
Department of Pharmaceutical Chemistry, PDEA’s Seth Govind Raghunath Sable College of Pharmacy, Saswad, Pune 412301, India
Email: sjpawar4477@gmail.com
Received: 13 Jul 2018 Revised and Accepted: 01 Sep 2018
ABSTRACT
Objective: A new series 2-phenyl-3-(substituted benzo[d] thiazol-2-ylamino)-quinazoline-4(3H)-one was prepared by the fusion method by reacting 2-phenyl benzoxazine with 2-hydrazino benzothiazole and it was evaluated for their antimicrobial activity against gram positive, gram negative bacteria and fungi.
Methods: Titled compounds were synthesized by fusion reactions. These compounds were evaluated by in vitro antibacterial and antifungal activity using the minimum inhibitory concentration and zone of inhibition methods. The synthesized compounds were characterized with the help of infrared, NMR and mass spectral studies. The benzothiazole moiety and the quinazoline ring have previously shown DNA gyrase inhibition and target related antibacterial activity. Thus, molecular docking studies of synthesized compounds were carried out (PDB: 3G75) to study the possible interaction of compounds with the target. The batch grid docking was performed to determine the probable.
Results: These compounds showed significant activity against gram positive and gram negative bacteria as well against the fungi. The compound A5 was found to be active against B. subtilis, P aeruginosa and C. albican at 12.5 µg/ml MIC. The compound A3 was found to be active against all microbial strains selected at 25 and 12.5 µg/ml MIC.
Conclusion: Though the relationship between the activities shown by these compounds in, the antimicrobial study is still to be established, the docking studies conducted found to be consistent with antimicrobial results. Thus the results indicate that the designed structure can be a potential lead as an antimicrobial agent.
Keywords: Benzothiazole, Benzoxazine, Quinazoline, Antimicrobials
© 2018 The Authors.Published by Innovare Academic Sciences Pvt Ltd. This is an open access article under the CC BY license (http://creativecommons.org/licenses/by/4.0/)
DOI: http://dx.doi.org/10.22159/ijpps.2018v10i10.28480
There has been a continual encounter between human and the multitude of microorganism that cause infection and disease. Recently it has been evidenced that there is an insistent increase in antibiotic resistance to many common bacterial pathogens such as Staphylococcus aureus. The number of cases of multidrug-resistant bacterial infections is increasing day by day. This situation requires the design of novel antimicrobial agents acting on novel targets.
Benzothiazole derivatives show numerous biological activities such as antimicrobial [1], anticancer [2], antileishmanial [3], anti-diabetic and antifungal [4] activities. In recent years’ heterocyclic compounds and derivatives have attracted strong interest due to their biological and pharmacological properties. Substituted quinazoline-4-one have been shown to possess antibacterial, antifungal and antimicrobial activity [5-7]. Thus, it is revealed from the literature that benzothiazole, as well as quinazolin-4-one derivatives, hold diverse pharmacological activity.
DNA gyrase is a bacterial enzyme that catalyzes the introduction of negative supercoils in a closed-circular DNA using the energy of the ATP hydrolysis. Since it was found only in prokaryotes and is vital for their survival; it has become an attractive target for antibacterial agents [8]. Benzothiazole and quinazoline derivatives were known to possess DNA gyrase inhibitory activity [9]. Thus, we thought to incorporate both leads together with the hope to have better antimicrobial potential.
Thus, this paper reports the synthesis and antimicrobial activity of 2-phenyl-3-(substituted benzo [d] thiazol-2-ylamino)-2-phenyl-quinazolin-4(3H)-one. The molecular docking studies were also carried out to check the possible interactions of compounds with DNA gyrase active pocket.
All the reagents and chemicals used were of analytical grade. The progress of the reaction and purity of all the synthesized compounds was monitored by TLC. IR spectra were recorded on Shimadzu FTIR 8400S by using KBr, and the NMR spectra were recorded in NMR Varian-Mercury 300 MHz spectrometer in CDCl3 and values are expressed in ppm.
Antimicrobial activity
Zone of inhibition
The compounds were evaluated for the antibacterial activity by the cup, plate method against gram-positive bacteria S. aureus (ATCC 9144) B. subtilis (ATCC 6633) and gram-negative bacteria E. coli (ATCC 25922), P. aeruginosa (ATCC 9027) and A. Niger (ATCC 16404) and C. albicans (ATCC 10231), at the concentration: 50 μg/ml, 100 μg/ml, 150 μg/ml. The bacterial strains were obtained from NCL, and fungal strains were obtained from the microbiology department of Waghire College, Saswad. The ciprofloxacin 150 μg/ml and 150 μg/ml of fluconazole were used as reference drugs for antibacterial and antifungal study respectively. The bacteria were sub-cultured in the nutrient agar medium containing peptone (1%), beef extract (0.5%), sodium chloride (0.8%) and agar (2.5%), in distilled water. The solution was sterilized for 20 min at 15 psi pressure in an autoclave at 120 °C. The basal medium 15-20 ml was poured into the sterile Petri dishes. After the solidification of the medium, the suspension of the organism was spread by the spreader and holes of 6 mm diameter were bored to form cups with the help of a sterile cork borer. In this cup 20 μl of 50 μg/ml, 100 μg/ml, 150 μg/ml (solvent DMSO) of the test compounds were added by the micropipette. The zone of inhibition was measured in mm after incubation at 37 °C for 48 h.
Minimum inhibitory concentration
The microdilution susceptibility test was used for the determination of antibacterial and antifungal activity. The nutrient broth was prepared and added in microiter plates except first well in which inoculum was not added and considered as negative control. A stock solution of test compounds was prepared in DMSO (200 μg/ml) followed by twofold dilution at concentrations of (100, 50, 25….3.125 μg/ml). The 75 µl inoculums were added to the other all wells containing test compounds ranging from 100, 50, 25….3.125 μg/ml. The microtitre plates were then incubated at 37 °C for 48 h, and minimal inhibitory concentration was measured in the growth in the form of turbidity. The ciprofloxacin was used as reference drugs for the antibacterial study while fluconazole was used for antifungal study [10].
Docking studies
The docking process was carried out to analyze the possible interactions between newly synthesized compounds and the selected cavity of the DNA gyrase enzyme. The high-resolution (2.30 A °) X-ray structure of DNA gyrase complexed with pyrazolthiazole (PDB code 3G75) was imported into Vlife 3.5 MDS, and the ligand was extracted to leave a cavity. The protein was a dimer which was converted into monomer by deleting one-chain. Water molecules were removed from the monomer. The hydrogens were added in the protein molecule, and energy was minimized using Merck Molecular Force Field (MMFF). The structure of pyrazolthiazole extracted from the 3G75 protein was energy minimized using MMFF. The conformers of pyrazolthiazole, were generated and docked back into the corresponding binding pocket to determine the ability of the Biopredicta tool to reproduce the orientation and position of the inhibitor observed in the crystal structure. The docked conformations were further scored using dock score. Conformers of individual 3D optimized synthesized compounds A1 to A6 were generated using ‘systematic conformational search method’. In a systematic conformational search, a set of rotatable bonds is identified by the user and for each of these bonds; all possible conformers are examined as a function of each other. For each conformer generated by this set of rotations, all internal atomic distances were computed. A confirmation for which any distance less than the sum of the van der Waals radii of the interacting species was not considered. All the generated conformers with minimum and maximum torsion values were selected in the range of-180.00 to 180.00, and MMFF force field was selected for optimization of generated conformers. The optimized conformers were docked using the grid batch docking method. The interaction between synthesized compounds and DNA gyrase pocket was recorded.
General procedure of synthesis
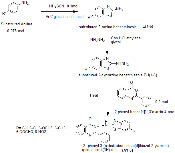
Synthesis of 6-substituted-2-aminobenzothiazoles (B 1-6)
To substituted aniline (0.078 mol) taken in a 250 ml round bottom flask, ammonium thiocyanate (0.156 mol) and 100 ml acetic acid was added. Bromine solution (0.02 mol) in acetic acid was added to the reaction mixture till an orange-yellow color appeared. The slurry was kept overnight (20 h), the precipitate was dissolved in water (200 ml), filtered to remove any undissolved matter and was basified with concentrated ammonia solution. The precipitate obtained was filtered, washed with water, dried and recrystallized using ethanol: water (80:20) mixture [11].
Synthesis of 6-substituted-2-hydrazino benzothiazole (BH 1-6)
Concentrated hydrochloric acid (1 ml) was added dropwise with stirring to hydrazine hydrate (0.12 mol) at 5-6 °C followed by ethylene glycol (30 ml). Thereafter 2-amino substituted benzothiazole (20 mmol) was added in portions, and the resultant mixture was irradiated in microwave at power level 7 for 1 h. The reaction progress was monitored by TLC using toluene: ethyl acetate (75:25) as mobile phase. The reaction mixture was cooled at room temperature and was washed with cold water to obtain the product. The resulting crude was recrystallized from ethanol to obtain the crystalline product [12].
Synthesis of 2-phenyl-4H-benzo[d] [1,3]-oxazin-4-one
Anthranilic acid (0.01 mol) was dissolved in pyridine. Benzoyl Chloride (0.01 mol) was added to it and cooled. The reaction mixture was stirred at room temperature. A little quantity of the sample was taken and dissolved in water to check the formation of benzoxazine. As an anthranilic acid, benzoyl chloride and pyridine are water soluble, they get dissolved in water, but benzoxazine being insoluble, it forms a precipitate. When benzoxazine was formed, the entire reaction mixture was poured into a beaker containing 250 ml of water containing 10 % sodium bicarbonate. The benzoxazine so formed was filtered, dried and recrystallized from ethanol. A pale brown colored crystalline compound was obtained. Melting points were checked. The purity of the compounds was checked by TLC using benzene and petroleum ether solvent system in 7:3 ratio [13]
General Procedure for Synthesis of 2-phenyl-3-(substituted benzo[d]thiazol-2-ylamino)-quinazolin-4(3H)-one (A1-6)
0.1 mol of Substituted 2-hydrazino benzothiazole (BH1-6) was heated with 0.2 mol of substituted benzoxazin-4-one in a 50 ml beaker on a sand bath. The mixture was heated (controlled heating) with constant stirring until the product formed. Then the mixture was allowed to cool, and the product was suspended in water. The product obtained was recrystallized with ethanol. (80:20)

Fig. 1: Scheme of synthesis
Table 1: Data for 2-phenyl-3-(substituted benzo[d]thiazol-2-ylamino)-2-phenylquinazolin-4(3H)-one (A1-6)
| Compound | R | IR | NMR (ppm) | % yield |
| A1 | H | 3124 (N-H), 3063 (Ar-CH)1619(C=N); 1712(C=O), 1265 (C-N), 702(C-S) | 7.09-8.98 (m,13H, Ar-H); 11(s, 1H,-NH) | 78 |
| A2 | OCH3 | 3163 (N-H), 3047 (Ar-CH), 2985(CH),1604 (C=N) 1681(C=O), 1261 (C-N), 1137(C-O-C), 812(C-S) | 7.1-8.9 (m, 12H, Ar-H), 12 (s, 1H, NH), 3.24(s, 3H,-OCH3) | 70 |
| A3 | Cl | 3135 (N-H), 3070 (Ar-CH); 1681(C=N); 1766(C=O), 1257 (C-N), 768(C-S) | 6.9-8.7(m, 12H, Ar-H), 11.3(s, 1H, NH) | 60 |
| A4 | CH3 | 3132 (N-H), 3089 (Ar-CH); 2924(CH) 1651(C=N) 1731(C=O), 1150 (C-N), 783(C-S) | 2.39(s, 3H, CH3), 11.4 (s, 1H, NH), 7.29-8.11(m, 12H) | 65 |
| A5 | NO2 | 3194 (N-H), 3081 (Ar-CH); 1519(C=N); 1681(C=O), 1334 (C-N), | 7.31-9.01(m, 12H), 11.9 (s, 1H, NH), | 60 |
| A6 | COCH3 | 3383 (N-H), 3063 (Ar--CH); 1689(C=N); 1712(C=O), 1265 (C-N) | 7.38-8.52 (m, 12H), 11.9 (s, 1H, NH) 2.59(s,3H, CH3), | 65 |
The compounds B (1-6) were prepared as per reported method from para-substituted anilines by stirring with ammonium thiocyanate and bromine in acetic acid. The reaction mainly involves formation of intermediate phenylthiourea and cyclisation of which affords 6-substituted 2-amino benzothiazole. The target compounds A(1-6) were synthesized by the route indicated in fig. 1. The compounds were prepared by heating substituted 2-hydrazino benzothiazoles (BH1-6) with 2 phenyl-benzo[d] [1,3] oxazin-4-one. The synthesized structures were confirmed by spectral analysis by 1H NMR, IR and were found consistent with the spectral data. IR spectra of A(1-6) revealed characteristic aromatic CH stretch between 3047-3120 cm-1. The C=N in benzothiazole is seen at 1519-1600 cm-1. The carbonyl (C=O) peak of quinazolinone is seen at 1731-1681 cm-1. The absence of NH-NH2 stretch at 3243-3317 cm-1 in the IR spectrum also confirms the formation of 2-phenyl-3-(substituted benzo[d]thiazol-2-ylamino)-2-phenylquinazolin-4(3H)-ones.
In the 1H NMR spectrum, a broad singlet at 9-12 ppm is seen for hydrazine protons. The aromatic protons were seen as multiplet signals at 6.89-9.05 ppm. The methoxy protons were seen downfield due to the presence of oxygen and seen as a singlet at 3.24 ppm and methyl protons as a singlet at 2.39 ppm.
Antimicrobial activity
The minimum inhibitory concentration of A (1-6) compounds was determined using a double dilution method. A zone of inhibition was determined using the cup plate method using ciprofloxacin and fluconazole as standard drugs for antibacterial and antifungal activity.
Table 2: Minimum inhibitory concentration (MIC) of 2-phenyl-3-(substituted benzo[d]thiazol-2-ylamino)-2-phenylquinazolin-4(3H)-one (A1-6)
| Compound | S. aureus | B. subtilis | E. coli | P. aeruginosa | A. niger | C. albicans |
| A1 | 50 | 25 | 25 | 25 | 25 | 25 |
| A 2 | 50 | 25 | 50 | 25 | 25 | 25 |
| A 3 | 25 | 2525 | 251220 | 2512 | 25 | 25 |
| A 4 | 50 | 25 | 50 | 50 | 50 | 50 |
| A 5 | 50 | 12.512 | 251220 | 12.512 | 25 | 12.5 |
| A 6 | 50 | 50 | 50 | 50 | 50 | 50 |
MIC given in µg/ml
The compound A-5 with nitro substitution at the 6th position of benzothiazole was found to hold potential antibacterial and antifungal activity against B. subtilis, P. aeruginosa and C. albicans. (table 2) The compound A5 was found to be active against B. subtilis, P aeruginosa and C. albican at 12.5 µg/ml MIC.
The compound A3 was found active against all microbes at 25 µg/ml MIC. It was evident from the results of the zone of inhibition that compound A-5 and compound A-3 holds potential antibacterial activity.
The zone of inhibition was determined using the cup plate method. Effect of standard drug, ciprofloxacin and synthesized compounds A1 to A-6 revealed that the synthesized compounds A1 to A6 are showed statistically significant antibacterial activity than standard ciprofloxacin, suggesting the compounds have similar antibacterial action but lesser than ciprofloxacin.
Effect of standard drug, fluconazole and synthesized compounds A1 to A-6 revealed that the synthesized compounds A1 to A6 are showed statistically significant antifungal activity than standard fluconazole, suggesting the compounds have similar antifungal action but lesser than fluconazole. From the results it can be said that the compound with nitro group substitution holds antibacterial and antifungal potential comparable to standard drugs.
Docking
To predict the probable interactions of newly synthesized compounds with the active site of DNA gyrase enzyme, docking studies were carried out using MDS V-life 3.5 software. The dock score, hydrophobic interactions, Van der Waal interactions and hydrogen bonds formed with surrounding amino acids were used to predict the binding modes, binding affinities and orientation of docked compounds in the active sites of DNA gyrase enzyme.
The active site (cavity no 1) was defined to include residues within 10.0 A ° radius of any of the interaction. The docking procedure was validated by docking the pyrazolthiazole extracted from PDB active pocket. The molecular docking results revealed a docking score of-4.8kcal/mol for pyrazolthiazole, and it forms a single hydrogen bond with Ser-55. The compound A-3 and A-5 which are the most active compound as antibacterial possess dock score of-5.13,-5.27 kcal/mol respectively.

Fig. 2: Data expressed as mean±SEM. Data analyzed by two-way ANOVA followed by Dunnet test. All test groups are compared with the control group, Ciprofloxacin ***p<0.001

Fig. 3: Data expressed as mean±SEM. Data analyzed by two-way ANOVA followed by Dunnet test. All test groups are compared with the control group, fluconazole ***p<0.001
Table 3: Dock score and binding interactions of newly synthesized compounds A (1-6)
| Compound | Dock score (kcal/mol) |
| A1 | -5.3 |
| A2 | -5.11 |
| A3 | -5.13 |
| A4 | -5.25 |
| A5 | -5.27 |
| A6 | -5.00 |
| Reference | -4.8 |
The number of substituted benzothiazoles fused with quinazoline moieties was synthesized and screened for antibacterial and antifungal activity. The antimicrobial activities for the synthesized compounds (A1-6) have been shown in table 2, fig. 2 and fig. 3 Ciprofloxacin was used as a standard for antibacterial activity. Similarly, fluconazole was used for antifungal activity as standard. All the newly synthesized compounds showed moderate to good potency against different bacterial strains. Out of which compound A5 and A3 showed prominent antibacterial and antifungal activity. As some synthesized compounds show good activity which develops a productive environment for the development of a new class of antimicrobial agents.
The authors wish to thank Principal, S. G. R. S College of Pharmacy, Saswad Pune for providing required facilities to carry out this research work.
All the authors have contributed equally
Declared none
Oren I, Yalcin I, Senar E¸ Ucarturk N. Synthesis and structure-activity relationships of new antimicrobial active multisubstituted benzoxazole derivatives. Eur J Med Chem 2004;34:291–8.
Geofrey W, Bradshaw TD, Patrizia Diana, Angela S, Dong Fang Shi, Andrew D, et al. Antitumour benzothiazoles. Part10: the synthesis and antitumor activity of benzothiazole substituted quinol derivatives. Bioorg Med Chem Lett 2000;1:513-5.
Delmas F, Avellaneda A, Giorgio C, Robin M, Clercq E, David P, et al. Synthesis and antileishmanial activity of (1,3-benzothiazol-2-yl) amino-9-(10H)-acridinone derivatives. Eur J Med Chem 2004;1:685-90.
Bujdakovi H, Mfikovfi M. Antifungal activity of a new benzothiazole derivative against Candida in vitro and in vivo. Inter J Antimicrobial Agents 1994;4:303-8.
Raghvendra N, Niranjan M, Venkatesh P, Prashantha B, Sripathi M. Synthesis and biological activity of some substituted 2-phenyl-quinazolin-4ones. Asian J Res Chem 2005;17:57-65.
Kohli D, Riazh, Sharma M, Kumar A. Synthesis and antibacterial activity of quinazolinone derivatives. Int J Pharm Pharm Sci 2009;1:163-9.
Mohsen M, Yahia A, Khairy A, Wahid M, Samir Y. Synthesis of some 4-(3H)-quinazolinone-2-carboxaldehyde thiosemi-carbazones and their metal complexes and study on their anticonvulsant, analgesic, cytotoxic and antimicrobial activities. Eur J Med Chem 2010;45:3365-73.
Oblak, Simona M, Roman GG, Filipic J, Tomaz SO. In silico fragment-based discovery of indolin-2-one analogues as potent DNA gyrase inhibitors. Bioorg Med Chem Lett 2005;15:5207.
Shireesha B, Umasankar K, Srinivas S, Malla RV. Synthesis, antimicrobial evaluation, and docking studies of novel 4-substituted quinazoline derivatives as DNA-gyrase inhibitors. Arch Pharm Chem Life Sci 2010;10:570–6.
Busari K, Amnerkar N, Khedekar P, Kale M, Bhole R. Synthesis of in vitro antimicrobial activity of some 4-amino-N-(1,3-benzothiazol-2-yl) benzenesulfonamide derivatives. Asian J Res Chem 2008;2:53-7.
Rana A, Siddiqui N, Khan A, Haque S, Bhat M. N-{[(6-Substituted-1,3-benzothiazole-2-yl) amino]carbonothioyl}-2/4-substituted benzamides: Synthesis and pharmacological evaluation. Eur J Med Chem 2008;1:1114-22.
Basavaraja K, Somasekhar B, Shivakumar B. Synthesis of 2-[(1-phenyl) (aryl) azo] methyleneimino-6-chloro/fluoro-benzothiazoles and their antibacterial activity. Inter J Pharm Tech Res 2010;2:1139-43.
Alagarsamy V, Rajasolomon V, Vanikavitha G, Paluchamy V, Ravichandran M, Arnoldsujin A, et al. Synthesis, analgesic, antiinflammatory and antibacterial activities of some novel 2-phenyl-3-substituted quinazolin-4(3H)-ones. Biol Pharm Bull 2002;25:1432–5.
Ganguli S, Panigrahi M, Singh P, Shukla P. One-pot synthesis of novel quinazoline derivatives and their antimicrobial activity. Int J Pharm Pharm Sci 2012;4:434-40.