried precipitate was analyzed by IR and PMR and found to be 1-phenylcyclopentanecarboxylic acid as a degradant (DG) and 2-(diethylamino) ethoxy)methanol.
Standard solutions and calibration
Stock standard solutions were prepared by separately dissolving 25 mg of PNX and DG in 50 ml of methanol. Further dilutions with methanol were carried out to obtain concentration ranges of 10-40 µg ml-1and 10-40 µg ml-1 for PNX and DG respectively. These stock solutions were stored at 5°C.
Triplicate 20 µl injections were made for each concentration of PNX and DG and chromategraphed under the conditions described above. The peak area of each concentration was plotted against the corresponding concentration to obtain the calibration graph.
Sample preparation
A volume of the syrup equivalent to 25 mg PNX was diluted to 50 ml with methanol. Further dilutions were carried out with the mobile phase to reach the calibration range of PNX. The general procedures for HPLC method described under calibration were followed and the concentration of PNX was calculated.
Kinetic investigation of acidic and alkaline degradation
Accurately weighed 20 mg of PNX was dissolved in 100 ml methanol. Separate 2 ml aliquots of the above solution were transferred into separate stoppered conical flasks and mixed with 2 ml of 0.2M sodium hydroxide or 2M hydrochloric acid. The flasks were placed in a thermostatic oven at different temperatures (60,70,80,85,90°C)for acidic and alkaline degradation for different time intervals. At the specified time intervals, the contents of the flasks were neutralized to pH 7 using predetermined volumes of 0.2M sodium hydroxide and 2M hydrochloric acid solutions. The contents of the flasks were transferred into 10 ml volumetric flasks and diluted to the volume with mobile phase. Aliquots of 20 μl of each solution were chromatographed under the conditions described above and the concentrations of the remaining PNX were calculated at each temperature and time interval.
pH- rate profile
Accurately weighed 40 mg of PNX was transferred into 100 ml volumetric flask, dissolved and diluted to the volume with methanol. Separate 1 ml aliquot of PNX solution and 2 ml of the Britton-Robinson buffer solutions [18] were transferred into stoppered conical flasks. The pH values of the buffer solutions used for measurement of the pH-rate profile of the degradation of PNX were as follows: 2.1, 3, 4, 5, 5.7, 6.5, 7.7, 9.2, 10.7 and 12. The flasks were placed in a thermostatic oven at 70 °C for different time intervals. At the specified time intervals the contents of flasks were neutralized using 1M sodium hydroxide or 1M hydrochloric acid solutions. The contents of flasks were transferred into 10 ml volumetric flasks and diluted to volume with the mobile phase. Aliquot of 20 µl of each solution was chromategraphed under the conditions described above and the concentrations of the remaining PNX was calculated at each pH value and time interval.
RESULTS AND DISCUSSION
Identification of the degradant
When PNX was boiled with 0.1 M sodium hydroxide for 3 h or 1M hydrochloric acid for 12 h, 1-phenylcyclopentanecarboxylic acid (DG) and 2-(diethylamino) ethoxy) methanol could be isolated from the reaction mixture as degradants of PNX.
The suggested pathway for the degradation of PNX in 0.1M sodium hydroxide and 1M hydrochloric acid is presented in scheme 1.
The assignment of the degradant DG as 1-phenylcyclopentanecarboxylic acid was based on the comparison of the IR and PMR spectral data of the purified specimens, separated from the degradation reaction, with those of the intact PNX.
The IR spectrum (KBr) of PNX was characterized by the absorption frequency of C=O ester band at 1726.94 cm-1. On the other hand the IR spectrum (KBr) of DG revealed the OH Association and C=O stretching at 3416.28 and 1685.48 cm-1 respectively. Moreover, the spectrum of DG lacks the characteristic ester C=O. The IR spectrum of the alcoholic part isolated from PNX degradation characterized by OH Association at 3445.21 cm-1.
The PMR spectrum of PNX in dimethyl sulphoxide characterized by the appearance of the protons at: δ)ppm(= 1.02 (t,6H,(CH3)2),1.6-1.73(t,4H,(CH2(2cyclopentane), 1.9-2.06 (t, 4H, (CH2)2 cyclopentane), 2.5 (q, 4H, (CH2)2), 2.54 (t,2H,CH2-N),3.5 (t,2H,CH2-O), 3.6(t,2H,CH2-O), 4.1 (t, 2H, CH2-O)and 7.23-7.33(m,5H,Ar-H). While the PMR spectrum of DG in the same solvent characterized by the appearance of the protons at: δ)ppm(=1.6-1.73(t,4H,(CH2)2cyclopentane),1.9-2.06(t,4H,(CH2)2cyclopentane),7.23-7.33(m,5H,Ar-H) and 10.4 (s, 1H, COOH). It is obviously from this PMR that DG lacks the alcoholic part protons. Also, the PMR spectrum of alcoholic part shows the appearance of protons at: δ)ppm(= 1.02 (t, 6H, (CH3)2), 2.51 (q, 4H, (CH2)2), 2.54 (t, 2H, CH2-N), 3.5 (t, 2H, CH2-O), 3.53 (t, 2H, CH2-O), 3.7 (t, 2H, CH2-O) and 4.52 (s, 1H, OH).
Assay parameters
The UV absorption spectra of PNX and its degradant DG are overlapped (Fig.1). While the alcohol part is aliphatic and it has no UV absorption spectrum. The simultaneous determination of PNX and DG by conventional, derivative and derivative ratio spectrophotometry is hindered by strong spectral overlap throughout the wavelength range. The proposed HPLC method was used to resolve a complex mixture of such compounds.
The developed HPLC method was applied for the separation of PNX and DG. To optimize the LC assay parameters, the mobile phase composition was studied. A satisfactory separation was obtained by using a mobile phase consisting of methanol and 10 mM sodium dihydrogen phosphate pH 4, adjusted with sodium hydroxide in ratio of (60:40 v/v). It was found that, increasing methanol concentration to more than 80% caused inadequate separation of PNX and its degradant. While decreasing methanol concentration to less than 40% separation has occurred but with excessive tailing for PNX and DG. Variation of pH of the mobile phase did not have significant effect on chromatographic resolution of DG peak revealing the stability of DG peak to pH variation.

Fig. 1: UV absorption spectra of 20 μg ml-1 of PNX (––––) and 20 μg ml-1 of DG (------) in methanol.
Quantitation was achieved with UV detection at 230 nm based on peak area. The specificity of the LC method is illustrated in (Fig.2)
Where complete separation of PNX and its degradant was noticed. The average retention time ± S. D. for DG, PNX were found to be 3.9 ± 0.003 and 5.13 ± 0.004 min., respectively, for ten replicates.
The system suitability test results of the developed method are given in Table 1.

Fig. 2: A Typical HPLC chromatogram of 20µl injection of synthetic mixture of 25µg ml-1 of DG and 40 µg ml-1 of PNX.
Table 1: The system suitability test results of the developed method for determination of PNX and DG.
| Comp. | Retention time
(min.) |
Capacity factor
(K/) |
Selectivity
(α) |
Resolution
(Rs) |
Tailing factor | %RSD of retention time | Plate count |
| DG | 3.90 | 1.79 | 1.49 (a1) | 2.75 (b1) | 1.06 | 0.24 | 4970 |
| PNX | 5.13 | 2.66 | 1.09 | 0.25 | 7456 |
The retention time of un retained peak is 1.2 min, a1, b1: are α and Rs calculated for DG and PNX.
Kinetic investigation
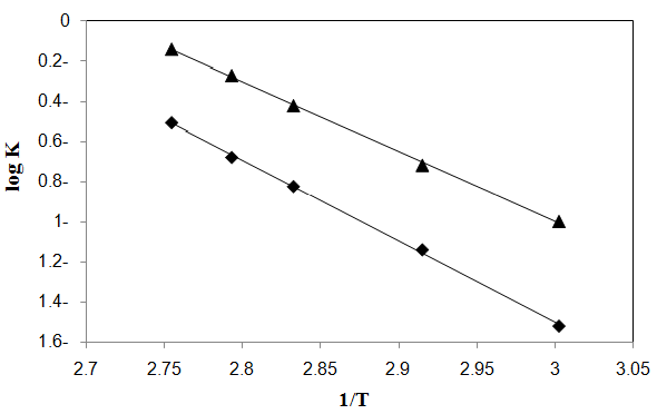
The kinetics of degradation of PNX were investigated in 0.1 M sodium hydroxide and 1M hydrochloric acid since the decomposition rate of PNX at lower strengths of hydrochloric acid was too slow to obtain reliable kinetic data. A regular decrease in the concentration of intact PNX with increasing time intervals was observed. At the selected temperatures, the acidic and alkaline degradation processes followed pseudo first order kinetics (Fig.3,4) respectively. From the slopes of the straight lines it was possible to calculate the apparent first order degradation rate constant and the half-life at each temperature for acidic and alkaline degradation processes of PNX (Table 2, 3) respectively. Plotting log Kobs values versus 1/T, the Arrhenius plots (Fig.5) were obtained and found to be linear in the temperature range 60– 90 °C for both the acidic and alkaline degradation. The activation energy was calculated for PNX and found to be 18.48 kcal mol-1 for acidic degradation process and 15.96 kcal mol-1 for alkaline degradation process.

Fig. 3: Pseudo first-order plots for the degradation of PNX in 1 M hydrochloric acid at various temperatures using HPLC method.
Key: 60 (■);70(•), 80(▲);85 (□); 90(Ο), Ct, concentration at time t, and C°, concentration at zero time.
![]() |
![]() |
| Fig. 4: Pseudo first-order plots for the degradation of PNX in 0.1 M sodium hydroxide at various temperatures using HPLC method.
Key: 60 (■);70(•), 80(▲);85 (□); 90(Ο), Ct, concentration at time t, and C°, concentration at zero time. |
Fig. 5: Arrhenius plots for the degradation of PNX in 1M hydrochloric acid (■) and in 0.1M sodium hydroxide (▲) using the proposed HPLC method. |
Table 2: Degradation rate constant (Kobs) and half-life (t1/2) for PNX in 1M hydrochloric acid determined by the proposed HPLC.
| Temperature (°C) | Kobs(h-1) | t1/2(h) |
| 60 | 0.030 | 23.10 |
| 70 | 0.072 | 9.63 |
| 80 | 0.150 | 4.62 |
| 85 | 0.210 | 3.30 |
| 90 | 0.310 | 2.24 |
Table 3: Degradation rate constant (Kobs) and half-life (t1/2) for PNX in 0.1 M sodium hydroxide determined by the proposed HPLC.
| Temperature (°C) | Kobs(h-1) | t1/2(h) |
| 60 | 0.100 | 6.93 |
| 70 | 0.191 | 3.63 |
| 80 | 0.380 | 1.82 |
| 85 | 0.537 | 1.29 |
| 90 | 0.720 | 0.96 |

Fig. 6: pH-Rate profile for the decomposition of PNXin britton-Robinson buffer at 70°C.
Table 4: Degradation rate constant (kobs) and half-life (t1/2) for PNX in Britton-Robinson buffer at different pH values and 70 °C.
| pH | kobs (h-1) | t1/2(h) |
| 2.1 | 0.825 | 0.840 |
| 3 | 0.341 | 2.035 |
| 4 | 0.238 | 2.913 |
| 5 | 0.192 | 3.612 |
| 5.7 | 0.149 | 4.658 |
| 6.5 | 0.375 | 1.848 |
| 7.7 | 0.449 | 1.543 |
| 9.2 | 0.518 | 1.339 |
| 10.7 | 0.700 | 0.990 |
| 12 | 1.107 | 0.626 |
The pH-rate profiles of the degradation of PNX in Britton-Robinson buffer solutions were studied at 70°C (Fig.6). Britton-Robinson buffer solutions were used throughout the entire pH range in order to avoid possible effects of different buffer species. The apparent first order degradation rate constant and the half-life were calculated for each pH value (Table 4). PNX was found to be most stable at a pH of 5.7.
Validation of the method
Linearity
The linearity of the LC detector response for determination of PNX and DG was evaluated by analyzing a series of different concentrations of each compound. Seven concentrations were chosen, ranging between 10-40µg ml-1and 10-40 µg ml-1for PNX and DG respectively. Each concentration was repeated three times; this approach provided information on the variation in peak area between samples of the same concentration. The linearity of the calibration graphs was validated by the high value of the correlation coefficient and the intercept value, which was not statistically (*p<0.05) different from zero. Characteristic parameters for regression equations obtained by least squares treatment of the results are given in Table 5.
Table 5: Characteristic parameters for the regression equations of the proposed HPLC for determination of PNX and DG
| Parameters | PNX | DG |
| Linearity (μg ml-1) | 10-4 0 | 10-4 0 |
| Detection limit (μg ml-1) | 3.79 x10-2 | 4.24 x10-2 |
| Quantitationlimit (μg ml-1) | 12.62 x10-2 | 14.12 x10-2 |
| Regression equation(Y)a:
Slope (b) |
3.73 | 4.28 |
| Standard deviation of the slope (Sb) | 6.22 x10-2 | 7.99 x 10-2 |
| Relative standard deviation of the slope (%) | 1.67 | 1.87 |
| Confidence limit of the slope b | 3.65 – 3.84 | 4.18-4.38 |
| Intercept (a) | -1.07 | -0.25 |
| Standard deviation of the intercept (Sa) | 2.33 | 2.91 |
| Confidence limit of the intercept b | -3.19 –3.65 | -2.89-2.39 |
| Correlation coefficient (r) | 0.9998 | 0.9998 |
| Standard error of estimation | 0.81 | 1.01 |
aY = a+bC,where C is the concentration of PNX and DG in μg ml-1and Y is the peak area in the HPLC method.
b 95% confidence limit.
Precision
For evaluation of the precision estimates, repeatability and intermediate precision were performed at three concentration levels for each compound. The data for each concentration level were evaluated by one-way ANOVA. An 8 days x 2 replicates design was performed (Table 6). Statistical comparison of the results was performed using the P-value of the F-test. Three univariate analyses of variance for each concentration level were made. Since the P-value of the F-test is always greater than 0.05, there is no statistically significant difference between the mean results obtained from one level of day to another at the 95 % confidence level.
Table 6: Analysis of variance for repeatability and intermediate precision for PNX and DG by the proposed HPLC method
| Compound | Conc. Level | Sources of variance | Sum of squares | DF | MS | F-ratio | P-value |
| PNX | 10μg ml-1 | Between | 9.65 | 7 | 1.37 | 1.28 | 0.59 |
| Within | 14.11 | 8 | 1.76 | ||||
| Total | 23.76 | 15 | |||||
| PNX | 25 μg ml-1 | Between | 4.22 | 7 | 0.60 | 1.97 | 0.82 |
| Within | 9.45 | 8 | 1.18 | ||||
| Total | 13.67 | 15 | |||||
| PNX | 40μg ml-1 | Between | 8.66 | 7 | 1.23 | 1.52 | 0.45 |
| Within | 6.45 | 8 | 0.81 | ||||
| Total | 15.11 | 15 | |||||
| DG | 10μg ml-1 | Between | 8.01 | 7.00 | 1.14 | 1.23 | 0.70 |
| Within | 11.20 | 8.00 | 1.40 | ||||
| Total | 19.21 | 15.00 | |||||
| DG | 25 μg ml-1 | Between | 6.13 | 7.00 | 0.88 | 1.58 | 0.77 |
| Within | 11.12 | 8.00 | 1.39 | ||||
| Total | 17.33 | 15.00 | |||||
| DG | 40 μg ml-1 | Between | 3.95 | 7.00 | 0.56 | 2.32 | 0.91 |
| Within | 10.40 | 8.00 | 1.30 | ||||
| Total | 14.35 | 15.00 |
Where, DF is the degree of freedom and MS is the mean square.
The critical value of F-ratio is 3.5 and P-value is 0.05.
Range
The calibration range was established through consideration of the practical range necessary, according to each compound concentration present in pharmaceutical product, to give accurate, precise and linear results. The calibration range of each compound is given in Table 5.
Detection and quantitative limits
According to ICH recommendations [19], the approach based on the S.D. of the response and the slope was used for determining the detection and quantitative limits. The theoretical values were assessed practically and are given in Table 5.
Selectivity
Method selectivity was achieved by preparing different mixtures of PNX and DG within the linearity range concentration. The laboratory prepared mixtures were analyzed according to the previous procedure described under the proposed HPLC method. Satisfactory results were obtained (Table 7), indicating the high selectivity of the proposed method for determination of PNX and DG.
Table 7: Determination of PNX and DG in laboratory prepared mixtures using the proposed HPLC method.
| Exp. No | Conc. of (PNX) (μgml-1) |
Conc. of (DG) (μgml-1) | % Recovery | |
| PNX | DG | |||
| 1 | 25 | 40 | 101.1 | 100.8 |
| 2 | 10 | 35 | 101.2 | 100.5 |
| 3 | 15 | 30 | 99.2 | 98.7 |
| 4 | 20 | 25 | 100.4 | 99.5 |
| 5 | 35 | 20 | 100.1 | 100.9 |
| 6 | 30 | 15 | 99.6 | 100.1 |
| 7 | 40 | 10 | 100.5 | 99.7 |
| Mean | 100.30 | 100.03 | ||
| S. D | 0.68 | 0.73 | ||
Table 8: Application of the standard addition technique on Cabella® syrup to the analysis of PNX and DG by the proposed HPLC method
| Exp. No | Conc. of (PNX) | Conc. of added (DG) (μgml-1) | % Recovery | ||
| Claimed (μgml-1) | Added (μgml-1) | PNX | DG | ||
| 1 | 10 | 20 | 10 | 99.6 | 100.1 |
| 2 | 20 | 10 | 15 | 100.6 | 100.9 |
| 3 | 25 | 10 | 20 | 99.2 | 99.8 |
| 4 | 15 | 10 | 25 | 99.75 | 101.1 |
| 5 | 10 | 10 | 30 | 101.3 | 99.6 |
| 6 | 20 | 20 | 40 | 101.1 | 98.9 |
| Mean | 100.23 | 100.07 | |||
| S. D | 0.79 | 0.75 | |||
Accuracy
This study was performed by addition of known amounts of PNX and DG to a known concentration of the commercial syrup (standard addition method). The resulting mixtures were assayed and results obtained for PNX and DG were compared with expected results.
Excellent recoveries of standard addition method (Table 8) suggest that good accuracy of the HPLC proposed method.
Robustness
To determine the robustness of the developed method, experimental conditions were purposely altered and the resolution between PNX and DG was evaluated. The flow rate of the mobile phase was 1 ml min-1. To study the effect of flow rate on the resolution, it was changed by 0.2 units from 0.8 to 1.2 ml min-1, while the mobile phase components were held constant. The effect of percent of organic strength on resolution was studied by varying methanol from 57 to 63%. Also pH of the 10 mM potassium dihydrogen phosphate was varied by ±0.2 units. In all the deliberate varied chromatographic conditions (flow rate, percentage organic strength and pH), the resolution between PNX and its degradant (DG) was not altered, illustrating robustness of the method.
Stability
The stability of PNX and DG standard solutions in the mobile phase was evaluated by leaving the standard solutions in tightly capped volumetric flasks, protected from light, on a laboratory bench and in the refrigerator. The studied compound solutions in mobile phase exhibited no chromatographic changes for 24 hours when kept at room temperature and for 7 days when stored refrigerated at 5°C.
Analysis of Pharmaceutical product
The proposed HPLC method was applied to determination of PNX in freshly prepared commercial syrup (Table 9).
Also, expired commercial syrup was analyzed by the proposed method and the mean percentage of PNX ± S. D. (n=7) was found to be 87.0 ± 1.04. The HPLC chromatogram of expired commercial syrup showes the peak of the degradation product of PNX (Fig.7).

Fig. 7: Chromatogram of expired PNX syrup solution containing PNX and its degradant DG.
Table 9: Determination of PNX in Cabella® syrup using proposed HPLC method
| Sample No | Concentration (μg ml-1) | % Recovery a |
| 1 | 10 | 98.8 |
| 2 | 15 | 100.8 |
| 3 | 20 | 99.4 |
| 4 | 25 | 101.2 |
| 5 | 25 | 99.0 |
| 6 | 30 | 99.1 |
| 7 | 35 | 98.1 |
| Mean | 99.49 | |
| S. D | 1.03 | |
| R. S. D | 1.04 |
aMean and S. D. for seven determinations; percentage recovery from the label claim amount.
The results of determination of PNX in syrup obtained from the proposed HPLC method were compared with those of a published HPLC method [14] which uses 5 µm particle size, C18-bonded silica column and mixture (60:40,v/v) of acetonitrile and water as the mobile phase and UV detection. Statistical comparison of the results was performed with regards to accuracy and precision using Student’s t-test and the F-ratio test at 95% confidence level (Table 10). It is clear from this table that there is no significant difference between the proposed HPLC method and the published method with regard to accuracy and precision.
Table 10: Statistical comparison between the proposed HPLC method and the published HPLC method for the determination of PNX in Cabella® syrup [14]
| Mean found ±SDa | ||
| HPLC method | Published HPLC [15] | |
| Cabella® syrup Pentoxyverine | 99.49 ± 1.03 | 100.74 ± 1.45 |
| t | 1.86 | (2.18)b |
| F | 1.89 | (4.28)b |
aMean and S. D. for seven determinations; percentage recovery from the label claim amount.
bTheoretical values for t and F at *P <0.05 level.
CONCLUSION
The proposed HPLC method provides simple, accurate and reproducible quantitative analysis for the determination of PNX in pharmaceutical syrup, without any interference from the excipients, and in the presence of its acidic and alkaline degradation products. It was found that PNX is rapidly degraded in alkaline medium, while it is more stable in an acid medium. The most stability of PNX was found to be at pH 5.7.
CONFLICT OF INTERESTS
Declared None
REFERENCES